说明:本文系统介绍了电化学阻抗谱(EIS)的基本原理、测量方法、数据分析及在锂离子电池等领域的具体应用。通过学习,读者可以掌握EIS如何揭示电化学体系中的界面结构与反应动力学信息,理解Nyquist图和Bode图的含义,学会分析典型阻抗谱特征参数,并了解该技术在材料表征与工业实践中的广泛用途。 PART 01 什么是电化学阻抗谱
电化学阻抗谱(Electrochemical Impedance Spectroscopy, EIS)是一种基于小振幅交流信号扰动的电化学测量方法,通过分析体系对不同频率交流信号的响应特性,揭示电化学系统的界面结构与反应动力学信息。
图1:(a)典型的电化学活性体系的Nyquist图。(b)其对应的等效电路。DOI:10.1002/aenm.201500858
PART 02 电化学阻抗谱的优势
EIS技术的独特优势使其在众多电化学分析方法中脱颖而出。与其他电化学技术相比,EIS技术具有以下优势:
1)利用不会改变电极特性的微弱信号,能在不干扰体系原有状态的情况下进行测量;
2)能够研究腐蚀反应并测量低导电性的腐蚀速率,适用于多种腐蚀体系的分析;
3)在单次测量中可同时确定电双层电容和电荷转移电阻,高效获取多方面电化学参数。
近年来,随着电子测量技术与数据分析方法的进步,EIS已从传统的实验室分析工具发展为在线监测与质量控制的实用技术。在锂离子电池生产中,EIS可用于电芯一致性筛选;在金属材料防护领域,可评估涂层服役寿命;在燃料电池研发中,能优化催化剂层结构设计。
PART 03 电化学阻抗谱的基本原理 阻抗的核心特性
要理解EIS技术,首先需要掌握阻抗这一核心概念。阻抗(Z)是描述交流信号在电化学体系中受到阻碍作用的复数参数,其数学表达式为:
Z=Z'+jZ''
其中:实部(Z'):反映体系消耗电能的电阻特性,包括电解质欧姆电阻、电极材料本体电阻等;虚部(Z''):表征体系储存与释放能量的电抗特性,与双电层电容、扩散电感等储能效应相关;相位角(φ):描述电流与电压信号的相位差(φ=arctan(Z''/Z')),反映体系的阻容特性比例。
在直流条件下,由于没有频率变化,电抗部分消失,阻抗简化为纯电阻,这就是我们在欧姆定律中熟悉的电阻概念。但在交流条件下,随着频率的变化,体系中电容、电感等元件的电抗特性开始显现,使得阻抗呈现出复杂的频率依赖性。
这种复数特性完整呈现了电化学体系的动态响应,就像给体系装上了一台"频谱分析仪",能分辨出不同时间尺度上发生的物理化学过程。
例如,在高频交流信号作用下,电极界面的双电层电容来不及充放电,此时阻抗主要表现为电阻特性;而在低频信号下,电容元件充分参与响应,电抗部分的贡献变得显著。这种频率依赖性正是EIS能够区分不同电化学过程的基础——快速的电荷转移过程通常在高频区显现,而缓慢的扩散过程则在低频区留下特征信号。
图2:充电过程中石墨负极界面的电化学反应示意图及其等效电路图。DOI:10.3969/j.issn.1002-087X.2025.03.001
测量系统构成
EIS测量系统由三个核心部分组成:信号发生器负责产生频率可调的正弦波交流电压(或电流)信号,频率范围通常为1mHz-1MHz;电化学工作站精确测量不同频率下的电流(或电压)响应,并同步记录信号幅值与相位差;数据分析软件则将原始测量数据转化为阻抗谱图,再通过等效电路模型提取特征参数。
由于测量结果需符合欧姆定律的交流形式(Z=V/I),因此过程中需严格控制信号振幅(通常≤10mV)以满足体系线性响应条件,这是保证测量准确性的关键前提。
典型谱图形式
1)Nyquist图
Nyquist图是EIS数据最常用的可视化方式,其以阻抗实部(Z')为横轴、虚部负值(-Z'')为纵轴,每个数据点对应特定频率下的阻抗值。典型锂离子电池的Nyquist图由三个特征区域构成(图3):
图3:锂离子电池半电池的Nyquist图谱。DOI: 10.33961/jecst.2019.00528
高频区(10kHz–1MHz)的半圆形态与固体电解质界面膜(SEI)的电阻特性相关,这是因为该频率段主要反映SEI膜的快速离子迁移行为(SEI)为电极表面薄层,离子穿膜过程的时间常数小),因此半圆直径可直接对应SEI层电阻(RSEI)。
中高频区(1Hz–10kHz)的信号则与电极/电解质界面的电荷转移过程相关,当形成独立半圆时,可直接读取电荷转移电阻(Rct)——这是由于电荷转移的时间常数(活化能垒导致)较SEI膜更大,对应稍低的频率段。
而低频区(1mHz-1Hz)呈现45°斜线特征,这是由于该频率段对应锂离子在电极材料中的缓慢扩散过程,符合Warburg阻抗特性。
2)Bode图
Bode图采用双纵轴形式,以频率对数为横轴,分别展示阻抗模值(|Z|)和相位角(φ)的变化趋势(图4)。由于能够直观反映不同频率区间的主导过程,Bode图在分析复杂体系时比Nyquist图更具优势:
图4:Bode图的典型形态,上半部分为阻抗模值随频率变化曲线,下半部分为相位角随频率变化曲线。DOI:10.21577/1984-6835.20220114
高频段(>1kHz)的相位角接近0°,阻抗模值趋于稳定,这是因为此时体系响应主要受欧姆电阻控制;中频段(1Hz–1kHz)的相位角在-90°至-45°间变化,反映了电荷转移与双电层电容的耦合作用;低频段(<1Hz)的相位角趋近-45°,阻抗模值随频率降低而增大,这一特征则体现了扩散控制的动力学行为。
PART 04 阻抗谱数据分析 等效电路模型构建
等效电路模型(Equivalent Circuit Model, ECM)是解析EIS数据的核心工具,其本质是通过理想电子元件的组合模拟电化学体系的阻抗特性。由于实际体系的物理化学过程复杂多样,模型构建需基于对反应机理的深刻理解。
常见基础元件包括:电阻(R)用于模拟能量耗散过程,如电解质欧姆电阻(Rs)、电荷转移电阻(Rct);电容(C)表征界面电荷储存效应,如双电层电容(Cdl);电感(L)则反映吸附物种脱附或磁场感应效应,这种情况在腐蚀体系中偶见。
由于电极/溶液界面的双电层行为常偏离理想电容,表面粗糙度、吸附不均匀等因素会导致电容响应呈现非理想特性,因此需要用常相位角元件(CPE)描述,其阻抗表达式为ZCPE=1/Q(jω)α。
其中α值(0<α<1)可直接反映界面粗糙程度。对于扩散过程,由于其阻抗值随频率降低而增大,且理想条件下相位角固定为-45°,因此采用Warburg元件(W)模拟。
基础等效电路
Randles电路是最经典的等效电路模型(图5),由于其能够准确描述含扩散行为的电极反应体系的阻抗特性,因此被广泛应用:其中图中的R2为溶液电阻;R1为电荷转移电阻;C1为双电层电容;W为Warburg阻抗,表征离子扩散过程。
图5:经典的等效电路模型与Nyquist图谱。DOI:10.33961/jecst.2019.00528
PART 05 电化学阻抗谱数据处理 数据拟合与有效性验证
阻抗谱拟合通过最小二乘法实现模型计算值与实验数据的匹配,常用专业软件包括ZView、EC-Lab、Thales等。其中ZView支持自定义等效电路,并提供多种拟合算法与统计分析功能;EC-Lab因集成电化学测试与数据分析模块,更适合动态过程监测;Thales则具备批量数据处理能力,适用于高通量样品筛选。
由于拟合结果的可靠性直接影响分析结论,通常通过χ2值(要求<10-3)与残差分布评估拟合质量,优质结果需满足残差随机分布且无明显趋势性偏差。同时,EIS分析建立在体系具有因果性、线性、稳定性和有限性的假设基础上,实验中的噪声、体系漂移或非线性行为可能导致拟合失真,因此需要通过Kramers-Kronig(K-K)关系校验数据有效性。
该方法通过阻抗实部与虚部的积分变换关系判断数据是否符合EIS基本假设,只有通过K-K校验的数据,其等效电路拟合结果才被认为可靠。
弛豫时间分布分析
弛豫时间分布(Distribution of Relaxation Times, DRT)是一种新兴的分析技术,由于无需预设等效电路即可识别体系中存在的多个物理过程及其贡献,因此在复杂体系分析中展现出独特优势(图6)。
其原理是通过数学变换将阻抗谱分解为一系列具有不同弛豫时间(时间常数)的过程的叠加,能够有效识别重叠的时间常数(如SEI电阻与电荷转移电阻),并直接关联峰值位置与反应速率(弛豫时间τ=RC)。
图6:DRT分析结果示意图,横轴为弛豫时间,纵轴为归一化强度。DOI:10.1016/j.electacta.2023.141879
由于DRT分析对噪声较为敏感,实际应用中需结合正则化算法抑制干扰,目前该技术已成为电池老化机理与腐蚀类型识别的有效工具。
PART 06 锂离子电池领域的应用 动力学性能
评估电荷转移电阻(Rct)是衡量电极反应速率的关键参数,由于其值可通过Nyquist图中高频半圆直径直接获取,因此成为评估锂离子在电极/电解质界面嵌入/脱出反应速度的重要指标,而这一速度正是决定电池倍率性能(快充快放能力)的核心因素。
在NCM正极材料研究中,随着Ni含量从50%提升至70%,EIS测试显示NCM523的Rct为127.42Ω,而NCM721的Rct降至79.45Ω,这一结果表明在Co含量固定的体系中,增加Ni含量有利于提高电子电导率,从而降低界面电荷转移阻力,最终提升倍率性能。
此外,由于Rct对温度极其敏感,低温环境(≤20℃)会导致其值急剧增大3-5倍,这也成为限制电池低温性能的主要瓶颈,这一结论通过传输线模型(TLM)研究多孔电极电阻随温度的变化得到了进一步证实。
图7:不同Ni含量NCM正极的EIS Nyquist谱图,展示电荷转移电阻的差异。DOI:10.1002/aenm.201701788
扩散系数计算
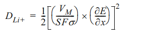
Warburg阻抗(W)与锂离子在电极材料本体中的扩散速率密切相关,由于其低频特征可通过公式转化为扩散系数,因此成为研究离子传输动力学的重要手段:
以上是锂离子扩散系数的电化学计算公式,其中VM是活性物质的摩尔体积;F是法拉第常数;S是电极/电解液接触面积;∂E/∂X是充放电曲线的斜率(电位随锂嵌入量的变化率)σ为Warburg系数(对应复阻抗谱低频区Z'=σω-1/2的斜线斜率)。
图8展示了不同电位下的Warburg阻抗对比(对应锂离子嵌入量变化,即SOC差异),可见低频区斜线斜率随电位显著改变:高电位(如2.6V)下斜线更陡(σ更小,扩散系数更大),低电位(如2.2V)下斜线平缓(σ更大,扩散系数更小),直观反映锂离子扩散行为的电位依赖性。
在实际应用中,通过结合EIS和恒电位间歇滴定技术(PITT),能够精确测量LiCoO₂薄膜的化学扩散系数,并观察到在Li0.5CoO₂附近存在有序/无序相变边界。
需要注意的是,由于两相共存区域的扩散行为复杂,该计算方法通常只适用于固溶体(单相)区域,对于复杂体系需结合恒电流间歇滴定技术(GITT)或循环伏安法(CV)进行综合分析。
图8:不同电位下的低频复阻抗谱。DOI:10.1149/1.2129668
PART 01 Nyquist图解析实战 关键参数识别
Nyquist图的特征参数提取是EIS分析的基础技能,由于这些参数直接对应体系的物理化学特性,因此准确识别至关重要:
体电阻(Rb)表现为高频区与实轴交点,其值反映电解液、电极材料本体、集流体的总欧姆电阻,在锂离子电池中正常Rb值通常<5Ω。电荷转移电阻(Rct)对应中高频区半圆直径,由于其值越小表明反应动力学越快,因此优质正极材料的Rct应<100Ω。Warburg系数(σ)可通过低频区45°斜线的斜率计算,由于其与扩散系数成反比,σ值越小意味着扩散能力越强,因此在计算扩散系数时需精确测量。
图9:锂离子电池半电池的Nyquist图谱。DOI:10.33961/jecst.2019.00528
典型图谱对比
不同状态下的Nyquist图呈现显著差异,由于这些差异直接反映体系的物理化学变化,因此可通过图谱特征快速判断状态:
新鲜电池的高频半圆清晰,低频区45°斜线完整,表明此时SEI层稳定,电荷转移与扩散过程均正常;
老化电池的Rct与RSEI均增大(如图中不同存储天数的阻抗谱演变),低频区可能出现感抗弧,这一特征与SEI层增厚、锂枝晶生长等导致的体系不稳定相关;
过充电池的高频区则会出现电感特征,这是由于电极材料结构破坏引发的异常电磁感应效应。
图10:不同状态电池的Nyquist对比图。DOI:10.1002/aenm.201903311
通过系统分析Nyquist图的形态变化,能够快速判断电池健康状态与失效模式,为故障诊断提供直接依据。
免责声明:本网站所转载的文字、图片与视频资料版权归原创作者所有,如果涉及侵权,请第一时间联系本网删除。
官方微信
《腐蚀与防护网电子期刊》征订启事
- 投稿联系:编辑部
- 电话:010-62316606
- 邮箱:fsfhzy666@163.com
- 腐蚀与防护网官方QQ群:140808414














