导读:铝-镁-锌基合金是新开发的高性能时效硬化 5xxx 系列合金。然而,由于在塑性变形过程中存在吕德斯带和波特文-勒-夏特莱(PLC)效应,它们的表面质量较差,而且由于成分颗粒较大,伸长率(EL)也受到了影响。在这项研究中,采用了不同的均质化机制和少量添加 Zr 的方法来控制 Al-7Mg-2Zn-0.15Zr 合金的微观结构演变,从而控制其变形特性。结果表明,400 °C/12小时+465 °C/12小时的两步均匀化处理可充分溶解组成相,消除微观偏析,并实现Al3Zr分散体的精细均匀分布,从而使轧制和退火后的屈服强度(YS)达到201兆帕,极限强度(UTS)达到376兆帕。最重要的是,研究发现通过两步均匀化形成的分散 Al3Zr 有利于阻碍位错运动,从而延长了等待时间,增加了应力振幅,进而减少了 PLC 带的数量。此外,分散的 Al3Zr 诱导的位错网络可进一步抑制活跃位错的运动,从而抑制吕德斯带的形成。这项研究为优化高镁含量合金的机械响应和表面质量提供了一种简单有效的均质机制。
5xxx 系列铝镁基合金具有良好的比强度、刚度、耐腐蚀性和可焊性,已被广泛应用于船舶和汽车等各个领域。作为一种传统的非热处理金属,铝镁基合金通常通过固溶强化和加工硬化获得中等强度,而这两种方法都与镁含量密切相关。据报道,随着镁含量从 5 wt.%、7 wt.% 增加到 10 wt.%,均化二元铝镁合金的屈服强度(YSs)从 77 MPa、147 MPa 增加到 169 MPa。然而,镁含量高于 6% 时,通常会导致晶界形成粗大的 β-Al3Mg2 金属间化合物颗粒,从而降低延展性和抗应力腐蚀开裂性能。为解决这一问题,添加其他合金元素与镁一起分解并抑制β相的析出可能是一种可行的方法。Zhang 等人报道,在添加 Zn 后,球形且连贯的 T-Mg32(Al,Zn)49 可以从铝基体中析出,并在老化过程中产生相当大的沉淀硬化反应。在 5xxx 合金中加入铜和/或银也会出现类似的现象。
与高镁含量有关的另一个问题是,在时效处理前的变形加工过程中(如轧制或挤压),过多的镁原子会带来严重的塑性不稳定现象,导致表面质量下降。两种可能的塑性不稳定现象是 Lüders 带和 Portevin-Le Chatelier(PLC)效应。更具体地说,Lüders 带表现为应力-应变曲线中具有上屈服点和下屈服点的屈服高原,导致试样表面"Lüders线"的形成和传播。这归因于静态应变老化(SSA),即在塑性变形的初始阶段,可移动位错可从镁溶质原子脱销并迅速逸出到试样表面。PLC 效应源于在随后的变形过程中,移动位错在镁原子周围的 Cottrell 气氛作用下周期性地钉住和脱钉,这被定义为动态应变老化(DSA)。不得不提的是,这两种效应都会导致表面质量下降,并在最终产品中残留。因此,必须对其进行抑制。
分散体通常在均匀化过程中形成,被认为对塑性不稳定现象有改善作用。在许多铝合金中已经证实,微量添加一些低成本的过渡元素(如 Zr 和 Sc)可以产生 L12 结构的分散体,从而在不牺牲太多延展性的情况下细化晶粒、提高抗再结晶能力和分散强化效果。最近,Ebenberger 等人报告说,分散体周围的大量位错可实现跨晶界滑移以避免吕德斯带,而不会激活被镁原子钉住的位错源。Bakare 等人进一步发现,在 Al-Mg 合金中微量添加 Sc 和 Zr 可降低 PLC 的应力波动幅度,这主要归功于分散的 L12-Al3(Sc,Zr) 纳米粒子。然而,所研究的这些合金都是模型合金,Sc 元素相对昂贵,很难应用于生产。因此,以低成本的方式在热变形前获得高密度的细小 Al3Zr 分散体具有重要意义。
均匀化是调节 Al3Zr 颗粒析出的有效方法。温度和时间这两个关键因素决定了匀化效果。Tang 等人研究发现,对于 Al-5Mg-3Zn-1Cu 合金,最佳的一步均质处理温度为 470 ℃/24 h。此外,这种高温对 Al3Zr 成核的热力学驱动力较低,导致分散体的数量密度较低。因此,我们采用了两步均匀化机制来进行改进,尤其是在促进 Al3Zr 沉淀方面。在这种情况下,停留在低温范围内的第一步为分散体提供了有利的成核条件;在较高温度下的第二步使其进一步沉淀和生长,最终获得分散的细小 Al3Zr。然而,通过改变匀化制度来操纵 Al3Zr 分散体对 Lüders 带和 PLC 效应的影响尚未得到很好的研究,尤其是对高镁含量合金的影响。
在这项工作中,我们开发了一种高镁含量(7 wt.%)和高镁锌比(3.5)的 Al-Mg-Zn-Zr 合金,并根据不同的机理设计了三种不同的均质机制,如表 1 所示 同时,还研究了不同均质机制对微观结构和机械性能的影响。利用扫描电子显微镜(SEM)、透射电子显微镜(TEM)和差示扫描量热仪(DSC)进行了详细的表征,以揭示均质化过程中共晶相和析出分散体的演变。通过电子反向散射衍射(EBSD)评估了轧制和退火后微观结构相应的抗再结晶性。此外,还仔细分析了塑性不稳定性行为,包括吕德斯带和 PLC 效应,最终确认了优化的均质化机制。相关研究由北京理工大学材料科学与工程学院钱锋副教授和潘士伟博士后合作进行,其相关研究成果过以“Improving microstructure and deformation surface quality of novel Al-Mg-Zn-Zr alloy by varying homogenization regimes”为题,发表在Journal of Materials Science & Technology上。
链接:https://www.sciencedirect.com/science/article/pii/S1005030223009854
图 1 (a、b)铸件 Al-Mg-Zn-Zr 合金不同放大倍数的 SEM-BSE 图像。表 3 显示了(b)中标注的 EDS 点识别结果。(c) (b) 中橙色矩形区域的 EDS 图谱结果,显示了凝固过程中形成的组成相和微偏析。
图 2 显示(a、b)HT400、(c、d)HT465 和(e、f)均质化样品微观结构的 SEM-BSE 图像,(g)不同状态下金属间相面积分数的统计结果。这里的 AC 是指均质样品。
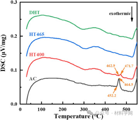
图 3 铸造和均质化 Al-Mg-Zn-Zr 样品的 DSC 加热曲线。
图 4 不同状态下 Al-Mg-Zn-Zr 样品的 EDS 线扫描分析:(a)铸件,(b)DHT(垂直虚线标出金属间相的位置)。
图 5 (a)DHT 样品中 Al3Zr 分散体的 STEM-HAADF 图像;(b)(a)中绿色矩形标记区域的傅立叶滤波图像;(c)EDS 图谱结果,显示了(a)中各元素的分布情况。
本文研究了一种新型 Al-Mg-Zn-Zr 合金在经过三种均匀化处理后金属间相的演变、微偏析和分散体。讨论了不同均质化制度对 PLC 效应和 Lüders 带的影响及相关机理,主要结果如下:
(1). 与 HT400(400 ℃/24 h)和 HT465(465 ℃/24 h)一步均质相比,两步均质(400 ℃/12 h + 465 ℃/12 h,DHT)实现了共晶 T 相充分溶解、微偏析消除和 Al3Zr 分散体优化沉淀的良好结合。
(2). 与传统的一步法相比,两步均质工艺有助于改善合金在热轧过程中的变形能力,从而减少边缘开裂,提高表面质量。
(3). 与其他同类产品相比,退火后的 DHT 试样在塑性变形过程中表现出的 PLC 效应明显较弱,等待时间较长,应力振幅较大,因此 PLC 带的数量较少。这种差异可归因于 DHT 样品中高密度分散的 Al3Zr 有效阻碍了位错运动。
(4). 在 1%塑性变形后,退火的 DHT 样品没有出现 Lüders 高原,表面劣化几乎可以忽略不计,而退火的 HT465 样品则表现出相反的特征。这是因为位错网络均匀地分布在后一种样品的基体中,从而进一步抑制了位错运动,阻止了吕德斯带的形成。
免责声明:本网站所转载的文字、图片与视频资料版权归原创作者所有,如果涉及侵权,请第一时间联系本网删除。
官方微信
《腐蚀与防护网电子期刊》征订启事
- 投稿联系:编辑部
- 电话:010-62316606
- 邮箱:fsfhzy666@163.com
- 腐蚀与防护网官方QQ群:140808414









