摘要:
壳聚糖作为一种天然高分子产物,其分子中的大量游离氨基和羟基,使得壳聚糖在防腐蚀领域引起了人们诸多关注。本文综述了壳聚糖改性以及壳聚糖及其衍生物的缓蚀行为研究进展,展望了壳聚糖及其衍生物在缓蚀剂领域的发展趋势。
关键词: 壳聚糖 ; 腐蚀 ; 绿色 ; 应用 ; 缓蚀剂
金属腐蚀在工业生产中造成的损失已成为阻碍经济发展的绊脚石。目前,在众多防腐蚀技术中,缓蚀剂是一种行之有效的低成本技术。铬酸盐、亚硝酸盐等无机盐是早期工业生产中应用最广泛的缓蚀剂[1,2]。随后人们发现,这些缓蚀剂虽然对金属的腐蚀起到一定的缓蚀作用,但是对环境和人类的危害远远超过了其使用价值。因此,人们引入一些功能性或特殊的基团去复配或替代无机盐类缓蚀剂,并成功制备了一系列的有机缓蚀剂[3,4,5,6]。然而,大多数有机缓蚀剂是通过不同的试剂经不同的条件合成得到,这就使得这些缓蚀剂生产成本高、工艺复杂、毒性大,对环境和人体存在巨大的危害且其防腐蚀性能很难满足工业要求,因此难以实现工业化生产和广泛的工业应用。
近年来,随着社会环保意识的增强,绿色、环境友好型缓蚀剂引起了人们的密切关注。环境友好型缓蚀剂主要包括天然高分子衍生物[7,8,9,10,11]和天然植物提取物[12,13,14]两大类。壳聚糖 (Chitosan Cs) 作为一种天然高分子产物,主要来源于节肢动物的外壳和真菌的细胞壁[15],其分子中大量游离氨基或是乙酰胺、羟基所提供的孤对电子能够很好的与金属发生吸附,从而保护金属免受腐蚀介质的侵袭[16,17]。目前,人们对壳聚糖类缓蚀剂开展了较多的研究,比如通过功能化修饰或化学改性壳聚糖,不仅提高其在水系腐蚀介质中的溶解性,还使得其成为一种无毒性、活性较强的高效缓蚀剂。随着对壳聚糖及其衍生物研究工作的不断推进,其应用领域也在不断扩大,充分展示了未来巨大的应用潜力。
1 壳聚糖缓蚀性能的研究
壳聚糖分子链中含有氨基葡萄糖单元上的伯羟基、仲羟基以及氨基和糖酐键等基团,是一种碱性多糖[18]。研究人员认为,壳聚糖的这些活性官能团提供的孤对电子对金属具有较强的吸附力,因此开展了壳聚糖对金属缓蚀行为的研究。
El-Haddad[19]通过失重法、电化学测试法和电化学调频测量方法研究了壳聚糖在0.5 mol·L-1 HCl溶液中对Cu的缓蚀性能。结果表明,当壳聚糖在盐酸中的浓度为8×10-6 mol·L-1时,缓蚀效率可达94%。同时分析出壳聚糖是一种混合型缓蚀剂且对Cu具有良好的缓蚀性。Umoren等[16]通过失重、电位极化曲线和电化学阻抗测试,表明先溶于0.3 mol·L-1乙酸再溶于0.1 mol·L-1 HCl溶液的壳聚糖,在浓度为2.8 μmol·L-1时缓蚀率达到68.9%,且当腐蚀介质温度增加到60 ℃时缓蚀率达到96%,继续升高温度到70 ℃时缓蚀率降低到93%。同时表明,壳聚糖对碳钢的吸附符合Langmuir等温模型。Eduok等[20]从虾壳中提取壳聚糖并作为缓蚀剂,通过电化学法研究显示壳聚糖在0.5 mol·L-1 H2SO4溶液中对碳钢具有良好的缓蚀性且该类壳聚糖是一种混合型缓蚀剂。
1.1 壳聚糖的缓蚀机理
Umoren等[16]研究了壳聚糖在盐酸介质中对Cu的缓蚀性能,并对其缓蚀机理进行了探究。结果表明,壳聚糖在Cu表面的吸附主要以化学吸附为主,物理吸附为辅。壳聚糖的化学吸附主要是由于壳聚糖中的杂原子 (N,O) 的自由电子对和金属Cu的d空轨道之间的相互作用形成薄的吸附层,进而降低了Cu的腐蚀速率[21]。此外,金属表面和缓蚀剂分子很有可能通过静电力的作用将缓蚀剂吸附于金属表面,从而形成保护膜抑制腐蚀介质的侵袭。有研究人员认为壳聚糖分子与Cu+可能按照下式在Cu表面进行络合[22]:
其中,χ表示吸附在Cu表面的壳聚糖分子数。这种络合物在Cu表面形成保护膜,而这种膜将以物理障碍的方式抑制Cu的腐蚀。还有一些研究人员认为带正电的缓蚀剂分子与带正电的金属表面由于静电排斥作用很难接近,因此先将Cl-吸附到带正电荷的金属表面上,在金属的溶液侧产生过量的负电荷,然后,缓蚀剂分子通过负电荷的金属表面和带正电荷的缓蚀剂分子之间的静电相互作用吸附并形成保护性覆盖层[23]。El-Haddad等[19]构建的壳聚糖在Cu表面的吸附模型如图1所示。

图1 壳聚糖在Cu表面的吸附模型[19]
虽然大量的文献报道了壳聚糖对金属具有一定的缓蚀性,但是壳聚糖分子间和分子内强烈的氢键作用,使得壳聚糖溶解性很差,在使用前必须先将其溶于弱酸中,最后溶于盐酸或硫酸中,这就大大限制了壳聚糖直接作为缓蚀剂的广泛使用。
2 壳聚糖衍生物缓蚀性能的研究
为解决壳聚糖在水和一般有机溶剂中溶解性差这一缺陷,研究人员发现壳聚糖糖残基上的3种活性官能团 (伯羟基 (C6—OH),仲羟基 (C2—OH) 和氨基C2—NH2)) 上含有活泼氢与孤对电子,因此可通过控制反应条件将其它活性基团引入到壳聚糖上,生成具有多种功能的衍生物。由于这些衍生物具有独特的生物活性和官能团的可塑性,使得其在金属防腐蚀方面有着广阔的应用前景。
2.1 酯化反应产物
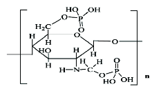
目前,在缓蚀剂领域壳聚糖的酯化反应主要是磷酸酯化。磷酸酯化是壳聚糖与磷酸在甲醛中的反应。壳聚糖磷酸酯化所得的壳聚糖衍生物在水相腐蚀介质中具有较好的溶解性,耐热性以及对重金属离子具有较强的选择性[24,25]。吴茂涛等[26,27]利用壳聚糖与磷酸制备出磷酸酯壳聚糖缓蚀剂 (其分子式如图2所示),并通过极化曲线和电化学阻抗法研究了该类缓蚀剂在1 mol·L-1 HCl和1 mol·L-1 H2SO4溶液中对碳钢的保护性,认为此类缓蚀剂都能较好地抑制碳钢的腐蚀行为,而且在1 mol·L-1 HCl中碳钢的腐蚀速率随着缓蚀剂浓度的增加而降低,在100 mg·L-1时,腐蚀速率降低至0.5073 g·m-2·h-1,缓蚀效率达到74.27%;在1 mol·L-1 H2SO4中碳钢的腐蚀速率随着缓蚀剂浓度的增加先降低后升高,在50 mg·L-1时缓蚀效率达到54.70%。在海水体系中用失重法和电化学法评价了壳聚糖磷酸酯对Q235钢的防腐蚀性能。结果表明,当加入的壳聚糖磷酸酯浓度为300 mg·L-1时,缓蚀效率达到88.71%;且当金属处于温度较高的腐蚀环境时,壳聚糖磷酸酯对金属仍有较高的缓蚀效率和更持久的防腐蚀效果。

图2 壳聚糖磷酸酯分子式[26,27]
磷酸酯化壳聚糖能够解决壳聚糖在金属防腐蚀时使用温度范围窄、投入量大、溶解度不够高 (特别是在弱酸介质和水介质中)、长效缓蚀性能不足等缺点,但是,磷酸酯衍生物在实际应用中因富营养化,易受环境因素影响,其保护效果不佳,故其应用范围有限。
2.2 季铵盐改性产物
壳聚糖的季铵盐改性主要是通过2-羟丙基三甲基氯化铵和缩水甘油基三甲基氯化铵对壳聚糖进行改性并应用于缓蚀剂研究。
Wang[28]通过失重和电化学等方法研究了商业化2-羟丙基三甲基氯化铵壳聚糖在0.25 mol·L-1 H2SO4溶液中对碳钢的缓蚀性能。结果表明,壳聚糖N-季铵盐的电荷转移电阻随着缓蚀剂浓度的增加而增大,当缓蚀剂浓度为100 mol·L-1 时,电荷转移电阻达到386 Ω·cm2,缓蚀率达到98.4%;当温度从30 ℃升高到60 ℃时,缓蚀率由89.3%下降到约75%。Sangeetha等[29]通过壳聚糖与缩水甘油基三甲基氯化铵制备出N-(-羟基-3-三甲基铵) 基壳聚糖氯化物 (HTACC),其合成过程如图3所示,通过失重法和电化学测试法评价了壳聚糖季铵盐在1 mol·L-1 HCl溶液中对碳钢的缓蚀性能。结果表明,缓蚀剂对碳钢的缓蚀效率与缓蚀剂浓度呈正比关系,当缓蚀剂的添加量为500 mg·L-1时,缓蚀效率达到98.9%。Wang等[30]研究了壳聚糖季铵盐在1 mol·L-1 HCl中对Q235钢的缓蚀性,结果表明,壳聚糖季铵盐的缓蚀效率随着壳聚糖季铵盐添加浓度的增加而升高,当壳聚糖季铵盐的浓度为200 mg·L-1时,缓蚀率达到90%。

图3 HTACC的合成示意图[29]
综上所述,研究人员利用季铵盐的高位阻和强水合力去改性壳聚糖,首先将壳聚糖氨基希夫碱化,再将席夫碱还原后与活性卤代烃反应转化为季铵盐,使得壳聚糖分子内和分子间的氢键作用大大削弱,溶解性得到大幅的提高,进而提高了壳聚糖的缓蚀效率。
2.3 含氮类有机物改性壳聚糖
用于改性壳聚糖的含氮类有机物主要有氨基硫脲、硫代碳酰肼、硫氰酸铵、胍乙酸、聚苯胺和四乙烯五胺等。
2.3.1 氨基硫脲、二氨基硫脲和乙酰硫脲壳聚糖 Li等[31]通过氨基硫脲与改性壳聚糖制备了氨基硫脲改性壳聚糖 (TSFCS) 以及利用硫代碳酰肼与改性壳聚糖制备了二氨基硫脲改性壳聚糖 (TCFCS),合成过程如图4所示。并利用动电位极化曲线法研究了二氨基硫脲改性壳聚糖在2% (质量分数) 的醋酸溶液中对304不锈钢的缓蚀行为,结果表明,当缓蚀剂的浓度在60 mg·L-1时缓蚀率达到92%。电化学测试分析表明,二氨基硫脲改性壳聚糖是一种混合型缓蚀剂。Fekry等[32]利用硫氰酸铵和乙酰氯的合成物作为前驱体,然后与壳聚糖反应合成了乙酰硫脲壳聚糖聚合物,并用电化学方法评价了其在0.5 mol·L-1 H2SO4中对低碳钢的防腐蚀性能。分析数据可得,环境温度为25 ℃时,当硫脲改性壳聚糖浓度为0.76 mmol·L-1时,缓蚀效率可达94.5%。

图4 TSFCS和TCFCS的合成路线图[31]
综上所述,硫脲衍生物类壳聚糖对碳钢具有一定的缓蚀效果,但是通过氨基硫脲改性壳聚糖作为缓蚀剂时其溶解性较差,只能溶于弱酸介质中;乙酰硫脲壳聚糖的溶解性较好,只是在低浓度条件下表现出较高的缓蚀性,当浓度升高时缓蚀性减弱。
2.3.2 胍乙酸壳聚糖 曾晗等[33]通过虾壳提取壳聚糖并与1-氯胍乙酸复合成功制备了一种绿色的酸洗缓蚀剂-壳聚糖胍乙酸衍生物,并用电化学方法评价了N80钢在含有缓蚀剂的1 mol·L-1 HCl溶液中的腐蚀行为。结果表明,胍乙酸壳聚糖对N80钢具有较好的缓蚀效果,其在碳钢表面的吸附符合Langmuir吸附等温式。
2.3.3 聚苯胺掺杂壳聚糖 郭英等[34]采用化学氧化法分别制备了壳聚糖掺杂聚苯胺 (CTS-PANI),羟丙基壳聚糖掺杂聚苯胺 (HPCS-PANI) 和羧甲基壳聚糖掺杂聚苯胺 (CMC-PANI),它们的分子结构如图5所示。用腐蚀实验和电化学测试实验评价了4种缓蚀剂在0.5 mol·L-1 HCl中对碳钢的缓蚀性能,当缓蚀剂浓度为50 mg·L-1时缓蚀率最大;4种缓蚀剂对Q235碳钢在0.5 mol·L-1 HCl溶液中的缓蚀率从小到大顺序依次为:CTS-PANI<HPCS-PANI<CMC-PANI。其中羧甲基壳聚糖掺杂聚苯胺的缓蚀性能最好,缓蚀率能够达到91.9%。邓俊英等[35]以羧甲基壳聚糖为掺杂酸掺杂苯胺制备了羧甲基壳聚糖掺杂聚苯胺 (PANI-CM-CTS),并通过电位极化技术和电化学阻抗技术研究了PANI-CM-CTS在0.5 mol·L-1 HCl溶液中对碳钢的缓蚀效果。结果表明,PANI-CM-CTS对碳钢的缓蚀性随加入量的增大而逐渐增强,当加入量为40 mg·L-1时,羧甲基壳聚糖掺杂聚苯胺对碳钢的缓蚀效率为92.3%。

图5 CTS-PANI,HPCS-PANI和CMC-PANI的分子结构式[34]
2.3.4 多胺改性壳聚糖 黄莹等[36]通过四乙烯五胺与壳聚糖衍生物复合制备出多胺改性壳聚糖 (TEPA-Ch),其合成过程如图6所示,并用电化学方法研究了其在1 mol·L-1 HCl溶液中对碳钢的缓蚀性能。结果表明,多胺改性壳聚糖的浓度为1000 mg·L-1时,缓蚀率达到80.33%。通过吸附等温模型分析可知,多胺改性壳聚糖对碳钢的吸附符合Langmuir等温模型。

图6 TEPA-Ch的合成示意图[36]
2.4 其它有机物改性产物
此外,人们还通过水杨醛、羧甲基羟丙基化和降解酶改性壳聚糖,使其缓蚀效率得到提高。
Menaka等[37]利用水杨醛与壳聚糖制备出水杨醛改性壳聚糖,并利用失重法和电化学技术研究了该席夫碱在1 mol·L-1 HCl溶液中对碳钢的腐蚀抑制效果,结果表明该席夫碱是一种混合型缓蚀剂,当缓蚀剂的浓度为1600 mg/L并在腐蚀介质中浸泡24 h时,缓蚀率可达91%。Wan等[38]合成了羧甲基羟丙基壳聚糖,并用失重法和电化学法研究了其在1 mol·L-1 HCl溶液中对碳钢的缓蚀性能。结果表明,该缓蚀剂在浓度为1000 mg/L时缓蚀率达到了95.3%。李言涛等[39]采用失重法和极化曲线法在海水体系中对Q235碳钢的缓蚀行为进行评价,并用椭圆偏振法分析水溶性壳聚糖及降解物的缓蚀机理。结果表明,通过酶降解的壳聚糖浓度为400 mg/L时,缓蚀效果最佳,且分子量越小缓蚀效率越高。
2.5 壳聚糖及其衍生物与表面活性剂的复配研究
壳聚糖及其衍生物能够有效地与表面活性剂进行复配,人们通过加入一定量的表面活性剂来降低缓蚀剂的投入量,同时提高复配缓蚀剂的缓蚀效率。
郭英等[40]制备了水溶性良好的水溶性壳聚糖,并将水溶性壳聚糖与十二烷基苯磺酸钠和焦磷酸钠进行复配并采用动电位极化和电化学阻抗技术研究了此类复配缓蚀剂对Q235钢的缓蚀性能。结果表明,未添加表面活性剂时,水溶性壳聚糖浓度为800 mg·L-1时缓蚀率为68.48%;当水溶性壳聚糖与十二烷基苯磺酸钠以浓度比800∶80 (mg·L-1) 复配时,缓蚀效率提高到78.90%;当水溶性壳聚糖与十二烷基苯磺酸钠与焦磷酸钠以质量浓度比按5∶1∶0.5复配时,缓蚀效率提高到91.40%。卢浩等[41]利用失重、动电位极化和电化学阻抗技术研究了羟丙基壳聚糖与TW-20和十二烷基苯磺酸钠复配时在1 mol·L-1 HCl中对Q235钢的缓蚀作用。结果表明,在未添加表面活性剂时,当羟丙基壳聚糖的浓度为50 mg·L-1时缓蚀率为51.73%;当TW-2浓度为0.2 mg·L-1时,缓蚀率为64.14%;当两者复配后,缓蚀剂对碳钢的缓蚀率从51.73%急剧升到90.75%,当羟丙基壳聚糖与TW-2与十二烷基苯磺酸钠以50∶0.2∶20 (mg·L-1) 复配时,缓蚀率高达93.77%。这说明TW-20和十二烷基苯磺酸钠对羟丙基壳聚糖具有很好的复配行为,且复合后的缓蚀剂对Q235钢起到协同缓蚀作用。
综上所述,将表面活性剂与壳聚糖进行复配,其主要的原因可能是表面活性剂提高了壳聚糖缓蚀剂的亲水性,降低了表面张力和界面张力,同时表面活性剂之间通过竞争吸附和协同效应使得吸附膜更加均匀、致密,从而大幅提高了缓蚀剂的缓蚀效率。
3 展望
由于壳聚糖是自然界产量第二的高分子产物甲壳素经脱乙酰化而得到的高分子产物,具有来源广、环境友好、易采集、易降解等优点。通过对其特定功能进行改性,可制备出具有多种功能的壳聚糖衍生物,尤其是抑制金属腐蚀的衍生物。但是,目前对壳聚糖及其衍生物在缓蚀剂方面的研究及应用还存在诸多的问题亟待解决,比如改性方法研究较多,然而对缓蚀应用和缓蚀机理研究较少;缓蚀评价方法简单;改性成本较高和无法克服被改性后衍生物的溶解性弱等问题。因此,在合理利用壳聚糖丰富资源的同时研究绿色、廉价、高效和水溶性良好的壳聚糖类缓蚀剂,并对其进行更深入、更系统的机理研究,对壳聚糖及其衍生物缓蚀剂的潜在应用具有重要的指导意义。
The authors have declared that no competing interests exist.
免责声明:本网站所转载的文字、图片与视频资料版权归原创作者所有,如果涉及侵权,请第一时间联系本网删除。
官方微信
《中国腐蚀与防护网电子期刊》征订启事
- 投稿联系:编辑部
- 电话:010-62316606-806
- 邮箱:fsfhzy666@163.com
- 中国腐蚀与防护网官方QQ群:140808414



