生物腐蚀
01 生物腐蚀的危害
生物腐蚀是由于生物活动性导致非生命物质的性质发生不利于人类需求的变化,即非生命物质的内在价值受到削弱。很多生物(包括微生物、昆虫、啮齿类、藻类、鸟类等)都能引起生物腐蚀。生物腐蚀过程可分为两类:机械的,包括非营养物质被昆虫和啮齿动物啮蚀和穿孔;化学的,包括同化效应和异化效应,同化效应是指生物将物质中的基质作为营养源使用,异化效应则指生物产生代谢产物(如酸性物质),引起腐蚀、霉变、变色、变质或使之不能使用。
腐蚀对管道工业(尤其是油气田)产生了重大影响,尽管管道受到保护,但仍可能发生事故,而腐蚀是造成事故的主要原因之一,其中由微生物所引起的生物腐蚀由细菌群落引起的腐蚀现象,被认为是一个世界性问题,其每年给管道行业(主要是石油和天然气)造成数上百亿美元的损失,用于更换腐蚀结构和保持其可靠性和完整性。根据相关研究的数据,近20%的腐蚀是由微生物引起的,微生物在海水、油田和冷却水环境中无处不在且多样化。
生物腐蚀正在成为一项热门研究,它的特点是不同微生物(主要是厌氧微生物)参与电化学反应并分泌蛋白质和代谢物,这些过程具有腐蚀作用,并且是多重反应的复杂过程,其中细菌可以利用电子来驱动它们的代谢途径。除此之外,高度腐蚀的金属表面可以充当半导体并有助于改善电子路径用于将电子转移给细菌。石油和天然气管道腐蚀环境中分离出的微生物群落主要是硫酸盐还原菌 (Sulfate reducingbacteria ,简称 SRB) ,它们被确定为生物腐蚀的主要致病微生物。产乙酸菌也被报道为 SRB 在生物腐蚀过程中产生各种有机酸(乙酸、丁酸和甲酸)的支持细菌。SRB 的腐蚀性主要是由于 H2S 气体的产生,它被认为是一种高腐蚀性气体,它与金属表面发生反应,并通过生成腐蚀性产物(例如 FeS)来产生凹坑、孔洞和微裂纹。
02 生物腐蚀的防治
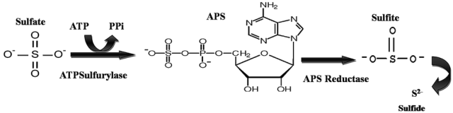
APS 还原酶(腺苷 5'-磷酸盐)通常存在于有硫酸盐还原菌的腐蚀系统中,其将硫酸盐转化为硫化物,而硫化物与氢反应并形成腐蚀性气体(硫化氢)。相关从业人员和研究学者使用 Quickcheck? SRB 试剂盒对腐蚀系统中的 APS 还原酶进行检测,用于 SRB 的检测和定量,该试剂盒使用 SRB 菌株的显微镜计数细胞进行校准,结果验证的平均值±标准偏差小于平均值的 5%。
使用 Quickcheck TM SRB 试剂盒对生物样品进行 APS 还原酶测定,反应时间为 15 分钟,该测定表明样品中存在 APS 还原酶,而 APS 还原酶的抗体,对所有 SRB 菌株都很常见。酶的检测可以通过显色区域来检查,深蓝色表示样品中存在较多的 SRB 菌株。
SRB是生物腐蚀及环境污染的主要因素之一,生物腐蚀最初是在地下金属管道中发现的,以后又相继发现在矿井、油井、海港、湖泊、航空燃油箱及循环冷却水系统中的金属构件的腐蚀都与微生物的活动有关。据估计,美国生产油井发生的腐蚀,77%以上是由SRB引起的,造成的经济损失约为120-130亿美元/年。国内由微生物腐蚀引发的事故屡见不鲜,例如循环冷却水系统、海洋平台设备、加热器设备、饮用水系统、输油管道等均会发生微生物腐蚀现象。对SRB进行准确高效的检测,是微生物腐蚀防治中至关重要的一环。
同时,不同细菌群落通过释放代谢副产物加剧腐蚀过程,而管道环境为细菌的代谢生长提供了有利的环境。它含有碳氢化合物和水分,是细菌繁殖的适宜条件;它们表现出与其他细菌群落的协同行为,它们相互支撑,加速了生物腐蚀的过程。
QuickChek SRB 检测系统是一种采用酶免疫方法进行快速检测SRB的设备。该检测采用了高纯度的抗体来探测APS。本检测试剂盒相比于细胞捕捉技术具有很多优势,比如快速,准确等,可在15-20min内得到一个半定量的结果。
QuickChek套装中的化学破胞试剂可穿透固体颗粒并释放出APS还原酶,从而达到对生物膜、沉积物、铁锈、污泥或泥浆中的SRB进行定量检测的目的。QuickChek SRB支持固体检测的特性尤其适合用于储油罐底部SRB含量检测。
QuickChek SRB测试套装由Modern Water与全球大型石油天然气公司合作研发。测试方法基于免疫测定法(Immunoassay)原理,符合ASTM D8243-19标准。
这一方法对SRB具有专一性,且测试速度快,操作简便,结果准确可靠,无需任何特殊仪器设备,抗干扰能力强,适合现场使用。目前QuickChek SRB测试产品已在中石油、中石化、中海油、中国电建等龙头企业的海内外项目中被广泛应用。
相关数据引用自The Royal Society of Chemistry
Potential of dynamic bacterial communities in the bio-corrosion process: a proof study with surface morphology of metal coupons
@Priyanka Basera, Meeta Lavania and Banwari Lal
免责声明:本网站所转载的文字、图片与视频资料版权归原创作者所有,如果涉及侵权,请第一时间联系本网删除。
官方微信
《腐蚀与防护网电子期刊》征订启事
- 投稿联系:编辑部
- 电话:010-62316606
- 邮箱:fsfhzy666@163.com
- 腐蚀与防护网官方QQ群:140808414










