导读:梯度纳米结构(GNS)金属材料通常是通过梯度剧烈塑性变形实现的,其结构单元的大小从表面/边界到中心呈纳米到微米的梯度变化。当然,这种 GNS 也可以反向定位,但目前还没有相关报道。本研究报告采用了一种简便的变形梯度控制方法,通过冷轧在钛-50.3镍形状记忆合金(SMA)线材中实现了反梯度纳米结构(iGNS),即定制截面形状。轧制线材的微观结构具有从边界到中心的宏观反梯度特征--晶粒和马氏体畴的平均尺寸从微米级发展到纳米级。iGNS 会导致应力下的梯度马氏体转变,通过原位弯曲扫描电子显微镜 (SEM) 观察证明,这种转变是有效可逆的。iGNS Ti-50.3Ni SMA 在 173 至 423 K 的宽温度范围内表现出准线性超弹性(SE)。与均匀冷轧相比,整体塑性较低的梯度冷轧进一步提高了 SE 应变(高达 4.8%)和 SE 效率。原位张量同步辐射 X 射线衍射(SXRD)分析揭示了 iGNS SMA 中独特 SE 的基本机制。这为在 SMA 中实现出色的 SE 提供了一种新的设计策略,并揭示了先进的 GNS 金属材料。
梯度纳米结构(GNS)金属材料得到了广泛的研究,其结构单元(如晶粒、孪晶和/或相域)的尺寸从中心区域的微米级向表面/边界的纳米级递减。它通常是通过梯度剧烈塑性变形实现的,是解决材料科学中强度-电导率权衡难题的关键,具有前所未有的机械性能以及出色的抗疲劳性和抗磨损性。当然,这种梯度可以反向定位。具有反梯度纳米结构(iGNS)的材料尚未见报道,但其独特的机械和功能特性将是非常值得探索的。
在此,江南大学张建教授团队报告了一种通过沿轴向冷轧生产 iGNS 块状金属材料的简便方法,并在钛-50.3镍形状记忆合金(SMA)线材中得到了成功验证。与厚度均匀的板材的传统冷轧(CR)不同,具有圆形截面的线材的冷轧技术被称为梯度冷轧(GCR)。与引入梯度塑性变形的 GNS 加工方法(如表面机械磨损处理和表面机械研磨处理等)不同,速度和塑性相对较低的 GCR 可能只会引发部分/可观的动态再结晶,从而在许多韧性金属材料中制造出晶粒尺寸不完整的 iGNS。幸运的是,存在大量具有亚晶粒结构单元(如 SMA 中的铁弹性马氏体、孪晶、亚晶粒等)的体系,它们可以在适度变形的情况下达到纳米尺寸。这就是选择 Ti-Ni SMA 首次展示 iGNS 块状金属材料的主要原因。相关研究成果以题“Inverse gradient nanostructure through gradient cold rolling demonstrated with superelasticity improvement in Ti-50.3Ni shape memory alloy”发表在Journal of Materials Science & Technology上。
链接:https://www.sciencedirect.com/science/article/abs/pii/S1005030223009945
图 1. 均匀冷轧和梯度冷轧的差异示意图。分别为均匀冷轧(a-c)和梯度冷轧(d-f)过程中试样的几何形状、横截面和厚度减少的塑性变形(εTh-)。
图 2. 在 298 K 下对 Ti-50.3Ni GCR30 样品进行的显微结构表征和硬度测试。(a-c)为从(d)中标注的位置拍摄的 SEM-BSE 图像。(d)HV(数据点,左 Y 轴)和相关 εTh-(红色拟合曲线,右 Y 轴)沿截面径向的变化。(e-i)是中心区域两种代表性微观结构的 TEM 显微照片:1)纳米晶粒区域(e,f),用红色虚线勾勒出两个代表性纳米晶粒;2)"粗 "晶粒区域,包括宏 B19'(g,i)和纳米 B19'(h),其中(i)显示位错单元或子晶粒。相应的 SADP 显示在(e-g)的插图中;在(g)中,红圈标出了(h)中 DFI 的 001B19' 点。
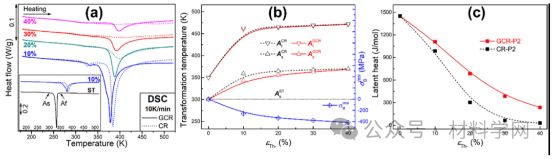
图 3. DSC 结果。(a) Ti-50.3Ni GCR(实线)和 CR(虚线)样品在不同εTh-(10%、20%、30% 和 40%)条件下加热时的 DSC 结果,其中插图显示了 ST、GCR10 和 CR10 样品在更大热流尺度下的 DSC 结果。(b) As 和 Af 随 εTh-的变化。(c) 反向转变潜热随 εTh-的变化。
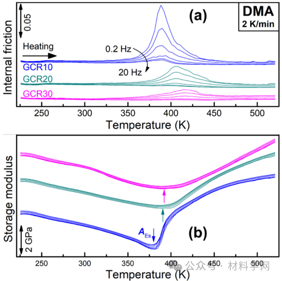
图 4. DMA 结果。(a) GCR10、GCR20 和 GCR30 样品在加热过程中的存储模量和 (b) 内摩擦力曲线。
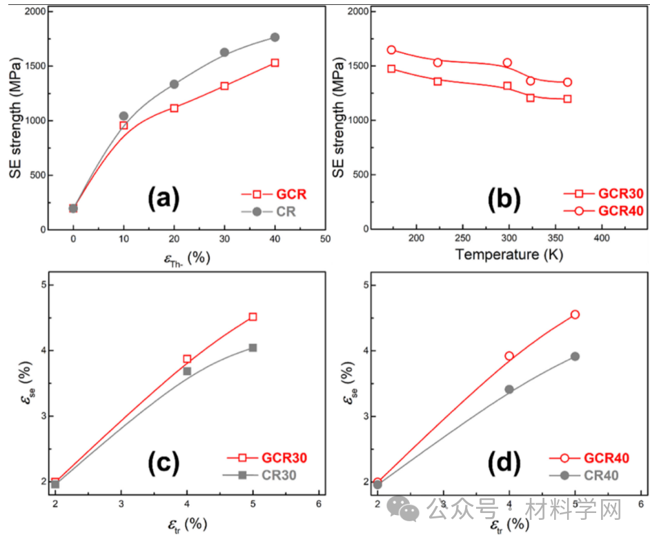
图 5. (a) GCR 样品的拉伸曲线;插图显示了训练前循环(训练应变εtr = 5 %,黑色)和训练后循环(红色)的示意曲线,其中εt 为总应变,εse 为 SE 应变。(b) CR 样品的拉伸曲线。(c) GCR 和 CR 样品的 εse 和 SE 效率(εse/εt, )随 εTh- 的变化。
图 6. GCR 样品在不同温度下经过一个预培训周期后的拉伸结果。(a、b)为 GCR30 和 GCR40 样品在不同温度下的拉伸曲线(εtr = 4 %)。(c、d)为 GCR30 和 GCR40 样品在不同温度下的拉伸曲线(εtr = 5 %)。(e) GCR30 和 GCR40 样品的εse 和 SE 效率(εse/εt)随温度的变化。
图 7. SE 特性。εtr=5%后,SE强度随轧制变形(a)和温度(b)的变化情况。εTh-为 30 %(c)和 40 %(d)的样品的εse随εtr的变化。
图 8. 原位 SEM-ETD 图像。三点弯曲下 GCR30 样品的最大应变位置:(a)加载和(b)卸载状态。(a1-a4)图 S5(a)中红色虚线方框标出的不同位置的四张放大 SEM-ETD 图像:(a1)边界、(a2、a3)中间区域和(a4)中心区域;同样,图 S5(b)中蓝色虚线方框标出的(b1-b4)也是在卸载后。
图 9. 原位 SEM-BSE 图像。三点弯曲下 GCR30 样品的最大应变位置:(a)加载和(b)卸载状态。(a1-a4)图 S7(a)中红色虚线方框标记的不同位置的四张放大 SEM-BSE 图像:(a1)边界,(a2、a3)中间区域和(a4)中心区域;同样,图 S7(b)中蓝色虚线方框标记的(b1-b4)也是在卸载后。
本文报告了一种通过线材沿轴向冷轧生产 iGNS 块状金属材料的简便方法,并在 Ti-50.3Ni SMA 线材中得到了成功验证。本文系统研究了 iGNS Ti-Ni SMA 的微观结构、相变特征和 SE。可以得出以下结论。
(1)轧制线材的微观组织具有从边界到中心的宏观反梯度特征,即 iGNS,晶粒和马氏体畴的平均尺寸从微米级发展到纳米级。
(2)iGNS 会在应力作用下产生 GMT,通过原位弯曲扫描电子显微镜(SEM)观察证明这种现象是有效可逆的。原位张弦 SXRD 分析揭示了 iGNS SMA 中独特 SE 的基本机制。
此外,本文提供的 GCR 加工方法非常简单,因此有可能以较低的成本应用于工业规模。我们的工作进一步揭示了先进的 GNS 金属材料。
免责声明:本网站所转载的文字、图片与视频资料版权归原创作者所有,如果涉及侵权,请第一时间联系本网删除。
官方微信
《腐蚀与防护网电子期刊》征订启事
- 投稿联系:编辑部
- 电话:010-62316606
- 邮箱:fsfhzy666@163.com
- 腐蚀与防护网官方QQ群:140808414













