材料的疲劳强度对各种外在因素和内在因素都极为敏感,外在因素包括零件的形状和尺寸、表面光洁度及使用条件等,内在因素包括材料本身的成分、组织状态、纯净度和残余应力等。这些因素的细微变化,均会造成材料疲劳性能的波动甚至大幅度变化。
各种因素对疲劳强度的影响是疲劳研究的重要方面,这种研究将为零件合理的结构设计,以及正确选择材料和合理制订各种冷热加工工艺提供依据,以保证零件具有高的疲劳性能。
01 应力集中的影响
常规所讲的疲劳强度,都是用精心加工的光滑试样测得的,然而,实际机械零件都不可避免地存在着不同形式的缺口,如台阶、键槽、螺纹和油孔等。这些缺口的存在造成应力集中,使缺口根部的最大实际应力远大于零件所承受的名义应力,零件的疲劳破坏往往从这里开始。
理论应力集中系数Kt :在理想的弹性条件下,由弹性理论求得的,缺口根部的最大实际应力与名义应力的比值。
有效应力集中系数(或疲劳应力集中系数)Kf:光滑试样的疲劳极限σ-1与缺口试样疲劳极限σ-1n的比值。
有效应力集中系数不仅受构件尺寸和形状的影响,而且受材料的物理性质、加工、热处理等多种因素的影响。
有效应力集中系数随着缺口尖锐程度的增加而增加,但通常小于理论应力集中系数。
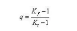
疲劳缺口敏感度系数q:疲劳缺口敏感度系数表示材料对疲劳缺口的敏感程度,由下式计算:

q的数据范围是0~1,q值越小,表征材料对缺口越不敏感。试验表明,q并非纯粹是材料常数,它仍然和缺口尺寸有关,只有当缺口半径大于一定值后,q值才基本与缺口无关,而且对于不同材料或处理状态,此半径值也不同。
02 尺寸因素的影响
由于材料本身组织的不均匀性以及内部缺陷的存在,尺寸增加造成材料破坏概率的增加,从而降低材料的疲劳极限。尺寸效应的存在,是把试验室小试样测得的疲劳数据运用于大尺寸实际零件中的一个重要问题,由于不可能把实际尺寸的零件上存在的应力集中、应力梯度等完全相似地在小试样上再现出来,从而造成试验室结果与某些具体零件疲劳破坏之间的互相脱节。
03 表面加工状态的影响
机加工的表面总存在着高低不平的加工痕迹,这些痕迹就相当于微小缺口,在材料表面造成应力集中,从而降低材料的疲劳强度。试验表明,对于钢和铝合金,粗糙的加工(粗车)与纵向精抛光相比,疲劳极限要降低10%~20%甚至更多。材料的强度越高,则对表面光洁度越敏感。
04 加载经历的影响
实际上没有任何零件是在绝对恒定的应力幅条件下工作,材料实际工作中的超载和次载都会对材料的疲劳极限产生影响,试验表明,材料普遍存在着超载损伤和次载锻炼现象。
所谓超载损伤是指材料在高于疲劳极限的载荷下运行达到一定周次后,将造成材料疲劳极限的下降。超载越高,造成损伤所需的周次越短,如图1所示。

图1 过载损伤界
事实上,在一定条件下,少量次数的超载不仅不会对材料造成损伤,由于形变强化、裂纹尖端钝化以及残余压应力的作用,还会对材料造成强化,从而提高材料的疲劳极限。因此,应对超载损伤的概念进行一些补充和修正。
所谓次载锻炼是指材料在低于疲劳极限但高于某一限值的应力水平下运行一定周次后,造成材料疲劳极限升高的现象。次载锻炼的效果和材料本身的性能有关,塑性好的材料,一般来说锻炼周期要长些,锻炼应力要高些方能见效。
05 化学成分的影响
材料的疲劳强度与抗拉强度在一定条件下存在着较密切的关系,因此,在一定条件下凡能提高抗拉强度的合金元素,均可提高材料的疲劳强度。比较而言,碳是影响材料强度的最主要因素。而一些在钢中形成夹杂物的杂质元素则对疲劳强度产生不利影响。
06 热处理和显微组织的影响
不同的热处理状态会得到不同的显微组织,因此,热处理对疲劳强度的影响,实质上就是显微组织的影响。同一成份的材料,由于热处理不同,虽然可以得到相同的静强度,但由于组织的不同,疲劳强度可在相当大的范围内变化。
在相同的强度水平时,片状珠光体的疲劳强度明显要低于粒状珠光体。同是粒状珠光体,其渗碳体颗粒越细小,则疲劳强度越高。
显微组织对材料疲劳性能的影响,除了和各种组织本身的机械性能特性有关外,还和晶粒度以及复合组织中组织的分布特征有关。细化晶粒可提高材料的疲劳强度。
07 夹杂物的影响
夹杂物本身或由它而产生的孔洞相当于微小缺口,在交变载荷作用下将产生应力集中和应变集中,成为疲劳断裂的裂纹源,对材料的疲劳性能造成不良影响。夹杂物对疲劳强度的影响不仅取决于夹杂物的种类、性质、形状、大小、数量和分布,而且还取决于材料的强度水平以及外加应力水平及状态等因素。
不同类型的夹杂物其机械和物理性能不同,和母材性能之间的差异不同,对疲劳性能的影响也不同。一般说来,易变形的塑性夹杂物(如硫化物)对钢的疲劳性能影响较小,而脆性夹杂物(如氧化物、硅酸盐等)则有较大的危害。
比基体膨胀系数大的夹杂物(如硫化物)因在基体中产生压应力而影响小,而比基体膨胀系数小的夹杂物(如氧化铝等)因在基体中产生拉应力而影响大。
夹杂物与母材结合的紧密程度也会影响疲劳强度。硫化物易于变形,和母材结合紧密,而氧化物易于脱离母材,造成应力集中。由此可知,从夹杂物的类型来说,硫化物的影响较小,而氧化物、氮化物和硅酸盐等则是危害较大的。
不同加载条件下,夹杂物对材料疲劳性能的影响也不同,在高载条件下,无论有没有夹杂物的存在,外加载荷均足以使材料产生塑性流变,夹杂物的影响较小,而在材料的疲劳极限应力范围,夹杂物的存在造成局部应变集中成为塑性变形的控制因素,从而强烈地影响材料的疲劳强度。也就是说,夹杂物的存在主要是影响材料的疲劳极限,对高应力条件下的疲劳强度影响不明显。
材料的纯净度是由熔炼工艺过程决定的,因此,采用净化冶炼方法(如真空熔炼、真空除气和电渣重熔等)均可有效降低钢中的杂质含量,改善材料的疲劳性能。
08 表面性能变化及残余应力的影响
表面状态的影响除前已提及的表面光洁度外,还包括表层机械性能的变化及残余应力对疲劳强度的影响。表层机械性能的变化可以是表层化学成分和组织不同所引起,也可以是表层因形变强化而引起。
渗碳、氮化和碳氮共渗等表面热处理除了可以增加零件的耐磨性之外,还是提高零件疲劳强度,特别是提高耐腐蚀疲劳和咬蚀的一种有效手段。
表面化学热处理对疲劳强度的影响主要取决于加载方式、渗层中的碳氮浓度、表面硬度及梯度、表面硬度与心部硬度之比、层深以及表面处理所形成的残余压应力的大小和分布等因素。大量试验表明,只要是先加工缺口后经化学热处理,则一般说来缺口越尖锐,疲劳强度的提高也越多。
不同的加载方式下,表面处理对疲劳性能的影响也不同。轴向加载时,由于不存在应力沿层深分布不均的现象,表层和层下的应力相同。在这种情况下,表面处理只能改善表面层的疲劳性能,由于心部材料未得到强化,因而疲劳强度的提高有限。在弯曲和扭转条件下,应力的分布集中于表层,表面处理形成的残余应力和这种外加应力叠加,使表面实际承受的应力降低,同时,由于表层材料的强化,因而能有效地提高弯曲和扭转条件下的疲劳强度。
和渗碳、氮化以及碳氮共渗等化学热处理相反,如果零件在热处理过程中脱碳,使表层的强度降低,则会使材料的疲劳强度大幅度降低。同样,表面镀层(如镀Cr、Ni等)由于镀层中的裂纹造成的缺口效应、镀层在基体金属中引起的残余拉应力以及电镀过程中氢气的浸入导到氢脆等原因,使疲劳强度降低。
采用感应淬火、表面火焰淬火以及低淬透性钢的薄壳淬火,均可获得一定深度的表面硬度化层,并在表层形成有利的残余压应力,因而也是提高零件疲劳强度的有效方法。
表面滚压和喷丸等处理,由于能在试样表面形成一定深度的形变硬化层,同时使表面产生残余压应力,因而也是提高疲劳强度的有效途径。
免责声明:本网站所转载的文字、图片与视频资料版权归原创作者所有,如果涉及侵权,请第一时间联系本网删除。
官方微信
《中国腐蚀与防护网电子期刊》征订启事
- 投稿联系:编辑部
- 电话:010-62316606-806
- 邮箱:fsfhzy666@163.com
- 中国腐蚀与防护网官方QQ群:140808414



