8.1宏观形貌分析
划叉试样在9个站点,2户外暴露试验结果
表8-1碳钢板喷塑划叉试样暴晒2年后宏观形貌分析

碳钢喷塑试样在9个站点,户外暴露试验结果


图8-1 碳钢板喷塑划叉试样暴晒2年后宏观形貌图
表8-2碳钢板喷塑试样暴晒2年后宏观形貌分析

表8-3 碳钢板喷塑试样在大气曝露2a 后外观评价



图8-2 碳钢板喷塑试样暴晒2年后宏观形貌图
8.2钢板喷塑电化学腐蚀行为
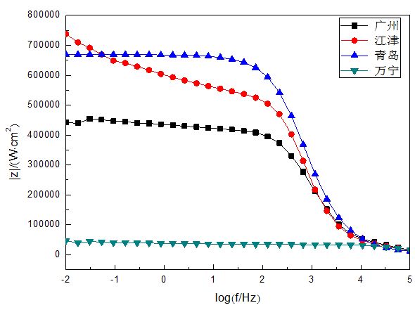
图8-3为钢板喷塑试样在各站暴晒2年后3.5%氯化钠溶液中低频阻抗值图,其中沈阳、尉犁站试样低频阻抗值大小在109W/cm2级别,武汉站试样在108W/cm2,北京站试样107W/cm2,广州、江津、青岛暴晒后试样低频阻抗在105W/cm2级别,喷塑层基本失去保护能力,万宁站试样低频阻抗值最小,腐蚀最严重达到4.722×104 W/cm2涂层失效。
图8-4 钢板喷塑试样在各站暴晒2年后3.5%氯化钠溶液中能奎斯特图,由图可以看出尉犁、沈阳站点试样表现出单一容抗弧说明喷塑层仍然具有较好的保护能力,其它各站点如表现出两个时间常数容抗弧,低频区容抗弧半径大小比较:尉犁>沈阳>武汉 >北京>青岛>江津>广州>漠河>万宁,万宁试样喷塑层腐蚀严重失去保护能力,结果和形貌分析一致,其中漠河试样阻抗数据值和形貌表现不一致,可能实验中存在选择实验区域问题。


图8-3 钢板喷塑试样在各站暴晒2年后3.5%氯化钠溶液中低频阻抗值图

(a)各站点试样试验后能奎斯特

(b)局部放大图(一)

(b)局部放大图(二)
图8-4 钢板喷塑试样在各站暴晒2年后3.5%氯化钠溶液中能奎斯特图
免责声明:本网站所转载的文字、图片与视频资料版权归原创作者所有,如果涉及侵权,请第一时间联系本网删除。
相关文章
无相关信息
官方微信
《中国腐蚀与防护网电子期刊》征订启事
- 投稿联系:编辑部
- 电话:010-62316606-806
- 邮箱:fsfhzy666@163.com
- 中国腐蚀与防护网官方QQ群:140808414
点击排行
PPT新闻
“海洋金属”——钛合金在舰船的
点击数:7130
腐蚀与“海上丝绸之路”
点击数:5741



