1、前言
多主元素合金(MPEAs)和高熵合金(HEAs)的首次成果出现在同一年。在 1970 年代后期,MPEAs 的最初是本科毕业论文,随后于 1998 年又开设了另一个本科项目,最后,在 2002 年的一次会议上发布。在 1996 年,HEA 内容发表了一系列论文,随后又出版了 5篇文章。最后,“高熵合金”和“多主元素合金”术语统一为 MPEAs。
除了这些出版物之外,还有三项研究也值得说一说。第一篇论文报告了相同质量分数的达 7 种金属元素混合物的基本性质(硬度,密度等)。从 11 种不同元素中抽取出 900 多种合金。第二篇论文将 MPEA 概念应用于金属玻璃。论文使用已知金属玻璃合金中化学相似元素的等摩尔取代。这是第一本介绍MPEAs提供的广泛组合空间概念的作品。这也是第一次关于该主题的实验结果的出版论文。第三篇是 2003 年发表的没有给出任何结果,但提供了对 HEA 概念的雄辩和令人回味的介绍。这些概念当时正在出版,并于次年初出版,这对HEA 领域也很重要。
1.1 高熵合金的定义
(1)成分定义
最早的论文将 HEAs 定义为“由等摩尔比的五个或更多元素组成的合金”。
等摩尔浓度的要求是“每个元素的浓度在 5-35.%之间元素。”因此,HEAs 不必是等摩尔的,这显着增加高熵合金的数量。HEA 还可能包含微量元素,以改善 HEA 的属性,扩展 HEA 的数量。这种组合物仅规定了元素浓度,对熵的大小没有限制。
(2)高熵定义
“高熵”是基于熵值的大小定义。因此,定义低等(SSS,理想 <0.69R,其中 SSS 理想值是理想 SS 中的总配置摩尔熵,R 是气体常数),中等(0.69R<SSS,理想 <1.61R)和高等(SSS,理想 >1.61R)熵合金。玻尔兹曼方程给出了一种用理想合金成分,估算 SSS的简单方法。但是它要求原子占据随机晶格位置,这在金属溶液中很少;它还定义合金具有单一的熵值,实际上合金的熵值会随温度变化。为了解决这些问题,基于合金的熵的定义可以由“液体溶液和高温固溶体状态表示,其中热能足够高以使不同元素在结构内具有随机位置”。然而,即使二元金属液体,在熔化温度下通常也没有随机原子位置。因此熵值分类的依据还有一些问题。
1.2 高熵合金的四个核心效应
(1)高熵效应
高熵效应是 HEA 的标志性概念。比较理想的形成熵与纯金属的焓(选定 IM化合物的形成焓)可以得知,在具有 5个或更多元素的近等摩尔合金中,其更有利于形成 SS 相而不是 IM 化合物。这时不考虑特殊组合,仅熵和焓的高低来分析常规的 SS 相和 IM 相。熵值也只考虑生成熵。虽然振动、电子和磁性也影响其熵值,但是最主要的因素仍然是合金的结构。
(2)晶格畸变
严重的晶格畸变是因为高熵相中的不同原子尺寸导致的。每个晶格位置的位移,取决于占据该位置的原子和局部环境中的原子类型。这些畸变比传统合金严重的多。这些变原子位置的不确定性导致合金的形成焓较高。虽然在物理上,这可以降低 X射线衍射峰的强度,增加硬度,降低电导率,降低合金的温度依赖性。但是,仍然缺少系统的实验来定量描述这些性能的变化值是多少。例如,组成原子之间的剪切模量不匹配,也可能有助于硬化;局部键的变化也可能改变电导率、热导率和相关的电子结构。
(3)缓慢的扩散特点
在 HEAs 中,扩散是缓慢的。这可以在纳米晶和非晶合金的形成和其显微结构中观察到。
(4)“鸡尾酒”效应
首次“鸡尾酒”效应是 S. Ranganathan 教授使用的短语。最初的意图是“一种愉快,愉快的混合物”。后来,它意味着一种协同混合物,最终结果是不可预测,且大于各部分的总和。这个短语描述了三种不同的合金类别:大块金属玻璃、超弹性和超塑性金属以及HEAs。这些合金都是多主元素合金。“鸡尾酒”效应表征了无定形大块金属玻璃的结构和功能特性。
与其他“核心效应”不同,“鸡尾酒”效应不是假设,也不需要证明。“鸡尾酒效应”的意思是特殊的材料特性,通常源于意想不到的协同作用。其他材料也可以这样描述,包括物理性质,例如接近零的热膨胀系数或催化响应;功能特性,如热电响应或光电转换、有超高强度,良好的断裂韧性;抗疲劳性或延展性等结构特性。这时材料的性质主要依赖材料成分,微观结构,电子结构和其他特征。“鸡尾酒”效应揭示 MPEAs 的多元素组成和特殊的微观结构,进而产生非线性的意外结果。
2、高熵合金的热力学特征
2.1 固溶体的熵和焓
固溶体(SS)相的吉布斯能表示为 G ss =H ss -T(S ss )。在理想熔液中 H SS =0,但是实际上 H SS 通常含有较小的值。当H SS >0 时,非随机分布的原子呈现相分离的趋势;当 H SS <0 时,表现出化学短程有序(SRO)。

图1(a)700 K时,Co-Ni合金在常规熔液的熵、焓和吉布斯能量图;(b)700 K
时,Ce-Ni合金在亚常规熔液的熵、焓和吉布斯能量图
HEA 合金中最稳定的溶液出现在等摩尔组分中,但对于亚常规溶液来说却不一定。考虑常规(图 1a)和亚常规(图1b)固溶体的代表性热力学函数。图 1a 中最稳定的组合物是等摩尔组合物,但在图 1b 中它是 x B =0.55。HSS 曲线中的不对称程度较小,也更明显。分析表明 H SS 中的最小值,可以出现在 x B =0.50±0.10 范围内。 由于亚常规溶液最常见的,因此最稳定的固体溶液通常可从等摩尔组合物中置换出来。
2.2 金属间相的熵和焓
金属间相(IM)的吉布斯能 G IM =H IM -TS IM ,其中 H IM 和 S IM是 IM 相的摩尔生成焓和熵。SS 和 IM 相的结构不同,因此相同成分和结构的熵值也是不同。图 2 是 SS 和 IM 晶体结构示意图。由图 2 可知,IM 相的熵值很小,每个晶格只有一个元素,但是多主元合金的一个晶格位点,通常是多种元素随机分布,显著增加了熵值。

图2 (a)二元有序晶体示意图;(b)多主元晶体示意图。
3 高熵合金的分类
3.1 高熵合金的主要元素
本文统计了 480 种合金,使用了 37 种元素,如图 3 所示。包括 1 种碱金属(Li);2 种碱土金属(Be,Mg);22 种过渡金 属(Ag,Au,Co,Cr,Cu,Fe,Hf,Mn,Mo,Nb,Ni,Pd,Rh,Ru,Sc,Ta,Ti,V,W,Y,Zn,Zr);2 种基本金属(Al,Sn);6 种镧系元素(Dy,Gd,Lu,Nd,Tb,Tm);3 种类金属(B,Ge,Si)和1 种非金属(C)。Al,Co,Cr,Cu,Fe,Mn,Ni 和 Ti 这几种元素出现在 100 多种合金中,其中四种元素(Co,Cr,Fe,Ni)各在高熵合金中的比例高达70%以上。另外,难熔元素(Mo,Nb,V,Zr)在高熵合金中也属于常见元素。本文中的高熵合金平均含有 5.6 种元素。

图3 多主元合金(MPEAs)中408元素的使用频率图

图4 :7个合金系列中的组成元素图
3.2 高熵合金的体系
本文中统计的 408 种 MPEAs 可分为 7 个合金系列,如图 4 所示。包括 3d过渡金属 CCA,难熔金属 CCA,轻金属CCA,镧系元素(4f)过渡金属 CCA,CCA 黄铜和青铜,贵金属 CCA 和间隙化合物(硼化物,碳化物和氮化物)CCA。
4、高熵合金的显微结构
4.1 相的定义和分类
没有晶体结构的相称为非晶态或玻璃态。尽管原子在无定形结构中是无序的,但在本工作中它并不被称为无序,以避免与无序的结晶固溶体相混淆。具有两个或更多化学上不同的亚晶格,具有化学 LRO 相定义为有序或金属间(IM)或化合物。在这项工作中,LRO 仅涉及子晶格上的化学排序,而不涉及平移和/ 或旋转对称。IM 相由 AxBy 表示,也由 Strukturbericht 表示,Pearson 符号或通用名称(如Laves或sigma)和原型化合物。具有单晶格的合金元素的相描述为无序固溶体(SS)。SS 相中可能存在或不存在 SRO。SS 相通过原子填充方案(FCC,BCC,HCP)或 Strukturbericht 描述更复杂的结构。简单相和复杂相的区别仅限于晶体结构,对性能没有任何影响。
最近,对微观结构的分类方法与上述相同。具有一种或多种无序固溶体的微结构称为 SS 微结构或合金;具有一一种或多种金属间相的微结构称为 IM微结构或合金;具有无序固溶体和金属间相混合物的微观结构称为(SS+IM)微结构或合金。CCA 不限于 SS 相或单相微结构,可以具有任何含量的 SS 或IM 相,或 SS 和 IM 相的混合物。另一类HEAs- 金属玻璃 - 具有亚稳态非晶结构,可通过快速凝固或机械合金化获得。
4.2 相的观察
本文统计了 23 种结晶相。晶体结构主要通过 Strukturbericht 表示法列出。例 如:A1 结 构(Pearson 符 号 cF4,Cu原 型), 列 为 FCC;A2 结 构(Pearson符号 cI2,W 原型),标记为 BCC;A3结构(Pearson 符号 hP2,Mg 原型),以HCP 给出;σ 用于表示 D8b 晶体结构(Pearson 符号 tP30,σ-CrFe 原型)。CCA晶体结构:A5(tI4,β-Sn);A9(hP4,石墨);A12(cI58,α-Mn);B2(cP2,ClCs,AlNi);C14(六角Laves相)(hP12,MgZn 2 ,Fe 2 Ti);C15( 立 方 Laves 相)(cF24,Cu 2 Mg);C16(tI12,Al2Cu);D0 2 (cF16,BiF 3 ,Li 2 MgSn);DO11(oP16,Ni3Si);D0 22 (tI8,Al 3 Ti);D0 24 (hP16,Ni 3 Ti);D2b(tI26,Mn 12 Th,AlFe 3 Zr);D 85 (hR13,Fe 7 W 6 ,Co-Mo 和 Fe-Mo);D8 m (tI32,W 5 Si 3 ,Mo 5 Si 3 );E9 3 (cF96,Fe 3 W 3 C,Fe-Ti);L 10 (tP2,AuCu);L 12(cP4,AuCu3);和 L 21 (Heusler)(cF16,AlCu 2 Mn)。其中,NiTi 2 (cF96)找不到Strukturbericht 表示法。至少一个超晶格峰未确定的相被列为 IM,并且未识别的相被列为 Unk(未知)。该列表包括 6 种无序晶体结构(BCC FCC,HCP,A5,A9,A12)。
到目前为止,最常见的相是无序FCC (在410种合金出现465次)和BCC (在306 种合金中出现 357 次),其次是有序的 IM 相 B2(在 175 种合金中发生 177次),σ(在 60 种合金中出现 60 次)和六角形 Laves 相 C14(在 50 种合金中出现 50 次),如图 5 所示。HCP 相仅出现在 7 种合金中。通过 BCC,FCC 或HCP 相出现的次数,FCC 相在微结构中出现的总次数为 56%。BCC 阶段略不常见(43%),HCP 阶段占 BCC,FCC 或HCP 阶段报告次数的 1%。7 个 HCP 相中有 6 个属于三个不同的合金系列(轻金属,4f 过渡金属和“其他”CCA)。这些合金系列之间没有共同的元素,这表明仍有很多机会发现具有 HCP 晶体结构的新 CCA。

图5: 微观结构的648种相出现次数的柱状图
4.3 相的计算
虽然有许多方法用来计算 SS 相,但是应用最多的还是经验方法。本文分析了经验方法、热力学模型和原子方法对 SS 相的预测。
(1)经验方法
Hume-Rothery 规则计算 SS 相的形成时,需要考虑的因素有原子尺寸(δr)、晶体结构、电负性(δr)、电子浓度(VCE)和化合价,及热力学条件:混合焓(H SS )、混合熵(S SS )和熔化温度(T m )。其计算公式如下:

其中,r i 、χ i 、VEC i 和 T m,i 分别是原子半径、电负性、价电子浓度和元素 i 的熔点;c i 和c j 是原子i和j的原子百分比;r(-)= ∑ c i r i 和 χ(-)= ∑ c i χ i 是平均原子半径和平均电负性;Hij 是在常规二元溶液中等摩尔浓度下元素i和j的混合焓。
预测 HEA 中 SS 或 IM 相的大多数经验方法,使用 δr 和 H SS 或 Ω。原子尺寸不匹配和 H SS 是无定形(AM)合金的众所周知的经验标准。这些参数将 HEA中的 SS 和 AM 相分开,但 IM 相与这两个场重叠,如图 6 所示。后来尝试结合H SS ,S S S 和 T m ,分离 SS 和 IM 相。这项结果略好于 δr 与 H SS 的相关性,但仍然可以看到重叠(图 6b)。能够分离SS 和 AM 相使因为它们属于的无序溶液相。

图6 :分离SS、IM、(SS+IM)和非晶(AM)相区的经验相关性:(a)δr与H SS 的经验相关性;(b)δr与Ω
的经验相关性图。
(2)热力学模型
虽然在不考虑 IM 相的吉布斯能量时,可以通过合金元素数量和浓度建立方程,获得吉布斯能量。这种方法的最大优点是简单。但是通过形成熵和金属间相形成焓之间,建模能够区分单相 SS合金和包含 IM 相的合金。另一种思路是获得多组分的合金相图。目前最可靠的方法是 CALPHAD。通过 CALDPHAD 计算生成的含有 3-6 种元素的 130000 多种不同等摩尔合金的相图,用来分析相结构。分析表明,随着合金成分数N的增加,形成 SS 合金的可能性降低。对于最可靠的计算(f AB =1),在 Tm 和 600℃下,对于任何 f AB 值的计算都发现了相同的趋势。在 CALPHAD 计算中,未统一使用元素,因为某些元素在热力学数据库中比其他元素更多。例如,Al 和 Cr 在每个使用的数据库中;除了一个数据库外,Fe,Mo,Si,Ti 和 Zr 也都在;除了2 个数据库之外,Ni 和 Ni 都在。元素Dy,Gd,Lu,Rh,Ru,Sc,Tm 和 Y 各自仅出现在 1 或 2 个数据库中。这种偏差在 f AB =1 数据集中被放大,因为热力学描述通常仅适用于更常用的元素。图7 中的 CALPHAD 数据集,显示了使用每种元素的计算合金的百分比。实验合金中元素用量的偏差更大。由于这些偏差,计算的 BCC,FCC 和 HCP 相,对于两个公开的 CALPHAD 是不同的。计算的 BCC,FCC 和 HCP 相的频率,作为计算数据集中 BCC,FCC 和 HCP 相总百分比,对于f AB 是BCC(65%),FCC(29%)和 HCP(6%)=1 并且对于 f AB = 全部是BCC(62%),FCC(12%)和HCP(26%)。

图7:在实验和两个CALPHAD中元素的使用频率图
5、高熵合金的性能
5.1 高熵合金的功能性
在 AlxCoCrFeNi(0 ≤ x ≤ 2) 和Al x CrFe 1.5 MnNi 0.5 Moy(x=0.3,0.5,y=0,0.1)合金体系中,在 1273 K 下,对合金退火、水淬和铸态条件下的导热系数进行研究。在 293-573K 时,合金的热导率和热扩散率值随着温度的增加而增加,分别在 10-27Wm -1 K -1 和 2.8-3.5mm -2 s -1的范围内。这些值低于纯金属,但接近合金钢和超镍合金。这现象与纯金属相反,与不锈钢相似。单相 FCC 合金(低Al 含量)几乎是单相 BCC 合金(高 Al含量)的导热率一半。在单相区域内,热导率随着 Al 含量的增加而降低。这些行为是因为晶格畸变和高温下晶格热膨胀导致。
Al x CoCrFeNi 合金的电阻率通常为100-200μΩ-cm(0 ≤ x ≤ 2)。这些合金中的电阻率随温度呈线性增加。合金结构随着 Al 含量的提高,从 FCC 转变为 BCC+FCC,再转到 BCC,导致电阻率的呈现非线性变化。实验数据表明 BCC 和 FCC 相的电阻率符合线性关系 ρBCC=107+1.43(C A1 );ρFCC=107+5.50(C A1 );其中 cAl 是各相中的Al 浓度,单位为%;如图 8 所示。在相同组成下,FCC 相的电阻率高于 BCC 相的电阻率,两相场中的电阻率遵循 BCC和 FCC 相的体积分数的线性平均值。

图8 在400K时,Al x CoCrFeNi合金的电阻率随Al含量的
变化图
几乎所有的磁性合金(CCAs)都含有 Co,Fe 和 Ni。CoFeNi 是一种具有FCC 晶体结构的单相 SS 合金,具有铁磁性,饱和磁化强度(M s )为 151emu/g。纯 Fe 的 M s 为 218emu/g,纯 Ni 的 M s 为55emu/g。FCC 结构转化为 FCC+BCC/B2, 在 AlxCoFeNi 中 添 加 Al, 或 在CoFeNiSi x 中 添 加 到 FCC+ 硅 化 物。 所有合金都是铁磁性的,当 Al 从 x=0 增加到 1 时,M s 减小到 102emu/g,或者当 Si 从 x=0 增加到 0.75 时,M s 减小到80.5emu/g。磁致伸缩效应非常小,这对于确保材料在外部磁场中不受应力是必要的。在(AlSi)x CoFeNi (0≤x≤0.8)中加入 Al 和 Si,x=0.2 时的性能得到Ms,矫顽力,电阻率,屈服强度和无断裂应变,使合金成为有吸引力的软磁材料。在均质 Al x CoCrFeNi(0 ≤ x ≤ 2)合金中向 CoFeNi 中添加 Al 和 Cr,在 5K 和 50K 时具有铁磁性,但由于合金相的变化,在 300K 时具有顺磁性。

图9: 在FCC不锈钢合金和CoCrFeMn 0.5 Ni合金中,Ni(DNi)的扩散系数:(a)反向温度函数的扩散系数,
(b)反向通过主体合金熔点的扩散系数归一化图。
5.2 高熵合金的扩散性能
缓慢扩散是高熵合金(HEA)“核心效应”之一。AlxCoCrCuFeNi 合金在铸态时形成纳米晶,退火后纳米晶体发生缓慢扩散。但是,Al 0.5 CoCrCuFeNi 合金炉冷后,却没有低温相的形成。目前,AlMoNbSiTaTiVZr 是 比 TaN/TiN( 或 Ru/TaN)更好的扩散阻挡层。这是两种扩散假说。在这些研究中,HEA 都含有 1 至5 种难熔金属,每种金属的 Tm>2100K,热暴露时,处于相当低的温度和短时间(<1 分钟至 5 小时),极大地限制了质量传递。使用普通合金作为基准,在接近熔化温度(T m )85%的温度下,纳米尺寸的沉淀物在超合金中能够存在数十或数百小时。虽然上面引用的间接观察结果与慢动力学一致,但与传统合金相比,HEAs 合金中的扩散速度更慢。
复杂性使扩散测量变得困难。实验获得的 MPEAs 扩散数据,如图 9 所示。在相同温度下,CoCrFeMn 0.5 Ni 中的扩散系数高于传统合金。例如,Ni(DNi)在 CoCrFeMn 0.5 Ni,Fe-15Cr-20Ni 不 锈钢中的扩散系数和纯铁在 1173 K 分别为 14.3×10 -18 m 2 /s,6.56×10 -18 m 2 /s和 3.12×10 -18 m 2 /s,在 1323K(最高测量温度)为 5.74×10 -16 m 2 /s,分别为2.15×10 -16 m 2 /s 和 1.2×10 -16 m 2 /s。到873K,其中扩散通常被认为是阻止的,这些材料的 DNi 分别为 2.0×10 -22 m 2 /s,1.7×10 -22 m 2 /s 和 0.49×10 -22 m 2 /s。表明,在相同 873-1323K 温度下,CoCrFeMn 0.5 Ni 合金中的 DNi 高于奥氏体钢和纯金属。
5.3 高熵合金的机械性能
机械性能很大程度上取决于合金的成分和微观结构。原子的弹性相互作用,影响合金中的错位行为。合金的相和相体积分数,决定合金的性能。在固定的组成和相含量下,也可以通过改变相的尺寸,形状和分布,改善性能。缺陷也在机械性能中起主要作用。原子级缺陷主要有空位,位错和晶界,微观或宏观缺陷包括孔隙,化学偏析,裂缝和残余应力。
3d 过渡金属 MPEAs 的硬度研究发现,Al x CoCrCuFeNi 合金从单相 FCC 结构转变为 BCC+FCC,再转变为单相 BCC,其硬度随 Al 含量的增加而增加。在铸态和均质条件下,AlxCoCrFeNi合金表现出类似的性能。单相 FCC 合金的维氏硬度在 100-200Hv 之间,单相 BCC 合金的硬度 >600Hv,BCC+FCC 合金的硬度值随着 BCC 含量的增加。透射电子显微镜(TEM)研究表明,Al x CoCrCuFeNi 合金为有 BCC 和 B2 相的混合结构。BCC 和B2相之间的高密度界面,有助于提高含Al合金的硬度。据报道,硬度随着 BCC+B2 相体积分数的增加而增加。
3d 过渡金属 MPEAs 的压缩试验研究发现,几乎所有的合金都包括 CoCrFeNi,且添加少量的 Mo,Nd,Si,V,Y,Zn 和Zr。压缩样品通常通过铸造或粉末冶金获得。其微观结构显示出树枝状,即使在退火后,合金仍具有 1-2%的孔隙率。BCC和 FCC 相的微观结构占主导地位。在 BCC 和 / 或 B2 相的合金中,压缩屈服强度较高,在 1300-2400 MPa 的压力范围内,可高达 3300MPa。但是,延展性通常低于 10%,这是结构材料的实际最小值。

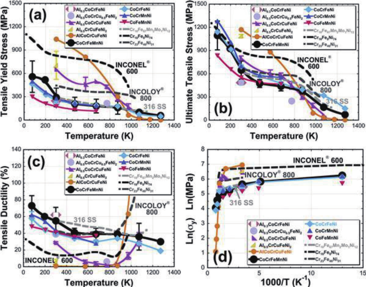
图10 :3d过渡金属CCA的拉伸数据:(a)屈服强度σy,(b)极限强度σut,
(c)拉伸延展性ε。(d)ln(σy)对1000/T说明延伸率图。
3d 过 渡 金 属 MPEAs 的 拉 伸 试 验 研 究 发 现, 常 见 的CoCrFeMnNi 合金的晶粒尺寸和应变率是影响拉伸性能的主要因素。CoCrFeMnNi 合金微观结构是单相 FCC 固溶体,富含 Cr或富 Mn 的第二相颗粒,通常含有退火孪晶。随着温度的升高,屈服强度(σ y )和最终(σ uts )强度都会持续下降,如图 10所示。在 77-300 K 时,强度下降最快,在 300-800 K 时,强度下降缓慢。在高温度下,这种现象效果更明显。在 900 K 时,拉伸延展性 ε 7 随着温度降低增加。

图11:(a)压缩实验中,屈服强度σy的温度依赖性图,(b)难混溶CCA的合
金密度ρ与σy的标准化图。
难混溶合金 CCA 的研究没有 MPEAs 那么成熟,如图 11 所示。难混溶CCA合金研究的目的是延长结构金属的使用温度。图 11 显示了普通超合金的 σ y ,以实现延长结构金属的使用温度。Haynes ? 230 ? (Co 4 Cr 27 Fe 3 Mo 1 Ni 60 W 5 ) 是用于静电板件的 SS合金,INCONEL ? 718((Al,Nb,Ti) 5 Co 1 Cr 21 Fe 19 Mo 2 Ni 52 )是沉淀强化合金,广泛用于燃气轮机行业的旋转盘,MAR-M247 (Al 12 Co 10 Cr 10 Hf 1 Ni 62 Ta 1 Ti 1 W 3 )用于涡轮叶片。但是难混溶 CCA长处于压缩态,而超合金处于拉伸状态,所以难混溶 CCA 和超合金之间的仅强度直接比较是不合适的。此外,高温合金满足高温应用的广泛要求,包括拉伸延展性,断裂韧性,抗氧化性,蠕变强度,疲劳强度和可加工性。这些其他特性尚未在耐火 CCA 中得到证实,却是未来的研究方向。
6、高熵合金的设计和应用
6.1 高熵合金的结构应用
3d 过渡金属 CCA 与商用不锈钢及镍合金之间的存在成分重叠。尽管许多商业合金不满足 HEA 定义,但它们仍然含有 3种或更多主要元素体现了 CCA 的性能。这支持了传统合金是3d 过渡金属 MPEAs 的结论,为 3d 过渡金属 CCA 的应用提供了新视角。通过了解 CCA 金属与商业合金性能的差距,可以找到机会改变这类合金性能。FCC 单相固溶体(SS)相场的范围比奥氏体镍和不锈钢更宽。MPEA 还可以从商业合金中学习,关于非等摩尔组合物的影响,例如:微量合金添加剂如 C,N,Si,Mo,Nb和Ta对微观结构和性能的影响,以及变形加工的作用。
难熔金属 CCA 可以设计为超镍合金。目前,虽然难熔金属CCA 的应用研究较少,但是以实现轻载静电部件,例如:热保护板、涡轮叶片和盘。难熔金属 CCA 具有操作应力和温度的潜能。但是没有可拉伸性能验证,且还有许多性能需要测试。
6.2 高熵合金的功能性应用
MPEA 合金的功能性研究远少于结构性能。目前 CCA 的功能性应用,包括 MPEA 氮化物和硼化物或者贵金属 CCA。MPEA 氮化物和硼化物的应用方向是耐磨涂层和扩展阻挡层。目前,关于耐磨涂层和扩展阻挡层的性能研究还不完善。MPEA 合金的合成元素具有独特热、电和磁学性能,这为开发其功能性应用提供了基础。贵金属 CCA 的催化性能,例如:催化转换器、水分解、燃料电池阳极催化、牙科合金和记忆存储设备等。
7、结论与展望
高熵合金的种类繁多,其显微结构和性能具有很高的研究价值。高熵效应是调控其显微组织和结构的主要因素。
目前这一领域的关注点已经从 3d 过渡金属 MPEAs,发展到了 7 个合金系列。每个合金系列包括 6-7 元素,已经产生了超过 408 种新合金。在这 408 种合金中含有648 种不同的微观结构。研究发现,合金元素数量和加工条件对其显微结构有显著的影响。不同结构的高熵合金,呈现出不同的结构性能和功能特点。虽然高熵合金的性能研究,仍处于起步阶段,但是其独特的结构和广泛合金种类,为其结构化应用和功能化应用提供了基础。
文 献 链 接:A critical review of high entropy alloysand related concepts(Acta Materialia, 2018, DOI:10.1016/j.actamat.2016.08.081)。
免责声明:本网站所转载的文字、图片与视频资料版权归原创作者所有,如果涉及侵权,请第一时间联系本网删除。
官方微信
《中国腐蚀与防护网电子期刊》征订启事
- 投稿联系:编辑部
- 电话:010-62313558-806
- 邮箱:fsfhzy666@163.com
- 中国腐蚀与防护网官方QQ群:140808414



