审核通过!硕博点评估结果,公布
"近期,国务院学位委员会、教育部启动2024年学位授权点专项核验工作..."
最新 | 2024年度国家重点研发计划高校获批名单
"国家重点研发计划重点专项项目是国家为解决重大科学问题、突破关..."
国家科技奖-授奖等级-评定标准(2025新版)
"2025年4月18日,科技部发布了《国家科学技术奖励条例实施细则(修订..."
最新:ESI大学及材料学科排行榜发布!看看你的学校在哪~
"7月10日,科睿唯安公布了最新一期统计数据。ESI收录了12000多种学..."
中科院期刊分区,最新发布!
"7月15日,Nature发表中国科学院期刊分区表团队杨立英研究员对Zhao ..."
重磅来袭!2025国自然会评日程表
"根据最新获取的国自然会评日程安排信息,2025年度国家自然科学基金..."
首届国家杰青-延续资助专家有多牛?7人80后、最年轻39岁,有的参评过院士
"2024年国家自然基金委深化人才资助体制机制改革,开展国家杰青项目..."
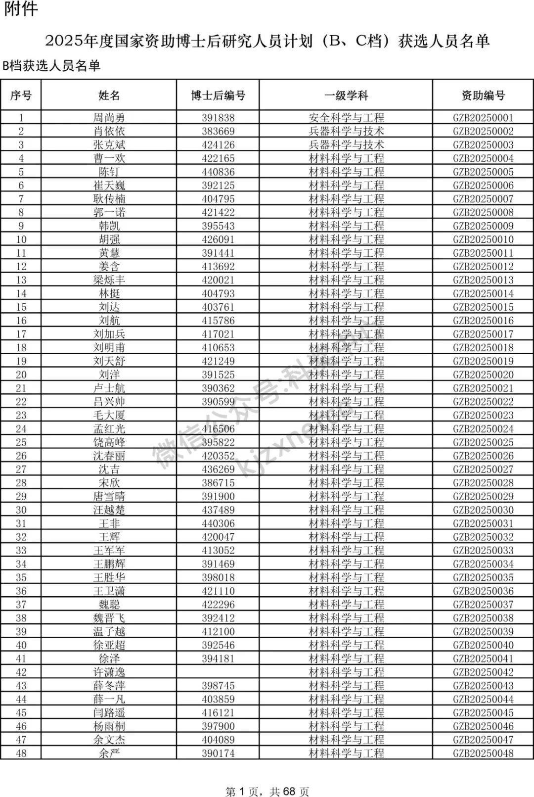
3844名,2025年度国家资助博士后研究人员计划(B、C档)获选结果公布
"根据《全国博士后管委会办公室 中国博士后科学基金会关于开展202..."
评审完成!国家自然科学基金委化学科学部2025年度重点项目
"2025年7月3日,自然科学基金委化学科学部2025年度国家自然科学基金..."
6所“双一流”!新晋ESI全球前千分之一学科
"7月10日,科睿唯安(Clarivate Analytics)公布了2025年7月的ESI最新数..."
关于2025年度国家科技奖的几个重要数据
"2025年度国家科学技术奖已经提报完成,预计7.20日前后完成形式审查..."
打破校史!2025顶刊成果Top高校,出炉
"2025年已然过半,回望上半年,多所高校科研突破获得同行高度认可,研究..."
中国工程院发布一重点专项2025年度第一批项目申报指南
"根据《国家重点研发计划管理暂行办法》(国科发资〔2024〕28号)相关..."
2025年度10个前沿科学问题、10个工程技术难题和10个产业技术问题发布
"第二十七届中国科协年会主论坛7月6日在北京举行。主论坛上,发布了..."
材料类专业,月薪能拿多少?
"高考志愿填报作为人生的关键抉择点,关系着考生未来的职业发展。专..."
3177项!青年项目(A类)368项、延续39项,(B类)583项、一省自科基金受理项目公示
"7月2日,安徽省科技厅网站公示2025年度安徽省自然科学基金受理项目..."
国家基金委:国家重点研发计划8个重点专项2025年度项目申报指南发布
"国家自然科学基金委员会关于发布国家重点研发计划“数学和应用研..."
中国科技界最高荣誉,16人获提名,院士15人
" 国家最高科学技术奖,作为中国科技界的最高荣誉,每年评选不超过两..."
重磅!2025年国家科技奖提名项目下载,超110单位,1300余项
" 2025年度国家科技奖提名公示已基本结束,各部委、各省市、各社会..."
名单公示!中国博士后科学基金面上资助拟资助人员
" 6月25日,中国博士后科学基金会发布关于对2025年度中国博士后科学..."
顶刊不断 高熵合金进展汇总!
" 材料人网产品板块致力于收录有价值的新材料成果。欢迎课题组和..."
11位院士!被提名国家最高科技奖候选人
" 2025年度国家科学技术奖提名工作正在进行中,据各提名单位公示信..."
25年国自然基金项目申请初审结果公布!附:09-25年度初审结果统计
" 4月29日,国家自然科学基金委员会官网发布了《关于公布2025年度国..."
中国博士后科学基金第18批特别资助拟资助人员公示
" 关于对2025年度中国博士后科学基金第18批特别资助拟资助人员名..."
北京市2025年度国家科学技术奖专家提名项目公示
" 根据《国家科学技术奖励工作办公室关于2025年度国家科学技术奖..."

























