9.1宏观形貌分析
9.1.1钢板喷漆试样划叉
碳钢喷漆划叉试样在8个站点,户外暴露试验结果
表9-1 碳钢喷漆划叉试样暴晒2年后宏观形貌分析


图9-1 碳钢喷漆划叉试样暴晒2年后宏观形貌图
碳钢喷漆试样在9个站点,户外暴露试验结果
表9-2 碳钢喷漆试样暴晒2年后宏观形貌分析
表9-3 钢板喷漆试样在大气曝露2a 后外观评价

9.1.2钢板喷漆试样

图9-2 碳钢喷漆试样暴晒2年后宏观形貌图
9.2电化学腐蚀行为
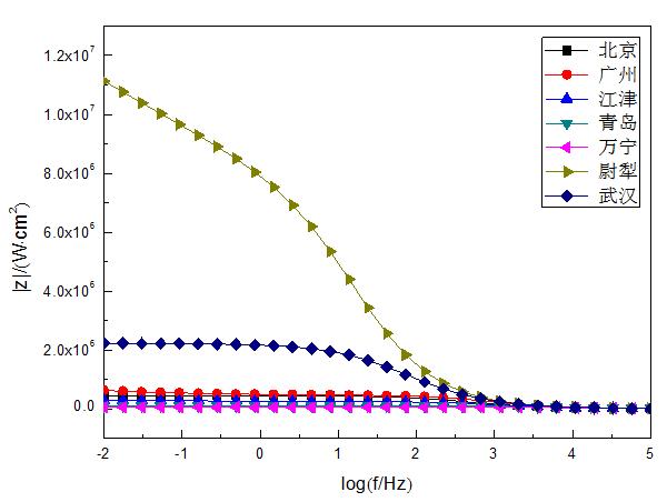
图9-3 各站点暴晒2年后碳钢板喷漆试样在3.5%氯化钠溶液中低频阻抗值大小,由图可知,尉犁、武汉站试样低频阻抗值大小分在107、106 W.cm2级别,喷漆层仍然具有良好保护能力,广州、江津、青岛、沈阳、漠河、北京等站点在低频阻抗值大小在105W.cm2,表面涂层保护性能变差,失区一定保护能力,万宁站低频阻抗值达到5.119×104W.cm2,腐蚀严失区保护能力。图9-3 各站点暴晒2年后碳钢板喷漆试样在3.5%氯化钠溶液中能奎斯特图,由图可知,各站点试样暴晒2年后低频区表现出扁平容抗弧,容抗弧半径大小排序:尉犁>武汉>广州>北京>江津>青岛>万宁。


图9-3 各站点暴晒2年后碳钢板喷漆试样在3.5%氯化钠溶液中低频阻抗值大小
图9-4 各站点暴晒2年后碳钢板喷漆试样在3.5%氯化钠溶液中能奎斯特图
免责声明:本网站所转载的文字、图片与视频资料版权归原创作者所有,如果涉及侵权,请第一时间联系本网删除。
相关文章
无相关信息
官方微信
《中国腐蚀与防护网电子期刊》征订启事
- 投稿联系:编辑部
- 电话:010-62316606-806
- 邮箱:fsfhzy666@163.com
- 中国腐蚀与防护网官方QQ群:140808414
点击排行
PPT新闻
“海洋金属”——钛合金在舰船的
点击数:7130
腐蚀与“海上丝绸之路”
点击数:5741





