摘要
采用挂片、电化学实验和SEM等手段研究了L245钢在含有铁细菌 (FB) 的页岩气压裂产出水中的腐蚀行为。结果表明:有、无FB压裂产出水都会对L245钢造成腐蚀,但失重分析和极化曲线分析都证明FB的存在促进了L245钢的腐蚀;电化学阻抗拟合结果表明,在不含FB的页岩气压裂产出水中,L245钢的腐蚀速率在前5 d逐渐增大,后快速减小。在含有FB的页岩气压裂产出水中,L245钢的腐蚀速率先减小,至8 d后逐渐增大。SEM分析结果表明,两种体系生成了不同的腐蚀产物膜。
关键词: L245钢; 铁细菌; 电化学; 微生物腐蚀; 页岩气压裂产出水
页岩气作为一种重要的非常规天然气资源已成为我国能源开发的热点,在其开采过程中,水力压裂技术是提高采收率的必要手段之一。在采出过程中,含有化学物质、卤化物、金属、碳氢化合物以及地层微生物的注入流体会随着压力的释放而返排至地面[1,2],包括返排液和产出水[3]。其中页岩气产出水具有液量大、成分复杂、污染物浓度高和矿化度高的特点[4-6],且伴有大量具有腐蚀性的物质,例如CO2、H2S、溶解氧以及微生物等,会对设备、井下管柱和集输管线不同程度地产生腐蚀[7,8]。
微生物是引起金属材料腐蚀的一种重要因素。据统计,约20%的金属材料腐蚀是由微生物引起的,对石油、天然气行业带来了巨大的经济损失[9]。微生物腐蚀 (MIC) 是金属和合金受微生物活动影响,微生物、生物代谢产物及非生物腐蚀产物在金属表面共同作用诱导腐蚀反应的电化学过程,从而导致金属破坏[10-12]。在油气田行业引起腐蚀的主要微生物有硫酸盐还原菌 (SRB)、腐生菌 (TGB) 以及铁细菌 (FB) 3大类[13]。目前,微生物腐蚀学者多集中在SRB的腐蚀研究上[14-16],而对FB的腐蚀研究尚不深入,在页岩气产出水中的FB对金属的腐蚀研究更是少有报道[10,17]。FB是诱发钢材产生结瘤腐蚀的最常见的微生物,其具有在细胞外沉积铁的氢氧化物的能力,它能将Fe2+氧化为Fe3+而获得能量完成自身的新陈代谢,生成不溶性的Fe(OH)3等高价铁化合物,FB与沉淀物形成锈垢,通过缝隙腐蚀形式腐蚀管道和设备[10,18-21]。
四川省是我国页岩气开采的重要省份,其页岩气年开采量约5×109 m3,随之产生出的废水多达5.69亿吨[6,22]。为避免大量水资源的消耗,水力压裂施工时往往采用压裂产出水重复利用。四川威远是我国页岩气的主产区,该区块输送压裂产出水时多用L245管材,故对该区块的页岩气压裂产出水中FB的生成及对L245钢的腐蚀行为的研究具有重要意义。本文从威远某页岩气井压裂产出水通过筛选、分离与纯化得到FB,通过电化学法、腐蚀失重法以及腐蚀表面分析法,对有、无FB介质中L245钢腐蚀行为进行研究。
1 实验方法
1.1 实验材料的制备
实验材料为L245钢,其化学成分 (质量分数,%) 为:C 0.135,Si 0.350,Mn 1.350,S 0.007,P 0.015,Fe余量。挂片实验试样尺寸为50 mm×10 mm×3 mm (含Φ5 mm的孔)。将钢片表面用800、1200、2000目金相砂纸逐级打磨至发光发亮,打磨后的试样依次用去离子水、无水乙醇和丙酮清洗后放入干燥箱备用,实验前用紫外灯灭菌30 min。
本实验所用实验液体为威远某页岩气井压裂产出水,其水质情况 (mg/L) 为:pH 7.8,TDS 16270,K+ 168,Na+ 6889.9,Ca2+ 277.9,Mg2+ 16.1,Fe2+/Fe3+ 56.1,NO3- 75.3,SO42- 49.7,Cl- 7380,Br- 165.2。实验所用的FB是从该水样中经过分离纯化所得。FB培养基配方为 (g/L):CaCl2 0.2,NaNO3 0.5,K2HPO4 0.5,MgSO4·7H2O 0.5,(NH4)2SO4 0.5,FeC6H5O7·NH4OH 10,并用0.5 mol/L HCl调节培养基至pH 7.2,并使其在120 ℃条件下于高压灭菌锅中灭菌20 min。
1.2 FB的培养及其定性检测
将水样接种到已灭菌的培养基中并封口,置于35 ℃、160 r/min的空气摇浴床中进行培养,直至液体颜色加深并出现浑浊现象。采用平板涂布法将接种的FB液按照不同浓度梯度接种到固体培养基中进行分离培养,然后采用划线分离法对细菌进一步分离纯化。在已分离纯化的固体培养基中挑菌,接种到液体培养基中进行富集,得到纯种FB富集液。
挑取培养FB富集液于载玻片上,并滴加10 g/L K4Fe(CN)6,盖上盖玻片后在盖玻片的一侧边缘滴入几滴2 mol/L HCl,使用滤纸在盖玻片另一侧拉引,并在显微镜下观察是否出现Prussian蓝沉淀以证明是否成功分离FB。
为进一步了解FB的形态和性质,采用Gram's染色法对其进行染色,并置于显微镜下进行观察。
1.3 挂片浸泡实验
将灭菌后的水样分别置于500 mL广口瓶内,分为空白组和FB组,且只在FB组中加入一定量的FB富集液,并将1.1节中处理后的L245钢片 (每组3个平行试样) 悬挂在广口瓶中,使其浸没在水样之中,置于35 ℃水浴中。将浸泡21 d后的试片取出用水冲洗,并用酸清洗液 (其配比为盐酸100 mL,六次甲基四胺7 g,加蒸馏水至1 L) 除去表面的腐蚀产物后,用去离子水、无水乙醇和丙酮进行清洗干燥,用FA1004C电子天平 (精度0.1 mg) 称重,结果取3个平行样的平均值,通过腐蚀前后试片的失重来计算其腐蚀速率,公式为:

式中,CR为腐蚀速率,mm·a-1;M为试片初始质量,g;M1为清除腐蚀产物后的试片重量,g;A为试片的表面积,cm2;t为腐蚀实验时间,h;ρ为金属材料密度,g·m-3。
1.4 电化学测试
采用CorrTest (CS310H) 电化学工作站测试试样的电化学阻抗谱 (EIS) 以及动电位极化曲线。电化学测量采用三电极体系,在产出水中浸泡后的L245钢作为工作电极,Pt片作辅助电极,参比电极为饱和甘汞电极 (SCE)。为减小液接电势,本实验采用3% (质量分数) 琼脂-饱和KCl盐桥,将该盐桥浸没于1000 mL饱和KCl溶液中保存备用。实验温度为35 ℃,压力为常压。EIS测量时,测试频率为10-5~10-2 Hz,交流激励信号为幅值为±10 mV的正弦波。采用Zsimp Win软件对测量结果进行拟合分析。动电位极化曲线的扫描速率为0.5 mV/s,扫描电位范围为±250 mV (相对于开路电位),并对曲线进行拟合。
1.5 腐蚀形貌分析
在进行观察前,将在不同体系中浸泡21 d后的钢片取出,立即放入2.5% (质量分数) 戊二醛固定液中浸泡4 h,并用30%,50%,70%,90%和100% (质量分数) 的乙醇溶液脱水15 min。采用KYKY-EM6900型扫描电子显微镜 (SEM) 观察浸泡挂片实验后试样表面微观形貌。
2 结果与讨论
2.1 FB筛选纯化
采用平板涂布法分离出的FB菌落形态单一,呈深褐色;纯化得到的富集液呈黑褐色。样品中FB的定性检测结果显示有Prussian蓝的沉淀生成,这是因为FB能将二价铁盐氧化为三价铁化合物,说明该页岩气压裂产出水中能够成功分离出FB。通过镜检观察到FB菌体被染成红色,说明其为Gram's阴性,且其菌体为杆状,由杆状细胞排列成链,被一层外鞘所包裹,有鞭毛,无芽孢,可初步确定从该产出水中分离出来的FB主要为鞘细菌类。
2.2 失重分析
L245钢在空白和含有FB页岩气压裂产出水中浸泡21 d后的腐蚀速率分别为0.0784和0.1257 mm·a-1。可以看出,L245钢在含有FB的页岩气压裂产出水中的腐蚀速率远远高于在空白体系中的,说明FB的存在加速了L245钢的腐蚀。
2.3 电化学测试
2.3.1 动电位极化曲线分析
图1是L245钢在不同体系中浸泡21 d后的动电位极化曲线。其中,空白体系和含FB体系中试样的自腐蚀电位分别为-0.86和-0.82 V,对应的腐蚀电流密度分别为3.81×10-6和7.12×10-6 A·cm-2。可知,含FB体系的极化曲线的阴极区和阳极区较无菌体系均向右移动,说明FB的存在促进了阳极反应和阴极反应的进行。在含有FB体系的自腐蚀电位发生了正移,说明空白体系具有更大的腐蚀倾向,可能是含FB体系钢基体表面生成了更为致密的生物膜,对钢基体起到了保护作用。由Farady第二定律可知,自腐蚀电流密度与腐蚀速率存在对应关系,自腐蚀电流密度越大,腐蚀速率则越大[23],说明浸泡21 d后含FB体系的钢片腐蚀速率大于在空白体系中的,这与失重分析结果一致。

图1 L245钢在空白和含FB体系中浸泡21 d的极化曲线
2.3.2 电化学阻抗分析
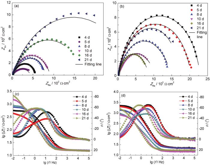
图2为L245钢在空白和含有FB的页岩气压裂产出水中随时间变化的Nyquist和Bode图。由图2a和c可以看出,在空白体系和含FB体系中,不同时间段的L245钢的阻抗谱在整个测试范围内都呈现为一个半圆,这表示金属电极的电容行为,即L245钢在两种体系下都呈现单一的容抗性质,且阻抗谱半圆的直径越大,电极将更加耐腐蚀[24,25]。一般情况下,阻抗弧大小与电极表面形成腐蚀产物膜有关[17]。

图2 L245钢在空白和含有FB体系中浸泡不同时间的Nyquist和Bode图
空白体系中 (图2a),阻抗弧半径先减小后增大,第5 d的阻抗弧半径小于第4 d的。从第5 d后开始,阻抗弧逐渐增大。这是因为随着时间延长,腐蚀产物增多,覆盖了整个表面且越来越致密,对电极起到了保护作用。由Bode图 (图2c) 可以看出,相位角峰值先向高频移动再向低频移动,且低频区的lg|Z|值和相位角峰值也先减小至第5 d后逐步增大,这也表明致密的腐蚀产物膜在第5 d后逐渐形成。
在含有FB的腐蚀体系中 (图2b),前16 d阻抗弧半径随时间推移逐渐减小,钢片的耐腐蚀性降低;而到第21 d阻抗弧半径快速增大,这意味着在细菌体系中,随着腐蚀过程的加剧,腐蚀产物增多堆积在试样表面,导致培养至16 d后的FB在电极表面形成了致密的生物膜,对电极起到一定的保护作用。由Bode图 (图2d) 可知,低频区lg|Z|值和相位角峰值先减小至16 d后增大,表明含FB体系中的试样表面所产生的生物膜在第21 d有致密的产物膜生成。
为更好地理解L245钢在两种体系中的表面膜层结构及其阻抗特性,采用Zsimp Win软件对各体系的阻抗谱进行拟合,电化学阻抗拟合等效电路见图3,拟合结果如表1和2所示。其中,Rs为溶液电阻;Qf和Rf分别为表面层电容和电阻;Qdl为界面双电层电容;Rct为电荷转移电阻。Rct的大小能够表征金属的腐蚀速率,Rct减小,电荷转移难度降低,说明腐蚀程度加重,腐蚀速率增大[26]。从表1和2的拟合结果可以看出,整个实验周期,含有FB体系中的Rct整体低于空白体系中的,说明FB的存在加速了L245钢在页岩气压裂产出水中的腐蚀。

图3 L245钢在空白和含有FB体系中的电化学阻抗等效拟合电路
表1 L245钢在无菌页岩气压裂产出水中的电化学阻抗谱拟合参数

对于空白溶液体系而言,由表3中Rct值的变化趋势可以看出,在4~5 d,Rct值从555.8 Ω·cm2降低到434.7 Ω·cm2,这说明当L245钢直接暴露在无菌的页岩气压裂产出水中时,水中的Cl-等腐蚀性物质对试样产生作用,加速了其腐蚀,腐蚀速率增加。而在第5 d后,Rct值逐渐增大,腐蚀速率减小,可能是由于腐蚀产物的增加和堆积所形成的产物膜阻碍了溶液中的腐蚀性介质到达金属表面,导致腐蚀速率逐步降低。
在含有FB的体系中,整体来看,Rct值在第4 d最小,腐蚀速率最大。在4~8 d,Rct值快速增加,到第8 d呈现最大值,第8 d后Rct值逐渐减小,试样的腐蚀速率先减小后升高。在浸泡前期,FB和溶液中其他腐蚀物质都作用于试样表面,故具有较高的腐蚀速率,生物膜和产物膜同时形成,从而导致试样的腐蚀速率减小;随着FB的大量繁殖,试样的自身腐蚀作用强于产物膜的延缓作用,故而腐蚀速率有所增加。
表2 L245钢在含FB页岩气压裂产出水中的电化学阻抗谱拟合参数

钢材中Fe的存在为FB提供了良好的繁殖条件,反过来FB的繁殖加速了Fe的腐蚀反应。FB附着在金属材料表面,通过阳极反应将Fe2+氧化为Fe3+来获取能量以满足自身的新陈代谢。由于Fe2+即在金属基体表面也可以扩散到溶液中,故Fe2+在金属表面和FB的生物膜内都可能发生氧化[17,27],而其阴极反应产生的OH-又与Fe2+和Fe3+结合分别生成Fe(OH)2和Fe(OH)3。由于Fe(OH)3的不稳定性,还会继而转化为Fe2O3和Fe4O3。FB引起的主要腐蚀反应如下[20, 28]:

在油气田中压裂工作后返排而出的产出水往往具有高矿化度的特点,其不仅能够增大溶液的电导率而促使电荷转移,对钢材造成腐蚀,且易产生污垢附着于钢材表面形成钝化膜。由于Cl-半径较小,其容易穿透和破环钝化膜,当Cl-将溶液中的O排挤掉后与钝化膜中的Na+、K+、Ca2+、Mg2+等阳离子结合而形成可溶性氯化物,导致金属基底重新暴露,而FB的存在则会促进局部电化学腐蚀[23],导致页岩气压裂产出水中有FB存在情况下的腐蚀程度远大于在无菌体系中的。
2.4 钢片形貌分析
L245钢片在空白体系和含有FB体系中浸泡21 d后的腐蚀形貌如图4所示。可以看出,在不含FB的产出水中浸泡后,试样表面堆积了呈光滑颗粒状的腐蚀产物,可能是NaCl等物质堆积于试样表面,从而对试样起到保护作用,一定程度上抑制了试样的腐蚀。而在含有FB的产出水中浸泡后,试样表面形貌与在不含FB的产出水中浸泡后的有所不同,试样表面可见由树冠状的细菌和代谢物质堆积而成的生物膜,这与前面电化学测试所得出结果一致。

图4 L245钢在空白和含FB的产出水中浸泡21 d后的腐蚀形貌
3 结论
(1) 从威远某页岩气井压裂产出水中成功分离纯化出铁细菌富集液,说明铁细菌广泛存在于压裂产出水中。
(2) 由极化曲线和失重分析表明,在无菌和有菌页岩气压裂产出水中L245钢都会发生腐蚀,铁细菌的存在加速了L245钢的腐蚀速率。
(3) 在无菌的页岩气压裂产出水中,L245钢的腐蚀速率在前期逐渐增大后快速减小;而在接种铁细菌的体系中,L245钢的腐蚀速率先减小,后逐渐增大。
(4) 在无菌的页岩气压裂产出水中,试样表面的腐蚀产物呈光滑颗粒状;而在含菌的体系中,其腐蚀产物呈树冠状。
参考文献
1 Hatzenbuhler H, Centner T J. Regulation of water pollution from hydraulic fracturing in horizontally-drilled wells in the marcellus shale region, USA [J]. Water, 2012, 4: 983
2 Theodori G L, Luloff A E, Willits F K, et al. Hydraulic fracturing and the management, disposal, and reuse of frac flowback waters: Views from the public in the Marcellus Shale [J]. Energy Res. Soc. Sci., 2014, 2: 66
3 Wang D. Technical progress of shale gas produced water treatment [J]. Environ. Eng., 2016, 34(): 424
3 王丹. 页岩气采出水处理工艺技术研究进展 [J]. 环境工程, 2016, 34(): 424
4 Wang J, Yan Y L, Yang Z G. Corrosion protection technology in the treatment of fracturing flow-back fluid of shale gas [J]. Surf. Technol., 2016, 45(8): 63
4 王娟, 燕永利, 杨志刚. 页岩气压裂返排液处理过程中的腐蚀防护技术 [J]. 表面技术, 2016, 45(8): 63
5 Gordalla B C, Ewers U, Frimmel F H. Hydraulic fracturing: A toxicological threat for groundwater and drinking-water? [J]. Environ. Earth Sci., 2013, 70: 3875
6 Wang M C, Wang M, Zhang Y Z, et al. Study on feasible treatment technologies for shale gas produced wastewater [J]. Mod. Chem. Ind., 2019, 39(3): 198
6 王美城, 王敏, 张宇州等. 页岩气产出水的可行性处理工艺研究 [J]. 现代化工, 2019, 39(3): 198
7 Shu F C, Lai Y L, Zhang Y. Study on corrosion and protection of oil-field produced water [J]. Total Corros. Control, 2007, 21(5): 8
7 舒福昌, 赖燕玲, 张煜. 油田产出水的腐蚀及防护研究 [J]. 全面腐蚀控制, 2007, 21(5): 8
8 Li J D, Wang C D, Liu J, et al. Corrosion analysis, and use of an inhibitor in oil wells [J]. Res. Chem. Intermed., 2014, 40: 649
9 Shi X B, Yang C G, Yan W, et al. Microbiologically influenced corrosion of pipeline steels [J]. J. Chin. Soc. Corros. Prot., 2019, 39: 9
9 史显波, 杨春光, 严伟等. 管线钢的微生物腐蚀 [J]. 中国腐蚀与防护学报, 2019, 39: 9
10 Yao Y, Zhang Q L, Qin F L, et al. Effect of iron bacteria on corrosion behavior of J55 steel [J]. Corros. Prot., 2016, 37: 206
10 姚蓉, 张秋利, 秦芳玲等. 铁细菌对J55钢腐蚀行为的影响 [J]. 腐蚀与防护, 2016, 37: 206
11 Zhang W Y. Advances in the study of microbiologically influenced corrosion in marine environment [J]. Total Corros. Control, 2017, 31(1): 8
11 张文毓. 海洋微生物腐蚀研究进展 [J]. 全面腐蚀控制, 2017, 31(1): 8
12 Zheng C B, Hu X H, Zhang J, et al. Effect of chlorella vulgaris on corrosion behavior of Q235 carbon steel in seawater [J]. Corros. Prot., 2018, 39: 247
12 郑传波, 胡秀华, 张杰等. 海水中小球藻对Q235碳钢腐蚀行为的影响 [J]. 腐蚀与防护, 2018, 39: 247
13 Li F X, Wang Z K, Liu H L, et al. Corrosion and sterilization of pipelines by bacteria [J]. Oil-Gasfield Surf. Eng., 2014, 33(9): 22
13 李凤霞, 王郑库, 刘虹利等. 细菌对管道的腐蚀及杀菌实验 [J]. 油气田地面工程, 2014, 33(9): 22
14 Xu W J, Sun C, Han E-H. Effects of SRB on corrosion of 1Cr13 stainless steel in sea mud [J]. J. Mater. Prot., 2002, 35(11): 3
14 徐文杰, 孙成, 韩恩厚. 海泥中硫酸盐还原菌对1Cr13不锈钢腐蚀的影响 [J]. 材料保护, 2002, 35(11): 3
15 Liu H W, Liu H F, Qin S, et al. Investigation of biomineralization induced by sulfate reducing bacteria in sewage gathering pipelines in oilfield [J]. Corros. Sci. Prot. Technol., 2015, 27: 7
15 刘宏伟, 刘宏芳, 秦双等. 集输管线硫酸盐还原菌诱导生物矿化作用调查 [J]. 腐蚀科学与防护技术, 2015, 27: 7
16 Liu L, Jing J Q, Xie J F, et al. Study on physiological and biochemical characteristics and corrosion behavior of sulfate reducing bacteria isolated from oil pipeline [J]. Cont. Chem. Ind., 2016, 45: 263
16 刘黎, 敬加强, 谢俊峰等. 一株分离自输油管线中的硫酸盐还原菌生理生化特性及腐蚀行为研究 [J]. 当代化工, 2016, 45: 263
17 Lv Y L, Liu H W, Xiong F P, et al. Corrosion behavior of X80 pipeline steel in oil-field produced water containing iron oxidizing bacteria [J]. Corros. Sci. Prot. Technol., 2017, 29: 343
17 吕亚林, 刘宏伟, 熊福平等. 铁氧化菌对X80管线钢腐蚀行为的影响 [J]. 腐蚀科学与防护技术, 2017, 29: 343
18 Starosvetsky D, Armon R, Yahalom J, et al. Pitting corrosion of carbon steel caused by iron bacteria [J]. Int. Biodeterior. Biodegrad., 2001, 47: 79
19 Duan Y, Li S M, Du J, et al. Corrosion behavior of Q235 steel in the presence of pseudomonas and iron bacteria [J]. Acta Phys.- Chim. Sin., 2010, 26: 3203
19 段冶, 李松梅, 杜娟等. Q235钢在假单胞菌和铁细菌混合作用下的腐蚀行为 [J]. 物理化学学报, 2010, 26: 3203
20 Yin B J, Zhao W Z, Shi J Q. Study on microbial corrosion of metals [J]. Sichuan Chem. Ind., 2004, 7(1): 30
20 尹宝俊, 赵文轸, 史交齐. 金属微生物腐蚀的研究 [J]. 四川化工, 2004, 7(1): 30
21 Tian F, Bai X Q, He X Y, et al. Research progress on microbiological induced corrosion of metallic materials under ocean environment [J]. Surf. Technol., 2018, 47(8): 182
21 田丰, 白秀琴, 贺小燕等. 海洋环境下金属材料微生物腐蚀研究进展 [J]. 表面技术, 2018, 47(8): 182
22 Tian L, Wang Z M, Krupnick A, et al. Stimulating shale gas development in China: A comparison with the US experience [J]. Energy Policy, 2014, 75: 109
23 Zhai F T, Li H H, Xu C M. Corrosion behavior of 2507 duplex stainless steel in cooling water with different IOB contents [J]. J. Xi'an Technol. Univ., 2015, 35: 655
23 翟芳婷, 李辉辉, 胥聪敏. 2507双相不锈钢在含铁氧化菌冷却水中的腐蚀行为 [J]. 西安工业大学学报, 2015, 35: 655
24 Zhu M, Du C W, Li X G, et al. Effect of strength and microstructure on stress corrosion cracking behavior and mechanism of X80 pipeline steel in high pH carbonate/bicarbonate solution [J]. J. Mater. Eng. Perform., 2014, 23: 1358
25 Zhang Q L, Wang D, Xue M H, et al. Corrosion behavior of X100 steel in flowing chloride [J]. Mater. Prot., 2019, 52(10): 8
25 张秋利, 王丹, 薛梦含等. X100钢在流动氯化物中的腐蚀行为 [J]. 材料保护, 2019, 52(10): 8
26 Zhang J, Song X X, Luan X, et al. Effects of shewanella algae on corrosion of Zn-Al-Cd anode [J]. Acta Metall. Sin., 2012, 48: 1495
26 张杰, 宋秀霞, 栾鑫等. 海藻希瓦氏菌对Zn-Al-Cd牺牲阳极的腐蚀性能影响 [J]. 金属学报, 2012, 48: 1495
27 Liu H W, Xu D K, Dao A Q, et al. Study of corrosion behavior and mechanism of carbon steel in the presence of Chlorella vulgaris [J]. Corros. Sci., 2015, 101: 84
28 Cloete T E, Brözel V S, Von Holy A. Practical aspects of biofouling control in industrial water systems [J]. Int. Biodeterior. Biodegrad., 1992, 29: 299
免责声明:本网站所转载的文字、图片与视频资料版权归原创作者所有,如果涉及侵权,请第一时间联系本网删除。
官方微信
《中国腐蚀与防护网电子期刊》征订启事
- 投稿联系:编辑部
- 电话:010-62316606-806
- 邮箱:fsfhzy666@163.com
- 中国腐蚀与防护网官方QQ群:140808414



