导读:对哈氏合金 C-22 中的晶界复合进行了修改,以揭示晶界析出(碳化物)、偏析和晶界扩散速率的结构-性能相互作用。退火处理用于创建具有特定偏析-沉淀-结构状态的不同晶界复合体。比较了两种晶界状态:低温(873 K,主要用于偏析)和高温(1123 K,碳化物析出)退火处理引起的晶界状态。采用相关分析显微镜-示踪剂扩散分析方法阐明碳化物形成、元素偏析和结构演变对晶界扩散的影响。使用51Cr和63Ni放射性同位素进行的示踪剂测量表明,晶界扩散速率与预退火时间具有很强的非线性依赖性。通过对晶界微观结构的深入表征,Mo偏析和非相干金属碳化物在界面处的演变与Ni-Cr-Mo体系中捕获的单调晶界扩散行为具有定量相关性。
哈氏合金C型Ni-Cr-Mo合金以其在氧化还原复杂介质中优异的耐腐蚀性和良好的耐高温性而闻名,广泛应用于工业的热机械和化学过程,如石油化工管道、煤化工粉尘过滤器、能源、烟气脱硫中的电力换热器管等。海洋、发电站等。与其他工程材料一样,内部界面的行为,即晶界和相界,会影响Ni-Cr-Mo高温合金在极端/异常使用条件下的性能,特别是机械性能,这主要取决于微观结构中析出相的形态和分布。
Cr和Mo是提高Ni-Cr-Mo合金耐腐蚀性的重要合金元素。然而,在C型哈氏合金的焊接热影响区,较高的Cr和Mo含量也会削弱其在高温使用条件下的微观组织稳定性,增强其高温析出敏感性,特别是Mo可以显著改善金属间相的析出倾向。
就平衡热力学而言,C-22合金似乎正在形成单相(面心立方或FCC)在1523 K的固溶退火温度下。然而,随着温度的降低,例如,降低到1123 K,合金C-22会经历相分解。研究人员报告说,773 K和1273 K之间的暴露导致了M的沉淀C (NiMoC)晶界处的碳化物(GBs)。众所周知,经过长期老化后,各种碳化物和其他析出相,如TCP(拓扑密堆积)相(如P相),在镍基合金中更可能沿晶界析出,其演化在文献的温度范围内已广泛报道。
在成分复杂的多晶合金中,溶质元素在界面/晶界处的偏析在各种技术应用中起着重要作用。例如,Ni基合金690的耐腐蚀性与晶界处半连续至连续碳化物网络的形成有关Casales的研究报道。通过分析溶质GB扩散行为,可以方便地测量溶质偏析。沿晶界的原子输运对GBs的状态、晶界偏析和晶界沉淀高度敏感。此外,通过多晶材料中 GB 扩散的实验测量提取的 GB 偏析数据可以可靠地与选定的低下的偏析行为进行比较 GBs在双晶中,如Wagih和Schuh最近的研究所示。晶界扩散会影响GB的化学性质和沉淀行为,进而对材料的机械和电化学性能产生重大影响,例如,高强度Al-Zn-Mg-Cu合金。然而,人们可以预期 GB 扩散速率、GB 微化学和 GB 降水的强耦合演变。
杂质(溶质)在GB处的分离通常会改变相应的扩散速率。有几种情况是可能的,并且已经进行了实验观察。
例如,S或P等溶质的偏析会降低Cu、Ni或Fe中的GB自扩散速率。此外,据报道,由于S偏析,高纯度铜中溶质GB的扩散速率(特别是Ni)的扩散速率降低;
溶质的偏析可能会改变 GB 结构,这也可能影响 GB 扩散行为,因为观察到 Ag 偏析到 Cu-Ag体系中的5(310)边界;
溶质偏析可以增强GB扩散,例如在Cu-Bi合金或Ni-Bi合金中观察到GB扩散速率的突然增加;
偏析诱导的析出还可以极大地改变界面的动力学性质,即在Ni-Cr-Fe体系中观察到存在两条不同的短路扩散路径,以及扩散速率对Al基合金退火温度的非单调依赖性;
研究发现,在较低温度下,随机固溶体的相分解对高熵CoCrFeNi或CoCrFeMnNi合金的GB扩散速率有很大影响。
因此,存在着可能影响GB扩散速率的各种现象 - 通过溶质偏析到这些界面来辅助或阻碍。在占主导地位的情况下,鉴于界面处热-化学-机械耦合的复杂性增加,到目前为止,这些效应已被单独研究。然而,这种耦合现象决定了技术应用中使用的多组分合金的加工和性能。
明斯特大学材料物理研究所谢尔盖·迪文斯基研究团队系统研究了Ni-Cr-Mo合金在1123 K和873 K两种特征温度下长期热暴露后偏析和GB析出的演变,重点研究了GB扩散性能的随附变化。使用放射性示踪剂技术在B型和C型动力学状态下测量C-22合金中主要元素的示踪剂扩散。研究发现,GBs降水的演化改变了原子传输的这些短路途径。接口/GB的结构修改会影响相应的原子传输速率。这些示踪剂扩散实验与相关的显微分析相结合,因此在这项工作中还提供了精心选择的一般随机高角度晶界的详细局部表征。量化了Ni-Cr-Mo合金中偏析、析出和界面结构演变的相互作用及其对这种成分复杂的合金晶界扩散行为的影响。
相关研究成果以题“Grain boundary diffusion in a compositionally complex alloy: Interplay of segregation, precipitation and interface structures in a Ni-Cr-Mo alloy”发表在国际期刊Acta Materialia上。
链接:https://www.sciencedirect.com/science/article/pii/S1359645424001551?via%3Dihub
图1 Ni-Cr-Mo合金在1423 K退火48 h后(样品A-0/B-0,见表2)的显微组织,显示了(a)BSE图像和(b)相应的EBSD晶粒取向图,突出显示了高角度晶界,并用黑线,(c)XRD图显示了Ni-Cr-Mo合金在固溶热处理后的单个FCC相,(d)图(a)中标有黑色方块的相关区域所选HAGB的高倍率HAADF显微照片,以及近GB区域的相应STEM EDS元素图。(e)穿过所选 GB 的相关线扫描轮廓用(d)中的金色箭头表示。
图2 A-3样品的微观结构:(a)A-3样品选定区域的低放大倍率EBSD图像和(b)图(a)中用黑色方块标记的相关区域的高放大倍率明场显微照片。所选 HAGB 的 STEM HAADF 显微照片以及该 GB 的相应 STEM EDS 元素图如 (c) 所示,相关的线扫描轮廓如 (d,e) 所示。
图3 SEM图像显示,在1123 K退火后,B组样品中金属碳化物在晶界处逐渐析出,作为函数时间,范围为1 h至744 h。基于这些图像,M[数学处理错误] C首先在1123 K(b)退火1 h后在GB形成。随着退火时间延长至72 h (c),越来越多的碳化物装饰了GB。然而,新阶段的M23C[数学处理错误]当C-22合金退火168 h(d)时被捕获,并且这个新相随着退火时间长达336 h(e)而不断增长。为溶液化样品(B-0)显示的比例尺也适用于图像(b-f)。
图4 (a) C-22合金的X射线衍射图谱(b)慢速扫描的XRD图谱显示长时间退火后存在金属碳化物。
图5 在1123 K下退火336 h的C-22合金的EBSD分析(样品B-5)。(a)BSE图像和(b)同一区域对应的EBSD晶粒取向图,用黑线突出显示高角度晶界,(c)标示位置的放大BSE图像,如(a)所示,(d)对应的EDS图显示了这两种沉淀物的不同组成,一个富含Mo和W原子,另一种沉淀物显示 Cr 的富集和 Fe 的消耗。
图6 63Ni的放射性示踪剂穿透曲线,在B型动力学状态条件下在一组A组样品中测定(在873 K下扩散退火18小时)[数学处理错误]是穿透深度,实线表示拟合的扩散剖面,是 GB 相关的分支。与散装相关的分支用虚线标记。合金标签在表2中进行了说明。
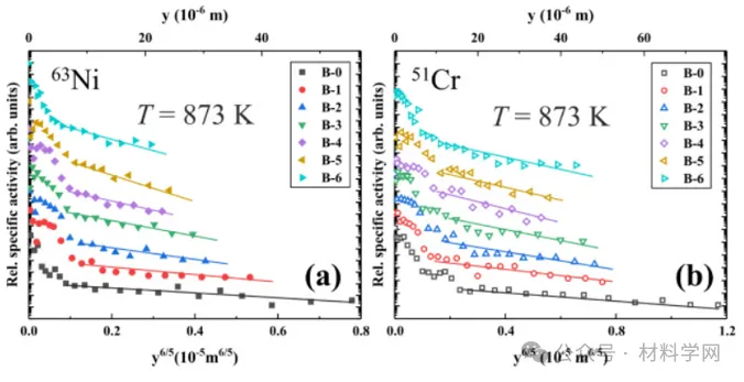
图7 在一组B组样品中,在B型动力学状态条件下测定的放射性示踪剂渗透曲线(在873 K下扩散退火72小时):(a)C-22合金中的63Ni晶界扩散,(b)C-22合金中的51Cr晶界扩散,在1123 K下预退火,具有不同的热暴露时间[数学处理错误]是穿透深度,实线表示拟合的扩散剖面,是 GB 相关的分支。合金标签在表2中进行了说明。
图8 在C型动力学状态(在573 K下扩散退火72小时)条件下测定的具有不同热暴露时间的C-22合金A组(a)组和B组(b)样品中63Ni扩散的放射性示踪剂渗透曲线。[数学处理错误]是穿透深度,实线表示拟合的晶界扩散分支。合金标签在表2中进行了说明。
图9 GB 扩散系数的热暴露时间依赖性 [数学处理误差] C-22合金中的镍。这里和下面,对应于溶液化样品(即样品 A-0/B-0,表示为时间的 GB 扩散率 [数学处理误差])使用横坐标断点示意性地显示。
图10 (a)在1123 K下预退火不同时间的B组试样中析出GBs的估计分数与三重乘积的相对值的热暴露时间依赖性[数学处理误差](B-0)用于 B 组样品中的 63Ni GB 扩散。(b)金属碳化物归一化表面积之间的相关性 [数学处理误差]和确定的三重乘积的相对值 [数学处理误差]和 GB 扩散率 [数学处理误差]在 B 组样本中。
哈氏合金 C–22 的晶界化学性质旨在了解金属碳化物沿 GB 的析出行为。通过应用63Ni和51Cr放射性同位素的示踪扩散测量研究了Ni-Cr-Mo合金GB动力学性质的诱导演化。通过在873 K和1123 K下对溶解的哈氏合金C-22进行退火,可以改变碳化物沿晶界的析出。采用一种新的相关分析显微镜-示踪剂扩散分析,将碳化物的形成与晶界扩散特性相关联。
主要结论可归纳如下:
(1)深入表征解决了金属碳化物的连续析出问题,M[数学处理误差]C 和 M23C[数学处理错误],沿GBs在Ni-Cr-Mo合金中经过中间热处理。在较高中间温度(1123 K)下预退火的样品含有高比例的析出GB,而Mo和W偏析控制着在较低中间温度(873 K)退火后GB的演变。
(2)在 873 K 和 1123 K下预退火的持续时间显着影响哈氏合金 C-22 中的扩散行为。测量的 Ni 和 Cr 的 GB 扩散率揭示了对预退火时间的非线性但单调依赖性。此外,在1123 K的较高温度下预退火降低了GB扩散速率,比在相同退火时间下873 K的预退火率要强得多。
(3)在B型和C型动力学状态下测量的扩散系数的比较证实了镍偏析因子随着GB沉淀的降低,这是由于镍原子从晶界向外扩散引起的。微观结构研究证实了这些观察结果。
(4)结合测得的放射性示踪剂GB扩散行为和对C-22合金中选定GB的深入表征,本研究强烈提出了一种解释,即在1123 K下间歇退火后观察到的GB扩散率的单调下降与非相干金属碳化物与重元素(Cr,W, Mo)在C-22合金中在GBs下形成。
系统分析可以区分偏析和沉淀对GB扩散速率的影响。建立了预退火时间对GB扩散速率影响的模型,并对实验结果进行了满意的预测。
免责声明:本网站所转载的文字、图片与视频资料版权归原创作者所有,如果涉及侵权,请第一时间联系本网删除。
官方微信
《腐蚀与防护网电子期刊》征订启事
- 投稿联系:编辑部
- 电话:010-62316606
- 邮箱:fsfhzy666@163.com
- 腐蚀与防护网官方QQ群:140808414














