摘要
利用双阴极等离子溅射技术在Ti-6Al-4V (TC4) 合金表面沉积Nb涂层,采用XRD、XPS和SEM研究涂层的组成及横截面形貌,并采用电化学工作站对涂层与基体的电化学性能及其钝化膜半导体特性进行研究。电化学测试均在模拟人体体液环境的Ringer's溶液中37 ℃下进行。结果表明,Nb涂层厚度约为18 μm,无孔洞、裂纹等缺陷,在 (200) 晶面呈现择优取向。涂层表面钝化膜成分主要为Nb2O5。相比TC4基体,涂层具有更高的开路电位EOCP、腐蚀电位Ecorr和更低的腐蚀电流密度Icorr;涂层与基体合金试样均表现出单一容抗弧,但涂层具有更高的阻抗和较低的有效电容值;两种试样的钝化膜均表现出n型半导体特性,在不同的成膜电位Ef下,Nb涂层的钝化膜具有更低的平带电位Efb,施主密度Nd和扩散系数D0。
关键词: Ti-6Al-4V合金; Nb涂层; 耐腐蚀性能; 钝化膜; 半导体特性
Abstract
To improve the corrosion resistance of Ti-alloy applied to human implants, Nb coating was deposited on the surface of Ti-6Al-4V (TC4) alloy by double cathode plasma sputtering technique. The composition and the cross-sectional morphology of the coating were characterized by XRD, XPS and SEM. The electrochemical properties of the coating and the semiconductor properties of the passivation film for the coating and the substrate were studied in Ringer's simulated body solution at 37 ℃ by electrochemical workstation. The results show that the Nb coating exhibits a preferred orientation on the (200) crystal plane, and the coating thickness is about 18 μm without defects such as holes and cracks. The passive film on the Nb coating is mainly Nb2O5. Comparing with the TC4 substrate, the coating has higher open circuit potential (EOCP), corrosion potential (Ecorr) and lower corrosion current density (Icorr)。 Both of the TC4 alloys with and without Nb coating exhibit a single capacitance loop, however, the coated alloy exhibits higher impedance and lower effective capacitance rather than the substrate. The passivation films of two samples exhibit n-type semiconductor characteristics. By different formation potential (Ef), the flat band potential (Efb), the donor density (Nd) and diffusion coefficient (D0) of the passivation film on the coating are always lower than that on the bare TC4 alloy.
Keywords: Ti-6Al-4V alloy; Nb coating; corrosion resistance; passive film; semiconductor property
史昆玉, 吴伟进, 张毅, 万毅, 于传浩。 TC4表面沉积Nb涂层在模拟体液环境下的电化学性能研究[J]. 中国腐蚀与防护学报, 2021, 41(1): 71-79 doi:10.11902/1005.4537.2019.270
SHI Kunyu, WU Weijin, ZHANG Yi, WAN Yi, YU Chuanhao. Electrochemical Properties of Nb Coating on TC4 Substrate in Simulated Body Solution[J]. Journal of Chinese Society for Corrosion and Protection, 2021, 41(1): 71-79 doi:10.11902/1005.4537.2019.270
钛合金具有密度低、比强度高、耐腐蚀能力和生物相容性良好等优点,被广泛应用于矫形植入物及医疗器械等领域[1-3]。Ti-6Al-4V (TC4) 是首个在ASTM标准中注册为植入材料的钛合金,并且是植入材料中最常用的钛合金。钛合金具有优良耐蚀性能是由于其表面能自发形成一层致密且化学性能稳定的钝化膜,其成分主要是TiO2。但是这层钝化膜极薄,厚度约为0.5~7 nm,在作为植入材料的工作环境下,钛合金表面的钝化膜暴露在Cl-浓度较高的人体体液中,容易发生腐蚀甚至破坏,从而导致植入物寿命降低[4]。此外,腐蚀过程中析出的有害元素如Al和V等,对人体的健康造成威胁。研究[5]表明,在TC4植入体周围组织内,Al和V离子出现过量累积会导致明显的毒性及不良反应。钛合金的表面改性是提高其性能的有效途径之一。因此,许多表面改性技术被应用于金属植入物,用来制备各种具有不同物化特性的涂层与基体结合以改善基体的耐腐蚀性能等。近年来,过渡金属Ta,Zr和Nb等由于具有高熔点、良好的耐磨性与生物相容性,越来越受到人们的重视。其中Nb具有较好的稳定性以及生物相容性,已用于制备Ti13Nb13Zr合金、Ti-5Zr-5Mo-15Nb (TLE) 合金和Ti-5Zr-3Sn-5Mo-15Nb (TLM) 合金等[6,7]。Pauline等[8]研究了通过溶胶-凝胶法在316SS不锈钢上沉积了掺杂TiO2的纳米Nb涂层在模拟人体体液中的电化学性能,结果表明涂层能起到阻挡层的作用,阻隔了腐蚀性离子渗入植入物,提高了316SS不锈钢的保护能力。Zhang等[9]采用SLM技术在纯钛基体上制备了多孔Nb涂层,细胞在该涂层上附着、生长良好,说明Nb涂层能够提高钛基的生物相容性。但上述涂层仍存在一些问题,如溶胶-凝胶法制备的涂层结合力较差,容易脱落失效,导致涂层与基体界面间腐蚀以及有害离子渗出;SLM技术所制备的多孔涂层存在大量空隙不能有效阻止体液环境中的腐蚀离子侵入涂层与基体之间的界面。考虑到双阴极等离子溅射技术具有沉积温度高,所制备的涂层纯度高,且涂层与基体结合力良好等优点,本文采用该技术在TC4合金表面沉积Nb涂层。采用XRD、XPS和SEM技术对涂层进行表征,并使用电化学工作站在模拟人体体液环境下对涂层的电化学性能进行研究。
1 实验方法
1.1 实验材料及制备工艺
用于沉积涂层的基体金属是从医用钛合金棒材上切割成尺寸为Ф35 mm×3 mm的Ti-6Al-4V圆盘状基片,TC4合金的化学组成 (质量分数) 为:Al 6.04,V 4.03,Fe 0.3,C 0.1,N 0.05,O 0.15,Ti余量。依次用50#、20#和5#的金相砂纸打磨TC4基体,再用2000和5000#的防水砂纸抛光至镜面。在溅射沉积涂层前使用蒸馏水冲洗,再用医用棉球蘸酒精擦拭,放置于干燥皿内备用。采用双阴极等离子溅射装置在已抛光的TC4基片上沉积Nb涂层,其中一个阴极放置靶材 (纯度为99.99%的纯铌靶),其直径为100 mm,厚度为5 mm;另一个阴极放置Ti-6Al-4V基片。在沉积涂层之前,将真空腔内气压排空至3×10-3 Pa,并在-650 V的电压下用Ar离子轰击试样20 min,以去除残留的表面污染物,避免在沉积涂层的过程中受到污染。然后将沉积气压设置为35 Pa,向真空腔内充入Ar,将Ar流量设置为60 SCCM。沉积涂层的参数如下:源极电压900 V,工件电压350 V,沉积温度640 ℃,靶材/基片距离10 mm,保温时间3 h。
1.2 分析方法
采用D8 ADVANCE型X射线衍射仪 (XRD) 对涂层进行物相分析,以CuKα (λ=0.154060 nm) 为射线源收集X射线光谱。采用Zeiss G300扫描电子显微镜 (SEM) 对涂层横截面形貌进行观察。将涂层在1.0 V电位下极化生成稳定的钝化膜,使用X射线光电子能谱仪 (XPS,GENESIS) 分析表面钝化膜的化学成分。
使用CHI660E电化学工作站在恒温37 ℃的Ringer's溶液中对涂层与TC4基体进行电化学测试。使用标准的三电极系统,以铂片为对比电极,饱和甘汞电极 (SCE) 为参比电极。测试样品作为工作电极,并连接一根导线,然后嵌入非导电环氧树脂,留下约1 cm×1 cm的方形表面暴露在溶液中。在整个研究过程中,所有的电极电位都与SCE作参考。动电位极化测量在稳定的开路电位下进行,以40 mV·min-1的恒定扫描速率向阳极方向增加,最高可达1.5 VSCE。在稳定的开路电位下,在105~10-2 Hz的频率范围进行电化学阻抗谱测量。在进行Mott-Schottky法分析之前,Nb涂层与TC4基体分别在0.4,0.6,0.8和1.0 V下极化形成稳定的钝化膜。电容测量在固定频率为1 kHz时,电势阶跃为20 mV下进行,每种电化学测试至少重复3次。
2 结果与讨论
2.1 涂层的物相及横截面形貌分析
图1是Nb涂层的XRD谱。可以看出,涂层的衍射峰出现明显的峰展宽和相对较低的峰强度,说明涂层的微观结构由较小的晶粒组成。涂层衍射峰的衍射角度分别为36.8°,42.6°,61.9°和73.8°,所有衍射峰均与标准粉末衍射卡片88-2330图谱对应,晶面指数分别可标定为 (111),(200),(220) 和 (311)。根据标准粉末衍射图谱可知,涂层的晶体结构为面心立方晶体。

图1 Nb涂层的X射线衍射图谱
显然,涂层的 (200) 晶面衍射峰的强度较标准图谱要强很多,表明涂层沿 (200) 晶面择优取向。根据衍射峰强度数据,可以通过下式计算出织构因子TChkl[10]:
其中,Im (hkl) 是涂层衍射峰的相对强度,I0 (hkl) 是标准图谱中衍射峰的相对强度,n为发生衍射的晶面数量。一般来说,晶面TChkl的值大于1,表明晶体朝该晶面择优取向;TChkl的值接近1,表明晶面随机取向;TChkl的值小于1时,表明晶面缺乏取向[11]。通过计算,(111),(200),(220) 和 (311) 晶面的织构系数分别为0.21,2.58,0.58和0.62,表明涂层在 (200) 晶面呈现强烈的择优取向。
图2为两种不同分辨率下Nb涂层横截面的SEM像。可以测量出涂层的厚度约为18 μm。涂层与TC4基体结合良好,呈现出连续致密均匀的显微结构,没有出现明显孔洞、裂纹等缺陷。表明在所选取的沉积工艺下,能够制备出质量良好的Nb涂层,这有助于该涂层在腐蚀性介质中表现出更加稳定的耐腐蚀性能。

图2 不同分辨率下Nb涂层的横截面形貌像
2.2 涂层的电化学腐蚀性能测试
2.2.1 开路电位 (OCP)-时间测试
图3为所制备的Nb涂层与TC4基体在37 ℃的Ringer's溶液中的开路电位随时间变化的曲线。可以看出,两个试样的开路电位均随时间的延长而增加,这可能是因为涂层/基体-电解质界面发生了钝化。根据以往的研究结果[12],Nb、Ti合金在腐蚀介质中表面容易形成一层钝化膜,并且从图3中可以看出,Nb涂层相比TC4基体具有更高且稳定的开路电位,表明Nb涂层的钝化膜对腐蚀的阻碍作用比TC4更好。

图3 Nb涂层与TC4基体在37 ℃的Ringer's溶液中的开路电位-时间曲线
2.2.2 动电位极化曲线测试
图4为所制备的Nb涂层与TC4基体在37 ℃的Ringer's溶液中的动电位极化曲线。可以看出,Nb涂层的腐蚀电位明显高于TC4基体的,且在整个电位扫描区间内电流密度均低于TC4基体的。图中,涂层与基体的极化曲线均未出现活性溶解峰,两种样品在较宽的电位区间内具有较低的阳极电流密度,表明两种试样均表现出自钝化特性[13]。Nb涂层钝化区的电位范围相比TC4基体的更窄,但是Nb涂层在钝化区以及过钝化区的电流密度均低于TC4基体的,表明Nb涂层能够对TC4基体起到一定的保护作用。

图4 Nb涂层与TC4基体在37 ℃的Ringer's溶液中的动电位极化曲线
表1是涂层和基体的极化参数。Nb涂层的腐蚀电位Ecorr比TC4基体高0.593 V,同时涂层具有更低的自腐蚀电流密度Icorr、维钝电流密度Ip和更高的极化电阻RP,表明Nb涂层的导电率和腐蚀速率更低。涂层与基体的βa均大于βc,表明两种试样都是由阳极控制的电化学腐蚀反应。对于自钝化材料,这有利于试样表面钝化膜的形成[14],为涂层/基体提供保护,提高使用寿命。并且Nb涂层的βa大于TC4基体的。根据混合电位理论,这会引起腐蚀电位的正移以及自腐蚀电流密度的降低[13],这也为Nb涂层比TC4基体具有更良好的耐腐蚀性能提供了合理的解释。
表1 Nb涂层与TC4基体在37 ℃的Ringer's溶液中的极化参数

2.2.3 阻抗谱 (EIS) 测试
电化学阻抗谱作为一种无损、高敏感度的检测技术,通常被用于研究在腐蚀性的液体环境下工作的金属或涂层的腐蚀行为[15,16]。在本文中,EIS测试被用于研究Nb涂层和TC4基体在37 ℃的Ringer's溶液中的耐蚀性能。图5所示为涂层与基体在其对应的EOCP下在37 ℃的Ringer's溶液中采集到的Nyquist图和Bode图。不难看出,涂层与基体的Nyquist图都展现出单一的半圆容抗弧,这表明两种试样表面的钝化膜都具有典型的电容效应[17],并且涂层的容抗弧半径比基体的大得多,所以涂层比基体更能阻挡腐蚀性离子的侵蚀。从Bode图中的相位角曲线中可以看出,在高频区域,Nb涂层的相位角从约20°开始,比基体高10°,在中低频区域 (10-1~103 Hz) 出现高达80°的一个较宽的平台。当测试频率降至10-2 Hz时,涂层的相位角下降幅度不到10°。而TC4基体的相位角在中低频区域并不稳定,在10 Hz处达最高值约68°,并且在低频区域相位角下降幅度高达30°。再观察|Z|-f曲线,涂层与基体在高频区域的阻抗值与频率无线性关系,而在10-2~103 Hz区间两种试样的|Z|-f曲线存在线性变化,斜率接近-1,这是试样电容特性的典型特征信号响应。此外,涂层的极限阻抗值|Z|f→0比基体约高两个数量级,说明Nb涂层的稳定性与耐蚀性能优于TC4基体的。

图5 Nb涂层与TC4基体在Ringer's溶液中的阻抗谱
为了进一步评价样品的电化学性能,使用ZsimWin软件并选择合适的等效电路模型 (EEC) 对阻抗数据进行拟合。采用的拟合电路如图6所示,该模型假设试样表面生成了一层具有缺陷的钝化膜,涂层由多孔疏松层与致密内层组成[18-20]。在图6中,Rs表示溶液电阻,这是一个恒定的电阻值,只与测试的溶液有关;R1和R2与Q1和Q2分别对应多孔层与致密层的电阻与电容,多孔层的电阻主要与溶液中的腐蚀离子Cl-通过多孔层到达致密层的路径有关,而致密层的电阻由它本身的电化学性能决定。在该拟合电路中,为了避免受到试样表面粗糙度、孔隙率或不均匀性的影响,引入了恒相元素 (CPE,Q) 来代替理想电容元件,CPE的阻抗通常表示为:

式中,Q为阻抗参数,j是虚数 (j=?1???√),ω是角频率,n是弥散指数 (或CPE指数)。n的数值在0.5~1之间,当n=1时,表示CPE是一个理想电容;n的值越接近1,说明试样表面粗糙度越低,并且因表面缺陷所引起的不均匀电流分布就越少,CPE越接近理想电容。
拟合结果如表2所示。可知,拟合方差值χ2在10-4~10-3之间,表明所采用的等效电路拟合较好。两种试样的R2均远大于R1,也就是说起到抗腐蚀作用的主要是致密层,而涂层的R2(107) 均比基体的R2 (105) 高两个数量级。说明Nb涂层能够有效提高基体在模拟人体体液中的耐蚀性。采用Brug等[21]提出的公式对阻挡层CPE的有效电容值进行计算:
表2 Nb涂层与TC4基体在Ringer's溶液中的阻抗谱拟合数据

一般来说,高电阻、低电容的样品具有更良好的绝缘性能。从表2中可以看出,基体的有效电容值比涂层的高约一个数量级,所以涂层能够提高基体的绝缘性能并对其提供保护。时间常数由τ=R×C定义,用来确定电化学过程的腐蚀速率。Nb涂层的时间常数高于基体的,表明涂层表面的钝化膜比基体的更能有效地阻挡电荷转移。此外,涂层的n值均大于基体的,表明涂层可以有效降低TC4基体的表面粗糙度,减少其表面缺陷。
2.2.4 XPS分析
为了分析Nb涂层表面钝化膜的化学成分,在37 ℃的Ringer's溶液中以1.0 V恒电位极化1 h使其形成钝化膜,并进行XPS分析。图7a为钝化膜XPS测量全谱,图中出现了Nb(Nb 3s,Nb 3p,Nb 3d,Nb 4s和Nb 4p),O 1s和C 1s峰。其中C 1s来自于样品表面的碳污染。图7b和c分别为Nb 3d和O 1s的高分辨率XPS谱。图7b的Nb 3d高分辨XPS谱中呈现出一组Nb 3d3/2和Nb 3d5/2峰,结合能分别位于207.1和209.8 eV,并且Nb 3d3/2和Nb 3d5/2能级之间的距离为2.7 eV,刚好可以拟合为一个自旋轨道双线,因此可以对应于Nb的氧化物Nb2O5[22]。图7c中O 1s的高分辨XPS谱中,位于530.1 eV处的峰对应Nb2O5中O2-的标准特征峰,而531.3和532.4 eV处的两个峰分别对应OH-中的氧离子和吸收的H2O里氧离子的特征峰[23]。以上结果说明,Nb涂层表面钝化膜的主要化学组成为Nb2O5。

图7 Nb涂层在37 ℃的Ringer's溶液中以1.0 V恒电位极化1 h所形成钝化膜的XPS测量谱
2.2.5 Mott-Schottky测试
普遍认为,影响钝化膜防护特性的重要因素之一是其半导体特性,钝化膜的半导体特性主要包括载流子密度、平带电位和钝化膜点缺陷的扩散系数等。研究钝化膜的半导体特性对深入理解其耐腐蚀行为具有重要意义[24,25]。Mott-Schottky分析是基于薄膜-电解质界面的电容测量作为施加电势的函数,是一种研究钝化膜电子学性质的原位法。根据半导体理论,n型半导体钝化膜的空间电荷电容平方的倒数1/C与电势E在耗尽条件下呈线性关系,可以用以下等式描述:
式中,εr是钝化膜的介电常数 (TiO2,60[24];Nb2O5,45[26]),ε0是真空介电常数 (8.854×10-14 F·cm-1),q是基元电荷 (e表示电子,-e表示空穴),Nq为载流子密度,Efb为平带电位,K为Boltzmann常数 (1.38×10-23 J/K),T为绝对温度 (310.25 K),KT/q可忽略。
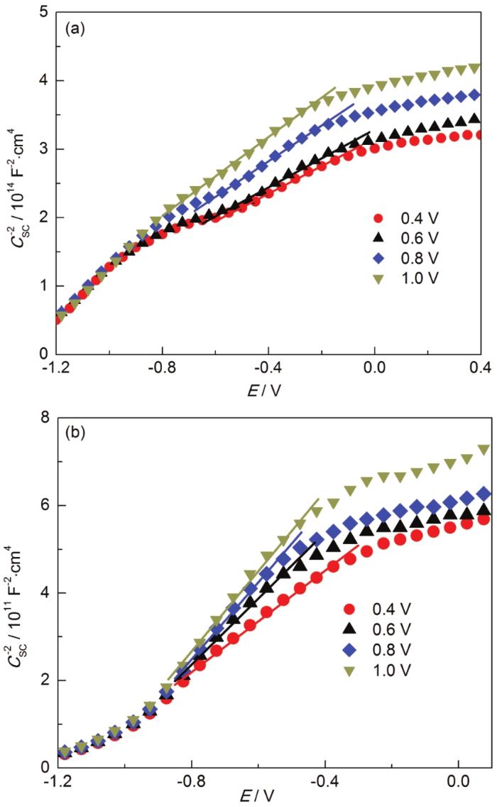
图8所示为Nb涂层与TC4基体在37 ℃ Ringer's溶液中的Mott-Schottky测试曲线。在测试之前,两种试样分别在不同成膜电位Ef (0.4,0.6,0.8和1.0 V) 下极化1 h以生成钝化膜。从图8中不难看出,两种试样的线性区域斜率均为正,表明它们的钝化膜都表现为n型半导体特性[27,28]。两种试样在不同的Ef下的施主密度Nd和平带电位Efb可以通过Mott-Schotty曲线的转折点以下的线性区域的斜率进行线性区域外推至1/Csc-2=0来计算,计算结果如表3所示。

图8 Nb涂层与TC4基体在37 ℃的Ringer's溶液中的Mott-Schottky测试结果
表3 Nb涂层与TC4基体的钝化膜在37 ℃ Ringer's溶液中的电容测量和计算结果

对于n型半导体,较高的Nd意味着较高的氧空位浓度或阳离子浓度[24]。在含氯的腐蚀介质中,这为吸收Cl-提供了条件,因此钝化膜的溶解速率也随着Nd值的增加而加快。根据表3中数据,在不同的Ef下,Nb涂层的Nd均比TC4基体低两个数量级,所以在含Cl-的Ringer's溶液中,涂层的溶解速率明显低于TC4基体的,降低了局部腐蚀发生的可能性,从而提高其稳定性。此外,随着Ef的增加,Nb涂层与TC4基体的Nd均有所下降,可能是由于在更高的Ef下,试样表面形成的钝化膜更加致密[13];另外一个原因可能是由于成膜电位增加促进了钝化膜的结晶化,从而降低了缺陷数量[29]。
Efb一般用于确定半导体能带相对电解液中电活性离子的氧化还原电位的位置,其值由半导体与电解质界面之间的电荷转移和半导体与电解质的接触电位决定[4]。根据能带模型[27],在低于Efb的电位下,n型半导体钝化膜表现为导体,电子能够轻易地在层内移动;相反,当电位高于Efb时,钝化膜表面会形成一层阻碍电子传导的障碍,抑制电极表面的氧化还原反应,也就是说具有更低平带电位的钝化膜能够在更大范围内表现为介电行为,即具有更高的耐腐蚀性能。由表3可知,在不同的成膜电位下,Nb涂层的Efb总是低于TC4合金的,因此,Nb涂层的耐腐蚀性能优于TC4合金的。
钝化膜的扩散系数 (D0) 可以采用点缺陷模型对其进行定量计算,由于两种试样的钝化膜都为n型半导体,所以钝化膜的Nd与Ef存在以下关系[30]:
式中的未知常数ω1,ω2和b可以通过图9中的函数拟合得出,其中ω2与D0的关系可以用下式[30]表达:

图9 涂层与基体的施主密度与成膜电位的关系曲线
其中,J0表示钝化膜中的稳态通量,可以通过极化曲线测得的稳态钝化电流密度 (Iss) 和电子电量 (e) 得到,J0=-Iss/2e,K=FεL/RT,F为Faraday常数,εL为钝化膜平均电场强度,R为摩尔气体常数,T为绝对温度。钝化膜平均电场强度可以通过稳态钝化膜厚度 (Dpf) 与Ef的函数斜率来进行计算[27]:
其中,η为钝化膜与溶液界面间的极化率,一般取为0.5,B是常数,取决于溶液pH和钝化膜的生长速度。稳态钝化膜厚度可以通过在1000 Hz频率下采用电容测量及下式获得:
图10为Nb涂层与TC4基体的稳态钝化膜厚度及电容与电位的关系曲线,εL是计算点缺陷扩散系数的关键参数,可以通过图10中稳态钝化膜厚度与电位的关系曲线中接近成膜电位部分曲线的斜率确定。

图10 Nb涂层与TC4的稳态钝化膜厚度和电容与成膜电位的关系曲线
扩散系数的相关计算参数均列在表3中。根据式 (7),对钝化膜厚度与电位的曲线斜率进行计算,得到Nb涂层与TC4基体的平均电场强度分别为1.707×108和2.551×106 V/cm。Kong等[31]研究了纯Ti在HClO4溶液中形成钝化膜的平均电场强度为4.18×106 V/cm,这与本实验中求得TC4基体钝化膜的平均电场强度εL为同一数量级,表明计算没有出现很大的误差。由此求得载流子在Nb涂层与TC4基体中的扩散系数分别为2.430×10-15和4.045×10-15,所以相比TC4基体,Nb涂层的载流子密度及扩散系数都更低,表明Nb涂层的钝化膜具有更好的耐蚀能力。
3 结论
(1) 采用双阴极等离子溅射技术所制备的Nb涂层在 (200) 晶面呈现择优取向,涂层较为致密,厚度约为18 μm,且与TC4基体结合良好,无明显孔洞、裂纹等缺陷。
(2) 在模拟人体体液中,涂层的开路电位在整个浸泡时间内都比TC4基体的更高并且更稳定,且涂层具有更高的腐蚀电位和更低的腐蚀电流密度,以及更高的阻抗及更低的电容。Nb涂层钝化膜的成分主要为Nb2O5。Nb涂层与TC4基体的钝化膜都表现出n型半导体特性,涂层的钝化膜具有更低的平带电位,意味着可以在更大电势范围内表现为介电行为,并且涂层钝化膜的Nd比基体的小2~3个数量级,其扩散系数约为TC4基体的一半,即表明涂层钝化膜的抗腐蚀性能相比基体更好。
(3) 在模拟人体体液环境下,Nb涂层能够有效为TC4基体提供保护,提高其耐腐蚀性能。
参考文献
[1]
Geetha M, Singh A K, Asokamani R, et al.
Ti based biomaterials, the ultimate choice for orthopaedic implants-a review
[J]. Prog. Mater. Sci., 2009, 54: 397
[本文引用: 1]
[2]
Yan H M, Liu Y, Pang S J, et al.
Glass formation and properties of Ti-based bulk metallic glasses as potential biomaterials with Nb additions
[J]. Rare Met., 2018, 37: 831
[3]
Wang H J, Wang J, Peng X, et al.
Corrosion behavior of three titanium alloys in 3.5%NaCl solution
[J]. J. Chin. Soc. Corros. Prot., 2015, 35: 75
[本文引用: 1]
王海杰, 王佳, 彭欣等。
钛合金在3.5%NaCl溶液中的腐蚀行为
[J]. 中国腐蚀与防护学报, 2015, 35: 75
[本文引用: 1]
[4]
Liu L L, Xu J, Lu X L, et al.
Electrochemical corrosion behavior of nanocrystalline β-Ta coating for biomedical applications
[J]. ACS Biomater. Sci. Eng., 2016, 2: 579
[本文引用: 2]
[5]
Jin X D, Yang X K, Wei F R, et al.
Research progress in surface modification materials and technologies of medical titanium and titanium alloys
[J]. World Nonferrous Met., 2018, (07): 265
[本文引用: 1]
金旭丹, 杨晓康, 魏芬绒等。
医用钛及钛合金表面改性材料与技术研究进展
[J]. 世界有色金属, 2018, (07): 265
[本文引用: 1]
[6]
He L.
Study on electrochemical properties of Ti-13Nb-13Zr alloy for implants
[J]. Titanium Ind. Prog., 2014, 31(3): 43
[本文引用: 1]
何蕾。
植入物用Ti-13Nb-13Zr合金电化学性能的研究
[J]. 钛工业进展, 2014, 31(3): 43
[本文引用: 1]
[7]
Yu Z T, Yu S, Cheng J, et al.
Development and application of novel biomedical titanium alloy materials
[J]. Acta Metall. Sin., 2017, 53: 1238
[本文引用: 1]
于振涛, 余森, 程军等。
新型医用钛合金材料的研发和应用现状
[J]. 金属学报, 2017, 53: 1238
[本文引用: 1]
[8]
Pauline S A, Rajendran N.
Corrosion behaviour and biocompatibility of nanoporous niobium incorporated titanium oxide coating for orthopaedic applications
[J]. Ceram. Int., 2017, 43: 1731
[本文引用: 1]
[9]
Zhang S, Cheng X, Yao Y, et al.
Porous niobium coatings fabricated with selective laser melting on titanium substrates: Preparation, characterization, and cell behavior
[J]. Mater. Sci. Eng., 2015, C53: 50
[本文引用: 1]
[10]
Jones M I, McColl I R, Grant D M.
Effect of substrate preparation and deposition conditions on the preferred orientation of TiN coatings deposited by RF reactive sputtering
[J]. Surf. Coat. Technol., 2000, 132: 143
[本文引用: 1]
[11]
Su C Y, Lu C T, Hsiao W T, et al.
Evaluation of the microstructural and photocatalytic properties of aluminum-doped zinc oxide coatings deposited by plasma spraying
[J]. Thin Solid Films, 2013, 544: 170
[本文引用: 1]
[12]
Shukla A K, Balasubramaniam R, Bhargava S.
Properties of passive film formed on CP titanium, Ti-6Al-4V and Ti-13.4 Al-29Nb alloys in simulated human body conditions
[J]. Intermetallics, 2005, 13: 631
[本文引用: 1]
[13]
Xu J, Bao X K, Jiang S Y.
In vitro corrosion resistance of Ta2N nanocrystalline coating in simulated body fluids
[J]. Acta Metall. Sin., 2018, 54: 443
[本文引用: 3]
徐江, 鲍习科, 蒋书运。
纳米晶Ta2N涂层在模拟人体环境中的耐蚀性能研究
[J]. 金属学报, 2018, 54: 443
[本文引用: 3]
[14]
Yu Y J, Kim J G, Cho S H, et al.
Plasma-polymerized toluene films for corrosion inhibition in microelectronic devices
[J]. Surf. Coat. Technol., 2003, 162: 161
[本文引用: 1]
[15]
Mansfeld F.
Electrochemical impedance spectroscopy (EIS) as a new tool for investigating methods of corrosion protection
[J]. Electrochim. Acta, 1990, 35: 1533
[本文引用: 1]
[16]
Jüttner K.
Electrochemical impedance spectroscopy (EIS) of corrosion processes on inhomogeneous surfaces
[J]. Electrochim. Acta, 1990, 35: 1501
[本文引用: 1]
[17]
Xu J, Liu L L, Lu X L, et al.
Effect of carbon doping on electrochemical behaviour of nanocrystalline Ti5Si3 film in NaCl solution
[J]. Electrochem. Commun., 2011, 13: 102
[本文引用: 1]
[18]
Xu J, Cheng J, Jiang S Y, et al.
The influence of Ti additions on the mechanical and electrochemical behavior of β-Ta5Si3 nanocrystalline coating
[J]. Appl. Surf. Sci., 2017, 419: 901
[本文引用: 1]
[19]
Pan T J, Chen Y, Zhang B, et al.
Corrosion behavior of niobium coated 304 stainless steel in acid solution
[J]. Appl. Surf. Sci., 2016, 369: 320
[20]
Hu W, Xu J, Lu X L, et al.
Corrosion and wear behaviours of a reactive-sputter-deposited Ta2O5 nanoceramic coating
[J]. Appl. Surf. Sci., 2016, 368: 177
[本文引用: 1]
[21]
Brug G J, Van Den Eeden A L G, Sluyters-Rehbach M, et al.
The analysis of electrode impedances complicated by the presence of a constant phase element
[J]. J. Electroanal. Chem. Interf. Electrochem., 1984, 176: 275
[本文引用: 1]
[22]
Li Y, Zhang J L, Qian X Y, et al.
Nanoporous niobium nitride (Nb2N) with enhanced electrocatalytic performance for hydrogen evolution
[J]. Appl. Surf. Sci., 2018, 427: 884
[本文引用: 1]
[23]
PremKumar K P, Duraipandy N, Kiran M S, et al.
Antibacterial effects, biocompatibility and electrochemical behavior of zinc incorporated niobium oxide coating on 316L SS for biomedical applications
[J]. Appl. Surf. Sci., 2018, 427: 1166
[本文引用: 1]
[24]
Jovic V D, Barsoum M W.
Corrosion behavior and passive film characteristics formed on Ti, Ti3SiC2, and Ti4AlN3 in H2SO4 and HCl
[J]. J. Electrochem. Soc., 2004, 151: B71
[本文引用: 3]
[25]
Al-Baradi A M, El-Nahass M M, Hassanien A M, et al.
Influence of RF sputtering power on structural and optical properties of Nb2O5 thin films
[J]. Optik, 2018, 168: 853
[本文引用: 1]
[26]
Ye W.
Electrochemical corrosion behavior of 309 stainless steel Nano-crystalline coating in acidic solution
[J]. J. Chin. Soc. Corros. Prot., 2008, 28: 25
[本文引用: 1]
叶威。
309不锈钢纳米涂层在酸性溶液中的电化学腐蚀行为
[J]. 中国腐蚀与防护学报, 2008, 28: 25
[本文引用: 1]
[27]
Li D G, Wang J D, Chen D R.
Influence of potentiostatic aging, temperature and pH on the diffusivity of a point defect in the passive film on Nb in an HCl solution
[J]. Electrochim. Acta, 2012, 60: 134
[本文引用: 3]
[28]
Di Quarto F, Piazza S, Sunseri C.
Amorphous semiconductor-electrolyte junction. Impedance study on the a-Nb2O5-electrolyte junction
[J]. Electrochim. Acta, 1990, 35: 99
[本文引用: 1]
[29]
Ries L A S, Da Cunha Belo M, Ferreira M G S, et al.
Chemical composition and electronic structure of passive films formed on Alloy 600 in acidic solution
[J]. Corros. Sci., 2008, 50: 676
[本文引用: 1]
[30]
Sikora E, Sikora J, Macdonald D D.
A new method for estimating the diffusivities of vacancies in passive films
[J]. Electrochim. Acta, 1996, 41: 783
[本文引用: 3]
[31]
Kong D S, Wu J X.
An electrochemical study on the anodic oxygen evolution on oxide film covered titanium
[J]. J. Electrochem. Soc., 2008, 155: C32
[本文引用: 1]
免责声明:本网站所转载的文字、图片与视频资料版权归原创作者所有,如果涉及侵权,请第一时间联系本网删除。
-
标签: Ti-6Al-4V合金, Nb涂层, 耐腐蚀性能
相关文章
官方微信
《中国腐蚀与防护网电子期刊》征订启事
- 投稿联系:编辑部
- 电话:010-62316606-806
- 邮箱:fsfhzy666@163.com
- 中国腐蚀与防护网官方QQ群:140808414
点击排行
PPT新闻
“海洋金属”——钛合金在舰船的
点击数:7214
腐蚀与“海上丝绸之路”
点击数:5804



