导读:本研究采用电镜和小角中子散射(SANS)相结合的方法,研究了增材制造高合金钢热处理前后初生碳化物和纳米颗粒(尺寸阈值为100 nm)的组成和尺寸演变。经过奥氏体化和回火后,初生碳化物的体积分数和尺寸变化不大。然而,在奥氏体化过程中,位于奥氏体边界的碳化物起到了钉住作用,阻碍了晶粒的生长。晶粒尺寸从制造状态下的1.7?m增加到回火状态下的2.8?m,根据Hall-Petch关系估计,导致33-126 MPa的有限强度损失。原子探针层析成像提供了原子空间分辨率,检测了6.6 ×105 nm3的样品体积,发现在回火后的钢基体中存在大量V和cr富集的纳米颗粒,尺寸为1至10 nm。相比之下,互补SANS检测的样本量要大得多,为0.9 mm3,但缺乏空间分辨率,可提供纳米颗粒尺寸信息。结果表明,在制造和回火条件下,半径从7.6 nm减小到1.0 nm,体积分数从1.6%增加到2.3%。回火过程中产生的纳米颗粒主要通过Orowan旁通机制使强度提高691 MPa。这表明,有限的奥氏体晶粒生长和纳米颗粒的存在是导致材料强度提高的关键因素。
新一波增材制造(AM)钢的研究在充分利用凝固速率和热梯度的独特组合方面取得了重大进展[1-4]。例如,通过激光粉末床熔化增材制造加工的316l不锈钢,与传统材料相比,在高强度和延展性方面表现出了显著改善的平衡[5]。这一成功归功于AM固化诱导的细胞结构。几乎所有的增材钢研究[6-13]都特别关注晶粒或亚晶粒级特征、晶体织构及其对力学性能的影响。相比之下,迄今为止对AM钢中析出物的作用的探索要少得多。从以往有限的工作中得出的主要结论总结如下。
Saewe等[14]研究了不同碳浓度下HS6-5-3-8工具钢及其变体的增材加工性能和显微组织。结果表明,随着碳含量的增加,钢的硬度从650±37 Hv(约58 HRC)降至570±31 Hv,但析出的碳化物较多。他们将这种现象归因于碳诱导的基体中较软的残余奥氏体的稳定。Sander等人[15]所做的工作很可能是AM工具钢的第一篇报道,他们发现碳化物均匀分布在不连续的网络中,这被认为是900 Hv高硬度的部分原因(约67 HRC)。 Greenen等[16]通过比较激光粉末床熔合、热等静压和铸造材料,对AM M3:2工具钢进行了研究。在碳化物方面,AM钢的碳化物粒度最小,为1 μm;HIP钢为2 ~ 5 μm,铸钢为40 ~ 100 μm。他们还检查了后处理热处理的影响,揭示了不同状态的硬度最大值相对接近,范围从920到945 Hv(约68 HRC)。此外,对AM M50工具钢的研究探讨了碳化物及其在后处理热处理过程中的演变[17-19]。然而,这些研究以及少数报道热处理对增材制造工具钢中碳化物演化影响的工作[20,21]主要集中在0.7至1 μ m尺寸范围内的原生碳化物。现有的增材制造钢研究缺乏对碳化物与力学性能关系的深入研究。
与传统方法相比,我们之前对电子束粉末床熔合AM S390工具钢的研究显示出前所未有的强度[22]。回火后,硬度由65 HRC提高到73 HRC,横向断裂强度由2500 MPa提高到3012 MPa。这些优异的力学性能归功于纳米颗粒的典型尺寸为21±7 nm。正如之前在[23]中讨论的那样,增材制造引起的微观结构的非平衡性质需要额外的或适应的后处理热处理来增强机械性能。这启发了我们更深入地研究纳米粒子的形成和演化,特别关注它们的化学成分和尺寸分布。然而,由于合金元素(例如,V, Cr)与Fe的原子序数相似,对这些极细的沉淀进行量化带来了重大挑战。
为了实现研究目标,必须认识到个体表征技术的局限性,并利用它们的不同优势。例如,透射电子显微镜(TEM)可以揭示小至0.1 nm的微观结构特征[24],但它缺乏定量分析所需的统计严谨性。相反,原子探针层析成像(APT)非常适合获得具有原子空间分辨率的成分信息。然而,该技术在体积代表性方面存在局限性[25]。应对上述挑战的拟议战略是采用综合工具。特别是,本工作试图利用APT和小角中子散射(SANS)相结合的技术来研究高碳高合金钢中纳米颗粒的组成和尺寸演变。这两种技术被认为是互补的,因为它们都覆盖了相同的维度范围[26]。
SANS是一种新兴的表征沉淀行为的技术,它已被证明是一种可靠的方法,可以确定典型尺寸小于100纳米的颗粒的大小和组成信息。Leitner等[27]利用SANS测量方法研究了HS6-5-2工具钢回火产生的析出相。他们报告说,从SANS得到的沉淀尺寸与透射电镜观察到的尺寸在同一范围内。Wang等人[28]利用SANS技术测量含钒高强度低合金钢中纳米级碳化物的尺寸分布,也得出了类似的结论。然而,使用SANS技术成功的颗粒表征并不局限于钢的研究。Sharma等[29]采用SANS技术研究了Ti-5553 β-钛合金的等温ω-相演化过程,测定的晶粒尺寸与TEM观察结果一致[30]。在AM领域,Wahlmann等人[31]使用小角度x射线散射技术(类似于SANS,但基于同步加速器x射线束)来获得增材制造过程中γ′相动态行为的新见解。据作者所知,Wahlmann等人的工作似乎是使用小角度散射技术研究AM材料中纳米颗粒行为的唯一尝试。
在本研究中,英国莱斯顿大学陈博教授团队研究了经电子束粉末床熔合处理的S390钢在生态、奥氏体化和回火三种状态下,初生碳化物和纳米颗粒的尺寸和组成变化。在如此复杂的体系中对不同成分的沉淀进行定量分析是该领域的重大进展。收集的实验数据使我们能够批判性地评估有效的强化机制,深入了解增材制造钢的微观组织和性能关系。
相关研究成果以“Insights into primary carbides and nanoparticles in an additively manufactured high-alloy steel”发表在Acta Materialia上。
链接:https://www.sciencedirect.com/science/article/pii/S1359645424001873?via%3Dihub
图1所示。(a)热处理程序示意图和三种样品条件;(b) SANS实验设置。为了得到散射强度的一维图,在±15?扇区进行方位角平均。
图2所示。具有代表性的疯牛病显微照片显示了分布在钢基体中的碳化物颗粒:(a)和(b)制造时;(c)和(d)奥氏体化;(e)和(f)作为缓和条件。注:图(b)、(d)及(f)分别为(a)、(c)及(e)的放大图。
图3所示。离子诱导二次电子显微图显示(a)加工态、(b)奥氏体化态和(c)回火态钢基体中碳化物的分布;(d) MC和M2C/M6C碳化物的粒度分布直方图。注:灰色颗粒为M2C/M6C碳化物,深色颗粒为MC碳化物。
图4所示。制造状态APT分析:(a)选定的原子图;(b) Fe, C结合原子也显示出20 at的等浓度面。% V;(c)基体-碳化物界面上关键元素的接近直方图。
图5所示。奥氏体化状态APT分析:(a)选定元素原子图;(b)三维体积重建显示Fe和5 at等浓度面。% V;(c)横跨(b)中突出显示的特征的接近直方图。
图6所示。回火状态APT分析:(a)选定元素原子图;(b) V的原子图和10 at的等浓度面。% V;(c)从所选颗粒穿过基体-碳化物界面的接近直方图(如图所示)。
图7所示。一维SANS测量了(a) - (c)中三种样品条件下的强度I(q) vs. q,以及(d)中回火样品条件的拟合结果。(a)制造状态,(b)奥氏体化状态和(c)回火状态下I(q) vs. q的数据图。(a)到(c)中斜率为?4的直线表示Porod定律。注:磁性数据由核+磁性数据减去测量的核得到。
图8所示。制造状态(黑线)和回火状态(红线)的D(R)与R的归一化尺寸分布图,图中列出了拟合参数R0和s。
图9所示。根据图7a-7c所示的SANS数据计算的所有三种样本条件下的A-ratio与q的关系图。
图10所示。(a) STEM亮场(BF)图像和(b)显示纳米颗粒存在的高角度环形暗场(HAADF)图像;(c) - (f) STEM-EDS Cr、V、W、Mo元素映射,确认富Cr特征。
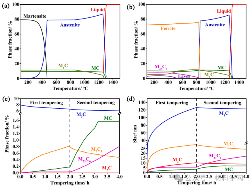
图11所示。采用JMatPro软件对106 K/s非平衡凝固条件下(a)相变进行热力学预测;(b)平衡凝固条件下的相变;(c)和(d)分别为回火热处理过程中碳化物的体积分数和尺寸变化情况。
图12所示。通过考虑三种沉淀的剪切机制和Orowan旁路机制,预测了颗粒半径的强度增量。右上角的放大图显示Orowan旁通机构,纵轴单位为MPa。
本研究的重点是通过收集颗粒尺寸和成分信息,平衡原子空间分辨率和统计严密性的增材制造高合金钢的沉淀行为。目的是通过比较热处理和制造样品条件来阐明沉淀在材料强度中的作用。这一目标是通过离子诱导二次电子成像、原子探针断层扫描(APT)和小角度中子散射(SANS)等技术的组合来实现的。可以得出以下结论:
1. 初生碳化物的尺寸阈值>100 nm,在加工条件下在奥氏体晶界处形成不连续的网络。这些碳化物在奥氏体化和三次回火过程中起着抑制晶粒生长的作用。
2. 在纳米颗粒方面,制备样品的特征是存在尺寸超过50 nm的富V颗粒,而回火样品的特征是尺寸小于10 nm的富V和cr颗粒,且均匀分布在钢基体中。纳米颗粒半径从7.6 nm减小到0.95 nm,而体积分数从1.6%增加到2.3%。基于Orowan旁路机制,纳米颗粒诱导强度增强估计为691 MPa。
3. 实验数据与热力学计算之间的差异表明了进一步改进的机会,例如,仅在模型预测下出现的M23C6、M3C和M7C3三种碳化物之间的相互作用,以及实验观察到的初级碳化物和纳米颗粒属于MC、M2C/M6C和可能的M23C6基团。
免责声明:本网站所转载的文字、图片与视频资料版权归原创作者所有,如果涉及侵权,请第一时间联系本网删除。
官方微信
《腐蚀与防护网电子期刊》征订启事
- 投稿联系:编辑部
- 电话:010-62316606
- 邮箱:fsfhzy666@163.com
- 腐蚀与防护网官方QQ群:140808414
















