导读:采用激光粉末床熔融(LPBF)打印铝锂合金具有巨大的工业应用潜力。然而,由于锂的添加而导致的高热裂敏感性(HCS),其仍然是制约其快速向此类工业应用发展的关键因素。本文通过三维 (3D) X 射线显微断层扫描技术研究了 LPBF 工艺制造的 2195 Al-Li 合金的热裂行为。结果显示,打印样品中具有 3D 网状结构的大且相互连接的裂缝,从之前的单个轨道中的层状裂缝沿构筑方向逐层延伸。Al 6CuLi3之间的偏析导致Al-Cu共晶沿大角晶界形成晶间液膜。此外,发现2之间的界面层(枝晶内液膜)Cu和相邻的LiAlSi或AlCuMgAg在晶粒内部表现出降低的抗微裂纹性。此外,高的内部残余拉应力为裂纹的萌生和扩展提供了驱动力。
增材制造(AM) 是一种实现复杂形状高性能金属零件的三维 (3D) 近净形成型的方法,推动了基于3D打印的下一次工业革命。与传统的减材制造相反,增材制造采用逐步逐层的材料加工策略。它允许将模型切片从复杂的 3D 设计转换为简单的 2D 几何图形。激光粉末床融合(LPBF) 是一种典型的基于粉末的增材制造方法。Al-Li 合金比传统的 2xxx 或 7xxx 系列铝合金更受欢迎,因为它们具有低密度、高弹性模量、高强度重量比、高损伤容限和耐腐蚀性。此外,可以引入 Cu 和 Mg 以形成 Al-Cu-Li 合金,这有助于优化析出顺序,或者通过与 Li 结合生成强化相,例如 T 1 (Al 2 CuLi) 和 T 2 (Al 6 CuLi 3 ),或通过改变溶解度。然而,添加 Li 和 Cu 也显着增加了热裂敏感性(HCS) 的铝锂合金。
实现这一目标的主要障碍可能是铝锂合金在 LPBF过程中复杂的非平衡凝固过程。在这项工作中表明,Al-Li 合金的最终沉淀顺序直接影响打印样品的热裂行为和机械性能。然而,关于铝锂合金的LPBF加工的研究很少。通过调整工艺参数来优化激光加工性能是制造无裂纹铝锂组件的重要一步。
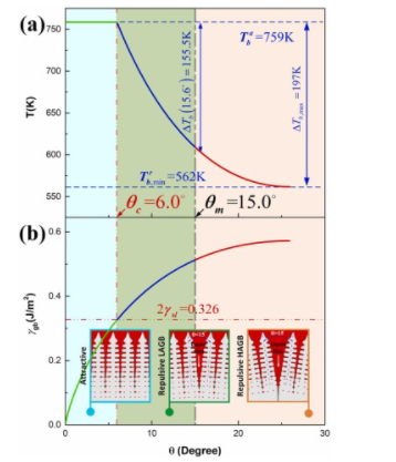
一般来说,热裂的贡献主要来自两个来源:液膜和应力集中。稳定的液膜是必不可少的先决条件,而应力集中是引发裂纹并使其扩展的触发因素,最终导致灾难性故障。需要考虑的最重要因素之一可能是由于锂的添加而导致的动态沉淀顺序的变化,这直接影响了液膜的分布和稳定性。因此,建立微观结构演化、液膜稳定性和残余应力分布之间的关系是揭示热裂机理的关键。在铝锂合金的LPBF过程中。因此,直流温度吨br对于排斥边界,取决于如图 12a 所示的错误取向角θ,其中参考值吨b一种对于 2195 Al-Li 合金,定义为 759 K。最低直流温度吨b,分钟r和最大直流过冷度Δ吨b,最大限度分别计算为 562 K 和 197 K。
哈尔滨工业大学 ZhenglongLei结合实验和理论计算来阐明LPBF 处理的 2195 铝锂合金的热裂机理。全面讨论了裂纹萌生、扩展和停止的动态热裂纹演化过程,对指导工艺优化具有重要意义。在打印铝锂样品中捕获了具有 3D 网状结构的晶间裂纹。网状裂纹由单道层状裂纹逐层扩展。由偏析产生的Al-Cu共晶有助于形成晶间液膜。晶间热裂敏感性高于晶粒内部。在应力集中作用下液膜撕裂是裂纹萌生的主要原因。相关研究成果以题“”
链接:https://www.sciencedirect.com/science/article/pii/S221486042200166X

图 1。粉末形态和尺寸分布:(a)放大 400 倍的SEM图像和(b)粉末尺寸分布。

图 2。LPBF平台示意图:(a)实验程序和(b)棋盘扫描策略。

图 3。模拟中使用的计算域和网格图示:(a) 3D有限元模型(侧视图);(b) 模型的顶视图,显示LPBF过程中的扫描策略。
通过高通量测试获得的参数优化图如图 4所示,其中绘制了所有尝试组合的每个单道扫描的激光功率 (Watts) 与扫描速度 (mm/s) 的关系。如图 5 所示。随着VED的增加,相对密度先增加后趋于稳定。在 129.63 J/mm 3的低 VED 下,许多由粉末熔化不足和液相扩散不足引起的孔缺陷和裂纹如图 5 所示。a,导致 92.73% 的低密度。随着能量输入的增加,孔隙缺陷和裂纹消失。

图 4。单轨扫描工艺参数窗口的优化:(a)-(d)典型单轨样品的表面形貌,(e)从高通量单轨扫描获得的参数优化图。

图 5。致密化分析:(a) - (d) 典型横截面OM 图像和 (e)能量密度对相对密度的影响。

图 6。立方样品的SEM图像:(a) - (c) 逐渐放大的微观结构 BSE 视图。

图 7。XRD 图案:(a) 粉末和印刷样品,(b) 区域 b 的放大图,和 (c) 区域 c 的放大图。

图 8。准晶 T 2相的相鉴定:(a)粗 GB 相呈网络分布的BSE显微照片,(b) EDS 结果,(c) 准晶相的 TEM 形态,(d)具有a典型的五重对称,和(e) HRTEM图像。

图 9。使用 TEM 进行元素分布和相识别:(a) TEM 明场显微照片,(bf) Al、Cu、Si、Ag 和 Mg 的 EDS 映射,(g) (a)、(h、i) 相应SAD的放大图像区域 A 和 B 的图案,(j) δ´ /β´ 的形态,(k) 相应的 δ´ /β´ 的 SAD 图案,以及 (l) 沿<100 >区域轴的标准衍射图案。

图 10。LPBF处理样品的热裂行为:(a)整个试样的典型XRM切片,(b)孔隙和裂纹的宏观分布,(c,d)网状大互连裂纹的3D图像,(e,f)沿GBs的典型初始沿晶表面断裂,和(g)晶粒内的条纹状界面微裂纹。

图 11。EBSD结果分析了 LPBF 处理的铝锂合金纵向截面上的 GBs:(a) IPF 图像,(b) HAGBs 和 LAGBs 的 GB 分布图,(c) 显示应变浓度的KAM图,(d) 晶粒尺寸分布,(e) 沿裂纹扩展路径的方向错误角和 (f) 方向错误角分布。

图 12。取向差角对枝晶聚结温度和GB能量的影响。(a) GB 角与聚结温度的关系,(b) GB 角与 GB 能量的关系。

图 13。Al-Li 和 AlSi10Mg 合金凝固曲线的对比分析:(a) 凝固温度范围,(b) (a) 凝固最后阶段的放大图像。

图 14。P = 200 W 和v = 100 mm/s 时LPBF中温度和应力场的模拟结果:(a) 温度场,(b) 实验验证,(c) P1 处计算的 X 分量热应力,以及 (d) X 分量残余应力分布。

图 15。结晶和元素相互扩散过程的示意图:(a)液相中的α- Al成核,(b)T相成核,(c)MgAgCuSi簇,Ω相,θ´-相枝晶内成核和T 2 -相晶间形核,(d) 离异共晶形成和晶间裂纹萌生,(e) - (h) 突出了涉及最复杂情况与时间的枝晶内沉淀演化顺序。需要注意的是,枝晶内微裂纹的放大图像如(h)所示,其趋向于发生在枝晶内低熔点共晶区。

图 16。裂纹萌生和扩展过程示意图:(a)在拉应力作用下,由于液膜撕裂引起裂纹萌生,(b)裂纹沿 GBs 扩展,(c) 裂纹扩展至 FGZ 或连续裂纹时的裂纹停止裂纹在枝晶生长方向上扩展,以及 (d) 裂纹趋于汇聚在一起,导致具有 3D 网状结构的大互连裂纹。
(1)由于逐层处理策略,在打印的铝锂合金样品中遇到了具有 3D 网状结构的大互连裂纹,这些裂纹从之前的单轨道中的层状裂纹沿构建方向延伸。相互连接的析出物通过晶间裂纹溶解出来,导致裂纹路径更加复杂和规则,与晶粒内部相比,裂纹扩展阻力显着降低。
(2)LPBF 处理的铝锂合金表现出很强的HCS,尤其是在 HAGB 中,这归因于稳定的液膜和某些应力集中的存在。T 2相和α-Al基体之间的界面偏析促进了沿GBs(晶间液膜)形成Al-Cu共晶。θ´ 相与相邻的 T 相或 Ω 相(枝晶内液膜)之间的界面层可能在晶粒内部存在缺陷。
(3)聚结过冷∆吨bHAGBs的(15.6°)(155.5 K)远大于易损区的温度范围(59.7 K),这表明与晶粒内部相比,晶间区域的液膜稳定性和HCS更高。
(4)计算得到的 208.0 MPa 的残余拉伸应力表明打印样品内的内部残余应力水平很高,这构成了裂纹萌生和扩展的驱动力。
(5)通过预热基板和降低扫描速度获得无裂纹样品,有利于降低温度梯度,延长熔池寿命,防止热裂纹。
免责声明:本网站所转载的文字、图片与视频资料版权归原创作者所有,如果涉及侵权,请第一时间联系本网删除。
官方微信
《中国腐蚀与防护网电子期刊》征订启事
- 投稿联系:编辑部
- 电话:010-62316606-806
- 邮箱:fsfhzy666@163.com
- 中国腐蚀与防护网官方QQ群:140808414




