热分析简介
热分析的本质是温度分析。热分析技术是在程序温度(指等速升温、等速降温、恒温或步级升温等)控制下测量物质的物理性质随温度变化,用于研究物质在某一特定温度时所发生的热学、力学、声学、光学、电学、磁学等物理参数的变化,即P = f(T)。按一定规律设计温度变化,即程序控制温度:T = (t),故其性质既是温度的函数也是时间的函数:P =f (T, t)。
材料热分析意义:
在表征材料的热性能、物理性能、机械性能以及稳定性等方面有着广泛的应用,对于材料的研究开发和生产中的质量控制都具有很重要的实际意义。
热分析简史回顾

常用热分析方法解读
根据国际热分析协会(ICTA)的归纳和分类,目前的热分析方法共分为九类十七种,常用的热分析方法包括热重分析法(TG)、差示扫描量热法(DSC)、静态热机械分析法(TMA)、动态热机械分析(DMTA)、动态介电分析(DETA)等,它们分别是测量物质重量、热量、尺寸、模量和柔量、介电常数等参数对温度的函数。

(1) 热重分析(TG)
热重法(TG)是在程序温度控制下测量试样的质量随温度或时间变化的一种技术。

应用范围:(1)主要研究材料在惰性气体中、空气中、氧气中的热稳定性、热分解作用和氧化降解等化学变化;(2)研究涉及质量变化的所有物理过程,如测定水分、挥发物和残渣、吸附、吸收和解吸、气化速度和气化热、升华速度和升华热、有填料的聚合物或共混物的组成等。
原理详解:样品重量分数w对温度T或时间t作图得热重曲线(TG曲线):w = f (T or t),因多为线性升温,T与t只差一个常数。TG曲线对温度或时间的一阶导数dw/dT 或 dw/dt 称微分热重曲线(DTG曲线)。

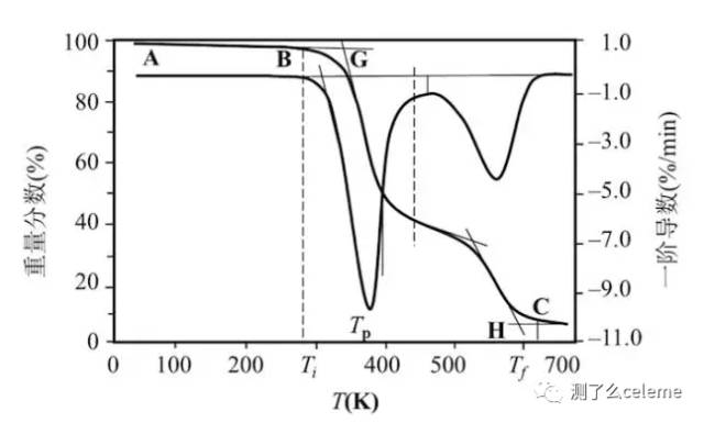
图1 热重曲线(TG曲线)
图2中,B点Ti处的累积重量变化达到热天平检测下限,称为反应起始温度;C点Tf处已检测不出重量的变化,称为反应终了温度;Ti或Tf亦可用外推法确定,分为G点H点;亦可取失重达到某一预定值(5%、10%等)时的温度作为Ti。Tp表示最大失重速率温度,对应DTG曲线的峰顶温度。峰的面积与试样的重量变化成正比。

图2 微分热重曲线(DTG曲线)
实战应用:热重法因其快速简便,已经成为研究聚合物热变化过程的重要手段。例如图3中聚四氟乙烯与缩醛共聚物的共混物的TG曲线可以被用来分析共混物的组分,从图1中可以发现:在N2中加热,300~350℃缩醛组分分解(约80%),聚四氟乙烯在550℃开始分解(约20%)。

图3 聚四氟乙烯与缩醛共聚物的共混物的TG曲线
影响因素:
(a)升温速度:升温速度越快,温度滞后越大,Ti及Tf越高,反应温度区间也越宽。建议高分子试样为10 K/min,无机、金属试样为10~20K/min;
(b)样品的粒度和用量:样品的粒度不宜太大、装填的紧密程度适中为好。同批试验样品,每一样品的粒度和装填紧密程度要一致;
(c)气氛:常见的气氛有空气、O2、N2、He、H2、CO2 、Cl2和水蒸气等。气氛不同反应机理的不同。气氛与样品发生反应,则TG曲线形状受到影响;
(d)试样皿材质以及形状。
(2) 静态热机械分析 (TMA)
热机械分析,是指在程序温度下和非震动载荷作用下,测量物质的形变与温度时间等函数关系的一种技术,主要测量物质的膨胀系数和相转变温度等参数。

应用范围:静态热机械分析仪主要用于对无机材料、金属材料、复合材料及高分子材料(塑料、橡胶等)的热膨胀系数;玻璃化转变温度;熔点;软化点;负荷热变形温度;蠕变等进行测试。
实战应用:
(a)纤维、薄膜的研究:可测定其伸长、收缩性能和模量及相应的温度,应力-应变分析、冷冻和加热情况下应力的分析;
(b)复合材料的表征,除纤维用TMA研究外,复合材料的增强,树脂的玻璃化转变温度Tg、凝胶时间和流动性、热膨胀系数等性质,还有多层复合材料尺寸的稳定性、高温稳定性等都可以用TMA快速测定并研究;
(c)涂料的研究:可了解涂料与基体是否匹配及匹配的温度范围等;
(d)橡胶的研究:可了解橡胶在苛刻的使用环境中是否仍有弹性及尺寸是否稳定等。
影响因素:
(a)升温速率:升温速率过快样品温度分布不均匀
(b)样品热历史
(c)样品缺陷:气孔、填料分布不均、开裂等
(d)探头施加的压力大小:一般推荐0.001~0.1N
(e)样品发生化学变化
(f)外界振动
(g)校准:探头、温度、压力、炉子常数等校准
(h)气氛
(i)样品形状,上下表面是否平行应用
(3) 差示扫描量热法(DSC)

原理:差示扫描量热法(DSC)是在程序控制温度下,测量输给物质和参比物的功率差与温度关系的一种技术。差示扫描量热法有补偿式和热流式两种。试样和参比物容器下装有两组补偿加热丝,当试样在加热过程中由于热效应与参比物之间出现温差ΔT时,通过差热放大电路和差动热量补偿放大器,使流入补偿电热丝的电流发生变化,当试样吸热时,补偿放大器使试样一边的电流立即增大;反之,当试样放热时则使参比物一边的电流增大,直到两边热量平衡,温差ΔT消失为止。
在差示扫描量热中,为使试样和参比物的温差保持为零在单位时间所必需施加的热量与温度的关系曲线为DSC曲线。曲线的纵轴为单位时间所加热量,横轴为温度或时间。曲线的面积正比于热焓的变化。图4中展示了典型的DSC曲线。

图4 典型的DSC曲线
应用范围:(1)材料的固化反应温度和热效应测定,如反应热,反应速率等;(2)物质的热力学和动力学参数的测定,如比热容,转变热等;(3)材料的结晶、熔融温度及其热效应测定;(4)样品的纯度等。
影响因素:
(a)升温速率,实际测试的结果表明,升温速率太高会引起试样内部温度分布不均匀,炉体和试样也会产生热不平衡状态,所以升温速率的影响很复杂。
(b)气氛:不同气体热导性不同,会影响炉壁和试样之间的热阻,而影响出峰的温度和热焓值。
(c)试样用量:不可过多,以免使其内部传热慢、温度梯度大而使峰形扩大和分辨率下降。
(d)试样粒度:粉末粒度不同时,由于传热和扩散的影响,会出现试验结果的差别。
(4) 动态热机械分析(DMA)
动态热机械分析测量粘弹性材料的力学性能与时间、温度或频率的关系。样品受周期性(正弦)变化的机械应力的作用和控制,发生形变。

应用范围:动态热机械分析仪主要用于对无机材料、金属材料、复合材料及高分子材料(塑料、橡胶等)的玻璃化转变温度、负荷热变形温度、蠕变、储能模量(刚性)、损耗模量(阻尼性能)、应力松弛等进行测试。
DMA基本原理:DMA是通过分子运动的状态来表征材料的特性,分子运动和物理状态决定了动态模量(刚度)和阻尼(样品在振动中的损耗的能量),对样品施加一个可变振幅的正弦交变应力时,将产生一个预选振幅的正弦应变,对粘弹性样品的应变会相应滞后一定的相位角δ,如图5所示。

图5 正弦应变
DMA技术把材料粘弹性分为两个模量:一个储存模量E?,E?与试样在每周期中贮存的最大弹性成正比,反映材料粘弹性中的弹性成分,表征材料的刚度;而损耗模量E“,E”与试样在每周期中以热的形式消耗的能量成正比,反映材料粘弹性中的粘性部分,表示材料的阻尼。材料的阻尼也成为内耗,用tanδ表示,材料在每周期中损耗的能量与最大弹性贮能之比,等于材料的损耗模量E“与贮能模量E?。DMA采用升温扫描,由辅助环境温度升温至熔融温度,tanδ展示出一系列的峰,每个峰都会对应一个特定的松弛过程。由DMA可测出相位角tanδ、损耗模量E”与贮能模量E?随温度、频率或时间变化的曲线,不仅给出宽广的温度、频率范围的力学性能,还可以检测材料的玻璃化转变、低温转变和次级松弛过程。例如损耗峰能够代表某种单元运动的转变,图6为聚苯乙烯tg随温度变化的曲线,从图中可以推断峰可能为苯基绕主链的运动;峰可能是存在头头结构所致;峰是苯环绕与主链连接键的运动。

图6 聚苯乙烯tg 随温度变化的曲线
影响因素:升温速率、样品厚度、有无覆金属层,夹具类型等
(5) 动态介电分析(DETA)
动态介电分析是物质在一定频率的交变电场下并受一定受控温度程序加热时,测试物质的介电性能随温度变化的一种技术。
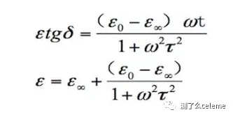
介电分析原理:具有偶极子的电介质,在外电场的作用下,将会随外电场定向排列。偶极子的极化和温度有关并伴随着能量的消耗。一般以介电常数(ε)表示电介质在外电场下的极化程度,而介电损耗(D)则表示在外电场作用下,因极化发热引起的能量损失。偶极子在外电场作用下的定向排列也会随外电场的去除而恢复杂乱状态。偶极子由有规排列回复到无规排列所需的时间称“介电松弛时间T”,按德拜理论:

(其中:η介质粘度,a分子半径,K玻尔兹曼常数,T温度K)。松弛时间和分子的大小、形状以及介质的粘度有关。而

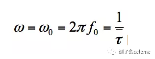
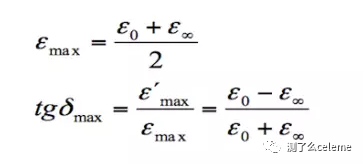
式中tgδ损耗角正切,ε0静电场下介电常数;ε∞光频率下的介电常数。由此见,ε、tgδ都是和松弛时间τ有关的物理量,因此也和分子的结构、大小、介质粘度有关,这就是利用介电性能研究物质分子结构的依据。由(a)(b)两式可以证明,当

时,ε'有极大值,f0称“极化频率”。

即当外电场频率为极化频率时,介电损耗极大。
应用范围:这一技术已被广泛地应用于研究材料电介质的分子结构、聚合程度和聚合物机理等。从应用对象讲,有聚丙烯酸甲酯、聚氯乙烯、聚酰胺、聚酰亚胺、聚苯乙烯、酚醛、环氧、聚蜡等热塑性和热固性树脂。此外还有耐高温树脂中的聚苯枫、聚苯并咪唑,生物化合物中的蛋白质等。其具体应用也包括增强塑料、模压材料、涂料、粘合剂、橡胶甚至玻璃、陶瓷等金属氧化物。在实验室中,DETA可作为粘弹性研究的有力工具,如动态机械性能和热机械性能测试。在工业生产中,它可应用于树脂制造、质量控制、预固化和固化程度控制等。
结语
该文针对热分析技术的概念入手分析,从五个方面:热重分析法、差示扫描量热法、静态热机械法、动态热机械分析、动态介电分析,简要论述了材料测试中几种典型的热分析方法。热分析已有百年的发展历程,随着科学技术的发展,热分析技术展现出新的生机和活力,不断发展进步。
更多关于材料方面、材料腐蚀控制、材料科普等方面的国内外最新动态,我们网站会不断更新。希望大家一直关注中国腐蚀与防护网http://www.ecorr.org
责任编辑:王元
投稿联系:编辑部
电话:010-62313558-806
中国腐蚀与防护网官方 QQ群:140808414
免责声明:本网站所转载的文字、图片与视频资料版权归原创作者所有,如果涉及侵权,请第一时间联系本网删除。
官方微信
《中国腐蚀与防护网电子期刊》征订启事
- 投稿联系:编辑部
- 电话:010-62316606-806
- 邮箱:fsfhzy666@163.com
- 中国腐蚀与防护网官方QQ群:140808414



