鼓励奇迹材料石墨烯“谈话”的开创性新技术可能会彻底改变全球音频和电信行业。
埃克塞特大学的研究人员设计了一种开创性的方法来使用石墨烯生产复杂可控的声音信号。实质上,它将扬声器,放大器和图形均衡器组合成尺寸为拇指指甲的芯片。如下图所示:

传统扬声器通过机械振动产生声音,运动的线圈或膜片来回驱动空气。这是一个庞大的技术,在一个多世纪以来几乎没有改变。而我们这种创新技术不涉及移动部件。原子厚度的石墨烯材料层被交流电流快速加热和冷却,并且将这种热变化传递到空气使其膨胀和收缩,从而产生声波。 尽管将热量转化为声音并不新鲜,但埃克塞特小组首先表明,这种简单的过程可以让声音频率混合在一起,放大和平衡——全部在同一毫米尺寸的设备中。石墨烯几乎完全透明,无需身体运动就能产生复杂的声音,可以打开新一代视听技术,包括传输图像和声音的手机屏幕。

Fig.1 热声发电。(a)由两个不同频率和幅度的电流源(左)产生的声谱(右)。(b)背栅式石墨烯场效应晶体管中的AC偏置电压V(黑色)的声响(蓝色)。(c)施加在一起的两个频率源不仅产生二次谐波响应,而且还产生fA+B = 19kHz的和外差频率。

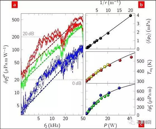
Fig.2 二次谐波产生。(a)来自一系列设备的声压谱(在r = 50mm测量)。底部蓝色组是来自背栅式场效应管的光谱。顶部红色组是在电解质沉积之前的四个顶栅设备的光谱。中间绿色组是两个FET电解质沉积后的光谱。(b)源功率为3.4W的背栅FET声压作为逆装置麦克风分离的函数。(c)(顶部)两个背栅FET(由颜色区分)中测量的设备温度和理论计算(线)的设备温度作为源动力的函数。(底)f2 = 40 kHz时的声压(以r = 50mm)。实线是方程(1)的预期结果。
总而言之,我们已经展示了从声音到超声波频率的高度通用热声发声器。该工作最重要的结果显示石墨烯中的焦耳加热机制可控地将电流源的频率分量混合在一起。这不仅具有声学应用,而且在信号处理中也可以用于创建声耦合线性电子混频器。进一步显示了这种混合在外差,均匀,扩增和均衡中的简单性。除了使用晶体管栅极实现调制之外,这提供了对声音输出的完全控制。这种发生器具有广泛的潜在应用,从电信多路通信到用于计量和感测的校准声源。最有趣的结果之一是,这一代可以用于定量测量石墨烯的导电性能。传导中的非线性对于这种材料的光学,电子和热应用具有重要的影响,因此声学探针将在这些领域提供新的见解。
更多关于材料方面、材料腐蚀控制、材料科普等方面的国内外最新动态,我们网站会不断更新。希望大家一直关注中国腐蚀与防护网http://www.ecorr.org
责任编辑:庞雪洁
投稿联系:编辑部
电话:010-62313558-806
中国腐蚀与防护网官方 QQ群:140808414
免责声明:本网站所转载的文字、图片与视频资料版权归原创作者所有,如果涉及侵权,请第一时间联系本网删除。
官方微信
《中国腐蚀与防护网电子期刊》征订启事
- 投稿联系:编辑部
- 电话:010-62316606-806
- 邮箱:fsfhzy666@163.com
- 中国腐蚀与防护网官方QQ群:140808414



