导读:激光粉末床融合(LPBF)过程中极快的冷却速度可以产生具有独特微观结构的材料。对于激光粉末床融合 316L不锈钢,具有高位错密度的亚晶胞状组织的形成与优异的室温拉伸性能有关。这种胞状结构也为高温LPBF钢的发展提供了一条新的途径,即胞壁中形成了纳米级强化碳化物。因此,用LPBF制备了HK3ONb钢(Fe-25Cr-20NiNb-C),以评估其高温应用的潜力。优化制备参数可获得密度大于99.7%的材料,胞壁中有纳米富铌沉淀。在800℃下退火5h,析出相主要在胞壁和晶界处形成和生长。在20-900℃时,高位错密度导致的屈服强度是铸造HK3ONb屈服强度的2 - 3倍;800℃时,胞壁中的纳米碳化物显著提高了胞结构的稳定性。
激光粉末融合制备316L钢因其独特的显微组织特点而受到广泛关注。具有特殊意义的是存在具有高位错密度的胞状结构。亚胞状结构中的位错提高了合金的屈服强度,变形孪晶与胞壁中位错的相互作用使合金具有良好的室温塑性。然而,最近的研究表明,LPBF 316L不锈钢在400-700°C的拉伸性能仅略好于锻制的316L。主要原因是t>在200 °C时的变形机制发生了变化,变形的316L也是如此,从低温孪晶到高温时的位错运动。动态应变时效与溶质原子和移动位错之间的强相互作用也被认为在500-700℃降低了316L的延展性。当温度超过600℃时,胞体结构的稳定性受到限制,从T >800-900℃,退火15min到4h,胞体结构从位错密度显著降低到完全消失。在高温下稳定合金组织和提高合金强度的一种有前途的方法是在细胞壁中使沉淀物成核以钉住位错。一些作者已经证明,确实,在LPBF制备的316L中,在胞壁中观察到Mo和Cr的化学偏析和(Si,O)富沉淀,导致化学偏析和纳米沉淀是高强度不锈钢的可行解决方案。
Almangour et al.激光熔化316L粉末或TiC或钢。Almangour et al激光熔化316L粉末,TiC或TiB2粉末,在室温和650℃的压缩屈服强度比参考LPBF 316L钢显著提高。钢的强化归因于晶粒结构的细化,胞结构的细化和/或胞壁中的化学分离。在高温下,由于细小析出相的存在,动态恢复和再结晶的减少也是假定的。Zhong等人在熔化前将316L粉末与纳米Y2O3粉末混合,制备出氧化弥散强化(ODS) 316L钢。他们观察到(Y,Si,O)纳米氧化物的形成,但对LPBF 316L钢拉伸性能的影响有限。设计高温高强度LPBF奥氏体钢的另一个途径是利用胞壁中的高位错密度,使细小碳化物或碳氮化物成核,就像在高级310或347奥氏体钢中观察到的那样。
在这项工作中,美国橡树岭国家实验室材料科学与技术部SebastienDryepondt教授等人,将描述LPBF制造和表征310型铸造HK3ONb钢。选择该合金是因为它在汽车行业用于涡轮增压器管和壳体,浇注性好,C、Cr和Nb浓度高,形成NbC和M23C6析出物,优化制备参数可获得密度大于99.7%的材料,胞壁中有纳米富铌沉淀。在800℃下退火5h,析出相主要在胞壁和晶界处形成和生长。在20-900℃时,高位错密度导致的屈服强度是铸造HK3ONb屈服强度的2 - 3倍;800℃时,胞壁中的纳米碳化物显著提高了胞结构的稳定性。相关研究成果以题“High temperature high strength austenitic steel fabricated by laser powder-bed fusion”发表在金属顶刊Acta materialia上。
论文链接:
https://www.sciencedirect.com/science/article/pii/S1359645422002622
图6比较了LPBF HK3ONb在SS3和标准尺寸试件沿建造方向的拉伸性能,以及与SS3试件垂直于建造方向的拉伸性能。从图6a所示的拉伸曲线实例可以看出,SS3与标准试件的关键区别在于,由于拉伸机的顺应性,SS3曲线的错误弹性部分。这就是为什么这里报告了均匀和总塑性伸长的原因。此外,图6a中的箭头突出显示,在600℃下观察到锯齿状的拉伸曲线,说明发生了动态应变时效。在T < 600℃时,LPBF HK3ONb钢垂直于建造方向的屈服强度和抗拉强度略高于纵向方向的屈服应力和抗拉强度,室温下的屈服应力差异更显著。在T > 700℃时,屈服强度和UTS值基本一致。在两个方向上,总塑性变形随温度的升高而逐渐减小,且在垂直于建造方向的所有温度下,塑性均较高。在20-400℃时,均匀伸长率保持不变,略有下降在600°C,然后大大降低T > 700°C数据生成20°C和700°C与标准样本非常符合上生成的结果小SS3-type狗骨标本除了降低延性在700°C,延性较低标准的标本相比,SS3-type标本之前Dryepondt等报道了LPBF制备的316L的[13]。
图1所示。LPBF HK30Nb使用Renishaw AM250建造,a)立方体和薄壁用于参数优化,b)圆柱棒和矩形棒用于微观结构表征和力学测试
图2所示。a) LPBF HK30Nb立方密度,通过气体比重测量或图像分析与体积热输入,b)和c)立方体截面的例子,用于测量表面分数密度
图3所示。印刷时LPBF HK30Nb杆的逆极图(IPF)图及对应的{001}极图,a)沿构建方向,b)垂直于构建方向
图4所示。当LPBF HK30Nb沿构建方向印刷时,a)蚀刻光学显微图显示熔体池边界处未熔合,b)蚀刻BSE-SEM显微图显示等轴和细长的胞状结构,c) BSE-SEM显微图显示类似的胞状结构,d)相应的EDS Cr图
图5所示。像印制的)BF-STEM形象LPBF HK30Nb杆,b)和c)高放大率BF-STEM细胞结构的图像与相应的EDS元素Nb的地图和Cr和d)更高的放大BF-STEM图像随机晶界与相应的EDS元素c的地图,Nb, O,艾尔和Cr
图6所示。LPBF HK30Nb沿构建方向和垂直于构建方向的拉伸性能,a) 22℃、600℃、700℃拉伸曲线的例子。黑色箭头显示的是600℃时的锯齿形曲线。b)屈服和极限拉伸强度,C)均匀和总伸长率。在室温下,沿施工方向进行了两次试验
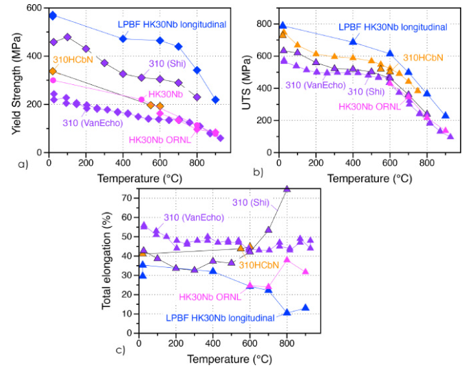
图7所示。LPBF HK30Nb、铸造HK30Nb和变形310型钢在20 ~ 900℃下的拉伸性能比较,a)屈服率和极限拉伸强度,b)塑性变形
图10所示。800c退火5h后的LPBF HK30Nb显微组织。a) BSE-SEM图像,黑色箭头突出晶界处有沉淀。b)和c) BF-STEM图像,d)对应图10c的Ni、Si、Cr和Nb的EDS元素图。
采用激光粉末床熔合法制备了一种先进的奥氏体钢HK3ONb (Fe-25Cr-20Ni-Nb-C)。合金密度优于99.7%,且无裂纹,500nm胞状结构与LPBF 316L类似。一个关键的区别是,在打印条件下,胞壁中存在纳米富铌碳化物。800°C退火5后,形成了各种析出相,主要在胞壁中,这与动力学/热力学计算预测的M23C6和g相析出相的形成相一致。如预期的那样,胞壁中较高的位错密度导致钢在20-900°C时的屈服率和极限抗拉强度显著高于锻铸型310钢。高密度沉淀可能发挥的作用温和合金强度但帮助稳定细胞结构800°c的合金化学改性纳米沉淀成核的胞壁是一种非常有前途的战略发展独特的高强度高温合金。
免责声明:本网站所转载的文字、图片与视频资料版权归原创作者所有,如果涉及侵权,请第一时间联系本网删除。
相关文章
官方微信
《中国腐蚀与防护网电子期刊》征订启事
- 投稿联系:编辑部
- 电话:010-62316606-806
- 邮箱:fsfhzy666@163.com
- 中国腐蚀与防护网官方QQ群:140808414
点击排行
PPT新闻
“海洋金属”——钛合金在舰船的
点击数:7909
腐蚀与“海上丝绸之路”
点击数:6312












