摘要
基于大型仿真软件COMSOL Multiphysics建立了7050铝合金与AerMet100钢组成的电偶对在大气环境中的腐蚀模拟预测模型。研究了偶对表面的盐负载量、大气环境的相对湿度以及阴阳极面积比对腐蚀行为的影响。结果表明:在大气环境相对湿度为0.91时腐蚀速率最快,当偶对表面盐负载量超过5.7 g/m2时会发生严重腐蚀,改变阴阳极面积比不会引起电极极性逆转,且盐负载量、偶对阴阳极面积比与7050铝合金腐蚀速率均呈现正相关关系。
关键词: 7050 Al合金; AerMet100钢; COMSOL; 大气电偶腐蚀
7050铝合金属于高强度可热处理合金,具有极高的强度及抗剥落腐蚀和抗应力腐蚀断裂的性能。常用于飞机结构件中厚板挤压件、自由锻打件与模锻件[1]。然而,由于飞机结构复杂,所用材料种类较多,因此电偶腐蚀时常发生,从而对飞机的安全运行带来一定的问题。目前,电偶腐蚀已经引起各行业的注意[2-5],国内外学者关于铝合金电偶腐蚀的研究也越来越多[7-10]。Sburamanian等[11]研究了热带海洋大气环境下,偶对铝/铜在不同阴阳极面积比条件时的电偶腐蚀行为。Cui等[12]采用腐蚀动力学和热力学理论分析了应力因素和电偶因素的影响机理,结果表明:电偶因素和拉应力因素都会增加铝合金的腐蚀电位,导致耐腐蚀性下降;随着耐腐蚀性的降低,铝合金的力学性能下降。
苏霄[13]采用干湿周期浸润实验方法和盐雾腐蚀实验方法研究了1050A铝合金在模拟海洋大气环境实验中腐蚀行为,结果表明,氯离子的存在促进了铝合金的腐蚀,失重与腐蚀时间符合幂指数规律。卞贵学等[14]研究了铝/钛合金在不同浓度酸性NaCl溶液中的腐蚀行为,结果表明,铝合金的自腐蚀电位主要受溶液中NaCl浓度的影响,溶液pH值的大小对自腐蚀电位的影响不大,但对自腐蚀电流密度影响较为显著。张勇等[15]运用数值仿真软件BEASY研究了海洋大气环境下铝合金搭件的电偶腐蚀行为,结果表明,铝合金板2A12与螺栓搭接后作为偶对阳极电位正移。Mrema等[16]对不锈钢紧固件进行不同表面处理,研究其对铝合金构件电偶腐蚀的抑制作用,结果表明,锌鳞片涂层处理的不锈钢固件对腐蚀的抑制作用效果最好。Srinath等 [17]采用物理气相沉积技术在7075铝合金基板上制备了TiCN涂层,通过盐雾试验测试了在500 ℃下热处理1、4、8和12 h的试样的腐蚀性能,结果表明,热处理1 h的试样其耐腐蚀性最好。但目前关于铝合金电偶腐蚀的研究大多为海洋环境,对于大气环境中的腐蚀行为研究还相对较少。
本文基于多物理场仿真软件COMSOL Multiphyscis对大气环境中飞机构件7050铝合金与AerMet100钢组成的电偶对进行腐蚀模拟和预测,模型的提出可以有效地为飞机部分结构的防腐和现场维修提供一定的理论指导,同时减少了腐蚀实验成本和时间。
1 电偶腐蚀仿真模型建立
1.1 物理模型
7050铝合金基体—螺栓连接的简化的三维模型示意图如图1所示。在一定湿度的大气环境下7050铝合金基体与AerMet100钢制螺栓表面会形成一定的厚度的液膜。由于7050铝合金与AerMet100钢直接接触,同时在液膜的作用下构成闭合回路,从而形成原电池加速铝合金的腐蚀。其中,7050铝合金的化学成分 (质量分数,%) 为:Fe 0.10、Si 0.31、Mn 0.08、Ti 0.05、Ti 6.00、Cr 0.02、Zr 0.10、Mg 2.00、Cu 2.20,余量为Al,AerMet100钢的化学成分 (质量分数,%) 为:C 0.25、Si 0.05、Mn 0.05、Ti 0.01、Mg 0.08、Al 0.01、Cr 3.00、P 0.003、Ni 11.50、Co 13.40,余量为Fe。

图1 7050铝合金基体—AerMet100钢螺栓连接模型
为了达到减小计算量的同时又不影响计算结果的准确性,本文对图1所示的三维模型进行简化,采用理想的二维轴对称模型进行模拟分析,简化步骤如图2所示,取ABCD为研究对象,BC段为螺栓的沉孔半径R,CD段为螺栓的沉孔深度H,螺栓底部与铝合金接触的部位为阴极边界。采用COMSOL Multiphysics建立如图3所示的二维轴对称模型,为了使模拟结果更加准确,采用超细化网格划分。

图2 三维模型简化方法

图3 二维轴对称模型
1.2 建立数学模型
在腐蚀场中完备的数学模型包括微分控制方程和相应的边界条件。一般来说微分方程有很多解,需要相对应的边界条件约束才可以得到待求问题的定解。
1.2.1 控制方程
在电化学反应中带电粒子在电解质溶液中的运动有对流、扩散和电迁移。电解质溶液中i离子在x方向上的对流流量为:
![]()
式中,π1i(x)为对流流量 (mol·m-3·s-1),ui(x)为流速 (m/s),Ci为i离子在电解质溶液中的浓度 (mol/m)。
扩散流量为:
![]()
式中,π2i(x)为扩散流量 (mol·m-2·s-1),Di为扩散系数 (m/s),?Ci?x为浓度梯度 (mol/m4)
电迁移引起的传质速率为:
![]()
式中,π3i(x)为电迁移速率 (mol·m-2·s-1),u0i为离子淌度 (m2·s-1·V -1),Ci为离子浓度 (mol/m3),φ x为电位梯度 (V -1/m)。
所以离子电极表面总的流量为:

假设金属表面被液膜电解质均匀覆盖,且液膜中各离子浓度是均匀的,电解质主体溶液为电中性,且电解质溶液不可压缩,不考虑对流和扩散对离子传质的影响,电流的变化只由离子的电迁移所引起的,则电流密度由法拉第定律可得:
![]()
式中,F为法拉第常数 (C/mol);Zi为离子化合价;ρ为电解液的电阻率Ω·m
在图3所示模型表面的液膜具有一定的厚度,在稳定、无源腐蚀的二维模型中任取一微元体,设其边长为dx,dy,体积dv=dxdy≠0,微元体结构如图4所示。

图4 微元体电流流动示意图
假设该模型中NaCl溶液均匀且静止,在x方向上流入微元体的电流和流出的电流相等,即:

即采用Laplace方程作为腐蚀场中电位分布的控制方程。
1.2.2 边界条件
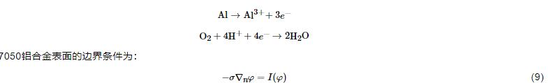
模型中7050铝合金是电偶的阳极,该合金主要由Al组成,在该模型中被忽略其他合金元素的氧化反应,所以其电极表面发生的氧化反应为:

式中,σ为电解质溶液电导率 (S/m);f(φ)为电流密度 (A/m2),通过Butler-Volmer方程描述:

式中,I0为交换电流密度 (A/m2);η为过电位 (V);αa为阳极传递系数;αc为阴极传递系数;F为法拉第常数,F=9.64856×104 C/mol;R为气体常数,R=8.314 J·mol-1·K-1;Φs,set为外部电位 (V);Φl为电解质电位 (V);Eeq为平衡电位 (V)。
AerMet100钢表面的边界条件为:

式中,Ic(φ)为阴极电流密度 (A/m2);I0为交换电流密度 (A/m2);η为过电位 (V);Ac为阴极Tafel斜率。
7050铝合金和AerMet100钢的极化动力学参数参考Chen等[1]的测量结果,其中7050铝合金的平衡电位为-0.772 V,交换电流密度为9.57×10-4 A/m2,阳极传递系数为2.5,阴极传递系数为1.5。AerMet100钢的平衡电位为-0.555 V,交换电流密度为5.6×10-2 A/m2,Tafel斜率为-111.53 mV/dec。
假设在大气环境中金属表面所形成的液膜厚度是均匀的,而液膜的电导率[18]、液膜中氧气的扩散系数[19]、液膜中氧气的溶解量均与大气的相对湿度[20] (RH) 相关,其具体对应关系如图5所示。金属表面所形成的液膜厚度不仅与相对湿度RH有关,还与金属表面的含盐量 (LD) 有关[1],如图6所示。

图5 电解质物性参数与大气相对湿度关系

图6 液膜厚度与大气相对湿度关系
2 仿真结果与讨论
2.1 盐负载量对电偶腐蚀的影响
如图3所示的二维轴对称模型,螺栓头半径r=10 mm,保持7050铝合金与AerMet100钢所处的大气环境的相对湿度为RH=0.85恒定,逐渐增大电偶对表面NaCl的负载量LD,分别取0.5、1.0、3.0、5.0、7.0和9.0 g/m2。表面含有不同盐负载量的7050铝合金/AerMet100钢电偶对在大气环境中腐蚀100 d后的电解质电位分布云图和电解质电流密度分布云图以及电极表面电位分布云图可由方程 (8) 解得,分别如图7和8所示。

图7 电解质电流密度分布云图
由图7可知,在7050铝合金和AerMet100钢接触的位置,电解质电流密度值最大,在沉孔侧壁处,即图2所示模型中的CD段电解质电流密度最小,几乎为0。且随着金属表面盐负载量LD的增加,电解质电流密度的最大值逐渐增加。由图8可知,7050铝合金表面的电位明显负于AerMet100钢,且随着电偶对表面盐负载量LD的增加,7050铝合金的电位逐渐负移,AerMet100钢的电位逐渐正移,这说明7050铝合金的腐蚀倾向随LD的升高而增大。这是因为在近中性大气环境中,NaCl会水解成Cl-,而Cl-具有吸附能力强、半径小、穿透力强等特点,导致7050铝合金表面的Al2O3膜遭到破坏,导致电偶对腐蚀速率加快,电解质中电流密度增大。此外,Cl-的存在会使腐蚀产物Al(OH)3发生局部溶解,导致金属表面原本形成的致密腐蚀产物膜被破坏,大气中的各种腐蚀性介质进一步侵蚀铝合金基体,继续引发反应,其反应过程示意图如图9所示。同时,Cl-的存在会增大电解质的电导率,进而加快金属的腐蚀。

图8 电极表面电位分布云图

图9 电解质电流密度分布云图
7050铝合金和AerMet100钢所组成的电偶对中铝合金的最大腐蚀深度如图10所示。从图中可知,在相同的腐蚀时间内,最大腐蚀深度随盐负载量LD的增加而增加,这一规律与图7和8所得结论基本一致。按照NACE的腐蚀性评价指标[21],当LD超过5.7 g/m2时,7050铝合金表面的最大腐蚀速率就会超过0.380 mm/a,属于严重腐蚀。

图10 7050铝合金最大腐蚀深度
2.2 相对湿度对电偶腐蚀的影响
如图3所示的二维轴对称模型,螺栓头半径r=10 mm,保持7050铝合金与AerMet100钢电偶对表面NaCl的负载量LD=0.5 g/m2恒定,逐渐增大电偶对所处大气环境的相对湿度RH,分别取0.76、0.79、0.82、0.85、0.88、0.81、0.94和0.97。金属的腐蚀会在其表面产生腐蚀电流,该电偶对在不同湿度的大气环境中腐蚀100 d后,其表面所产生的总电流密度分布云图如图11所示,阴阳极接触位置7050铝合金腐蚀所产生的最大电流密度随大气环境相对湿度的变化关系如图12所示。

图11 电极表面总电流密度

图12 偶对接触点最大电流密度随湿度变化关系
由图11和12可知,在7050铝合金和AerMet100钢接触的位置,电流密度值最大,在沉孔侧壁处,即图2所示模型中的CD段电流密度值最小,且沉孔侧壁上的电流密度值基本不随大气环境相对湿度RH的改变而改变。电偶对中因腐蚀而产生的电流随着大气环境相对湿度RH的增大呈现先增大后减小的趋势。这是因为随着大气相对湿度RH的增加,在金属表面所形成的液膜中的氧气溶解量及氧气扩散系数逐渐增大,因此电偶对表面的阴极反应和阳极反应速率均增大,从而导致电流密度增大。而液膜的电导率随着大气相对湿度的增大而逐渐减小,而电解质电导率对金属腐蚀速率的影响至关重要,因此相对湿度RH>0.91后电流密度逐渐减小。
在7050铝合金和AerMet100钢接触位置,铝合金的腐蚀速率最快。不同湿度下,100 d后的最大腐蚀深度如图13所示。从图中可知,最大腐蚀深度随着大气相对湿度RH的增加呈现先增加后减小的趋势,这一规律与电流变化趋势一致。在相对湿度RH=0.91时,腐蚀速率最快,达到0.62 mm/a,属于严重腐蚀。

图13 7050铝合金最大腐蚀深度随湿度变化关系
2.3 螺栓头半径对电偶腐蚀的影响
保持7050铝合金与AerMet100钢电偶对表面NaCl的负载量LD=0.5g/m2,电偶对所处大气环境的相对湿度RH=0.85,改变螺栓头半径r,分别取2、4、6、8、10和12 mm,即逐渐增加阴阳极面积比。图2所示的BC段沉孔表面处的电解质电流密度如图14所示。

图14 不同阴阳极面积比下电解质电流密度分布云图
由图14可知,电解质电流密度的最大值随着螺栓头半径r的增加而增加,电解质电流密度的最大值出现在7050铝合金与AerMet100钢的对接处,电解质电流密度云图在偶对接触点分布均匀。电解质中电流密度的大小反映了在电化学反应中得失电子的多少,即电化学反应的剧烈程度,所以随着阴阳极面积比的增加,参与反应的电子越多,阳极7050铝合金合金的腐蚀越严重[22]。图14云图中箭头代表电解质电流密度矢量,由箭头的方向可知,电流方向与阴阳极面积比无关,始终由阳极指向阴极。因此在改变阴阳极面积比时,7050铝合金与AerMet100钢组成的电偶对不会出现极性逆转[23]现象。
图2所示的BC段沉孔偶对表面处的电极电位、电流密度随螺栓头直径r的变化关系分别如图15和16所示。

图15 不同螺栓头半径下BC段电极电位
由图15可知,电极电位随着半径r的增加 (阴阳极面积比增加) 而逐渐正向偏移。由图16可知,阴极 (AerMet100钢) 表面电流为负值,阳极 (7050铝合金) 表面电流为正值,阳极表面最大电流密度均随着螺栓半径r的增加而增加[24-26],阴极表面的最大电流密度基本不随螺栓半径r的增加而变化。这是因为,在氢去极化腐蚀时,腐蚀电流密度为阴极极化控制的条件下,阴极面积相对越大,阴极上的氢过电位就越小,氢去极化的速度越大,导致阳极的腐蚀速度增加;在氧去极化腐蚀时,其腐蚀电流密度为氧扩散控制的条件下,阴极面积相对越大,则溶解氧可更大量地抵达阴极表面进行还原反应,因而导致阳极腐蚀速度增加。从防腐的角度考虑,大阴极-小阳极的连接结构比较危险,因为阳极腐蚀电流的增加会使连接结构很快受到破坏,在实际中应该尽量避免此类结构的应用。阴阳极最大电流密度均出现在电偶对接触点,随后迅速减小并逐渐趋于稳定值,所以在远离接触点的位置7050铝合金腐蚀程度受阴阳极面积比的影响较小,因此,在实际工程应用中需要对电偶对接触的地方进行重点保护。

图16 不同螺栓头半径下BC段电极表面电流密度
3 结论
本文所得出的结论反映了7050铝合金与AerMet100钢组成的电偶对在pH值为6.8~7.2之间的大气环境中的腐蚀结果,如果考虑材料表面的钝化,或偏酸性大气环境则结果可能会有一定的差异。
(1) 氯离子的存在会加快7050铝合金与AerMet100钢电偶对的腐蚀速率,当偶对表面盐负载量超过5.7 g/m2时最大腐蚀速率就超过0.380 mm/a。
(2) 7050铝合金与AerMet100钢电偶对的腐蚀速率随着大气环境相对湿度的增加呈现先增加后减小的变化趋势,在相对湿度RH=0.91时,腐蚀速率最快,达到0.62 mm/a。
(3) 7050铝合金与AerMet100钢组成的电偶对,在大气环境中改变阴阳极面积比不会引起电极极性逆转,且随着阴阳极面积比的增加7050铝合金的腐蚀速率加快。
免责声明:本网站所转载的文字、图片与视频资料版权归原创作者所有,如果涉及侵权,请第一时间联系本网删除。
-
标签: 7050 Al合金, AerMet100钢, COMSOL, 大气电偶腐蚀
官方微信
《中国腐蚀与防护网电子期刊》征订启事
- 投稿联系:编辑部
- 电话:010-62316606-806
- 邮箱:fsfhzy666@163.com
- 中国腐蚀与防护网官方QQ群:140808414



