航空新材料的发展趋势
"有代表性的陶铝新材料是以铝合金材料为基体,通过原位生成纳米陶瓷..."
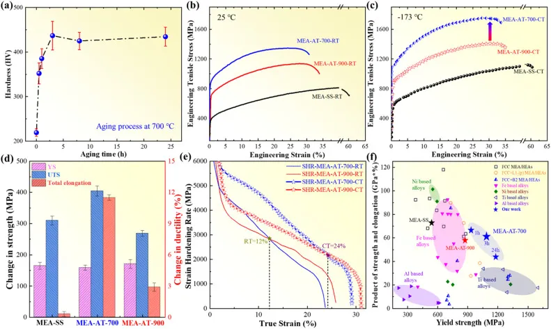
华东理工大学《Acta Materialia》通过共格纳米沉淀物强化设计低温应用高性能材料
"通过共格纳米沉淀物进行沉淀强化成为为低温应用设计高性能材料的..."
航空发动机关重件疲劳试验技术研究进展
"航空发动机被誉为飞机的“心脏”,其设计制造水平体现了一个国家的..."
镁合金在海洋环境中的腐蚀与防护研究
"镁及其合金具有密度小、比强度高等优势,被誉为21世纪的绿色金属结..."
全方位解析点腐蚀与晶间腐蚀的成因、检测方法与防护措施
"点腐蚀和晶间腐蚀是金属腐蚀领域中两种重要的局部腐蚀现象。它们..."
4032铝合金活塞在中高温氨水环境中的腐蚀行为研究
"近年来,氨(NH3)作为内燃机燃料得到广泛关注。 氨燃烧会产生大量的..."
燃气轮机热障涂层劣化的阻抗研究
"热障涂层(TBC)的一些固有特性(如多孔性、较薄的厚度、相当高的电..."
模拟海洋环境Ti2AlNb合金高温腐蚀行为研究
"通过设计高温氧化试验、高温热盐腐蚀试验、高温热盐-水汽协同腐..."
钽钨合金表面高温氧化防护涂层的研究进展
"钽钨合金作为重要的高温结构材料和先进功能材料,在航空航天、国防..."
TA1钛合金阳极氧化膜复合FeOOH后的光电及半导体特性研究
"为了在提高钛合金表面性能的同时,又可赋予其多彩的外观或实现消光..."
光响应多功能自修复涂层的研究进展
"金属腐蚀影响着国民经济的各个领域,对工业制造、环境保护等方面造..."
纳秒激光辐照对 17-4PH 不锈钢电化学腐蚀行为的影响
"为发展可替代化学钝化的 17-4PH 不锈钢激光钝化技术,以点蚀电位为..."
热处理领域标准汇总,推荐收藏
"热处理是指金属材料在固态下,通过加热、保温和冷却的手段,以获得预..."
2024年论文推荐——阳极氧化、微弧氧化类
"TA1钛合金阳极氧化膜复合FeOOH后的光电及半导体特性研究..."
中南大学杨海林教授课题组JMST:从易开裂到无裂纹:增材制造高强Mg2Si改性Al-Mg-Si合金裂纹抑制机制
" 第一作者:文涛通讯作者:杨海林 汪建英通讯单位:中南大学粉末冶金研..."
从铁素体到马氏体,一文解锁铁-碳相图的终极奥秘
"铁碳合金是人类使用最为广泛的金属材料,不同成分的铁碳合金,组织和..."
烧蚀涂料的热防护机理与研发应用
"烧蚀涂料,是为了保证受保护产品在高温环境下不受或降低影响而使用..."
深度破解不锈钢焊接7大谜题
"不锈钢(Stainless Steel)是不锈耐酸钢的简称,耐空气、蒸汽、水等弱..."
国内外管道腐蚀与防护研究进展
"对当前管道输送中存在的腐蚀问题及防护技术的研究进展进行了分析..."
氯离子对钢筋腐蚀机理的影响及其研究进展
"氯化物的侵入是引起混凝土中钢筋腐蚀的最主要原因之一,氯离子能破..."
金属材料高周疲劳失效分析及仿真模拟研究进展
"金属材料高周疲劳失效是机械工程领域中一种极为重要的失效形式, ..."
最新《Nature Materials》:独特的"裂纹自愈合"机制,让二维材料又强又韧!
"在材料科学领域,材料强度与韧性的倒置关系是长期存在的经典难题。..."
大连理工大学刘亚华教授团队:耐用光热超疏水涂层的防/除冰性能及其稳定性研究
"结冰、结霜等作为低温环境下的自然现象,常常会对户外工业、电力、..."
钢铁材料热处理知识汇总
" 钢的热处理是将钢在固态下以适当方式进行加热、保温和冷却,以改..."
航空铝合金腐蚀疲劳机制与控制技术:深度解析与前沿展望
"在航空航天领域,材料的性能与可靠性直接关系到飞行安全与装备寿命..."

























