关于印发 2025年度国家资助博士后研究人员计划(B、C档)获选结果的通知
博管办〔2025〕90号
各省、自治区、直辖市及新疆生产建设兵团人力资源社会保障厅(局),上海市人才工作局,中共海南省委人才发展局,国务院有关部委、直属机构人事(干部)部门,有关博士后设站单位:
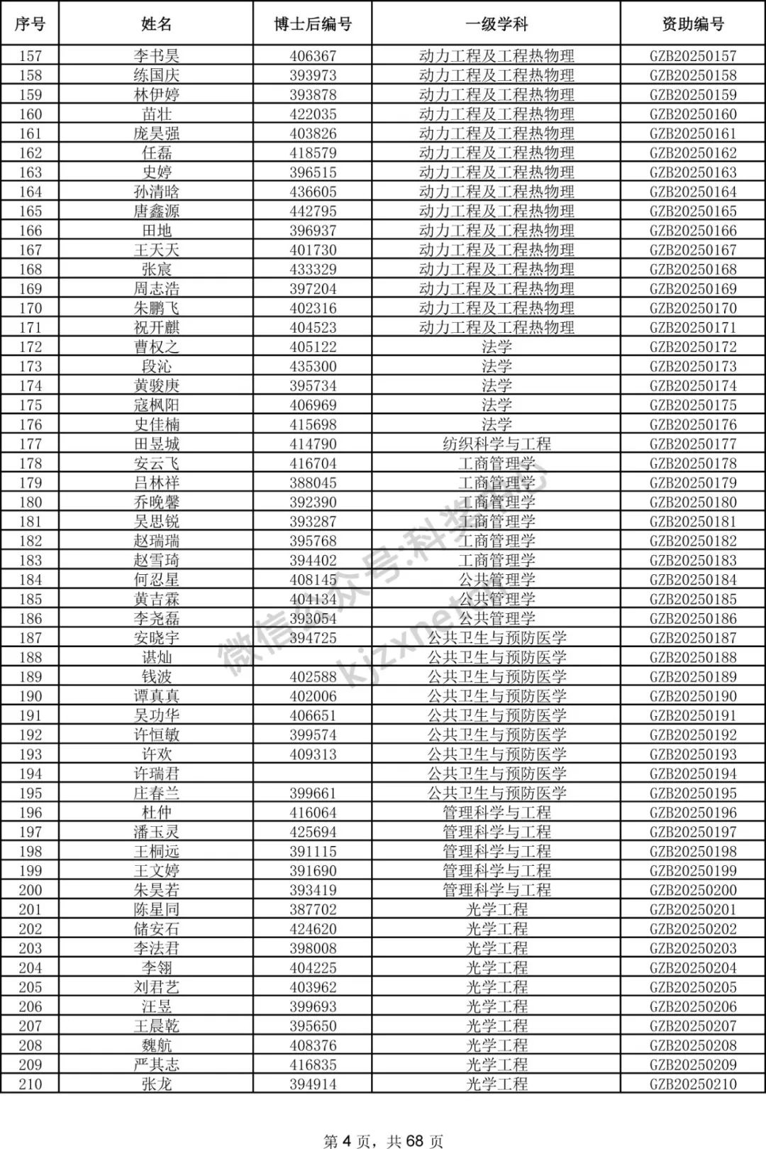
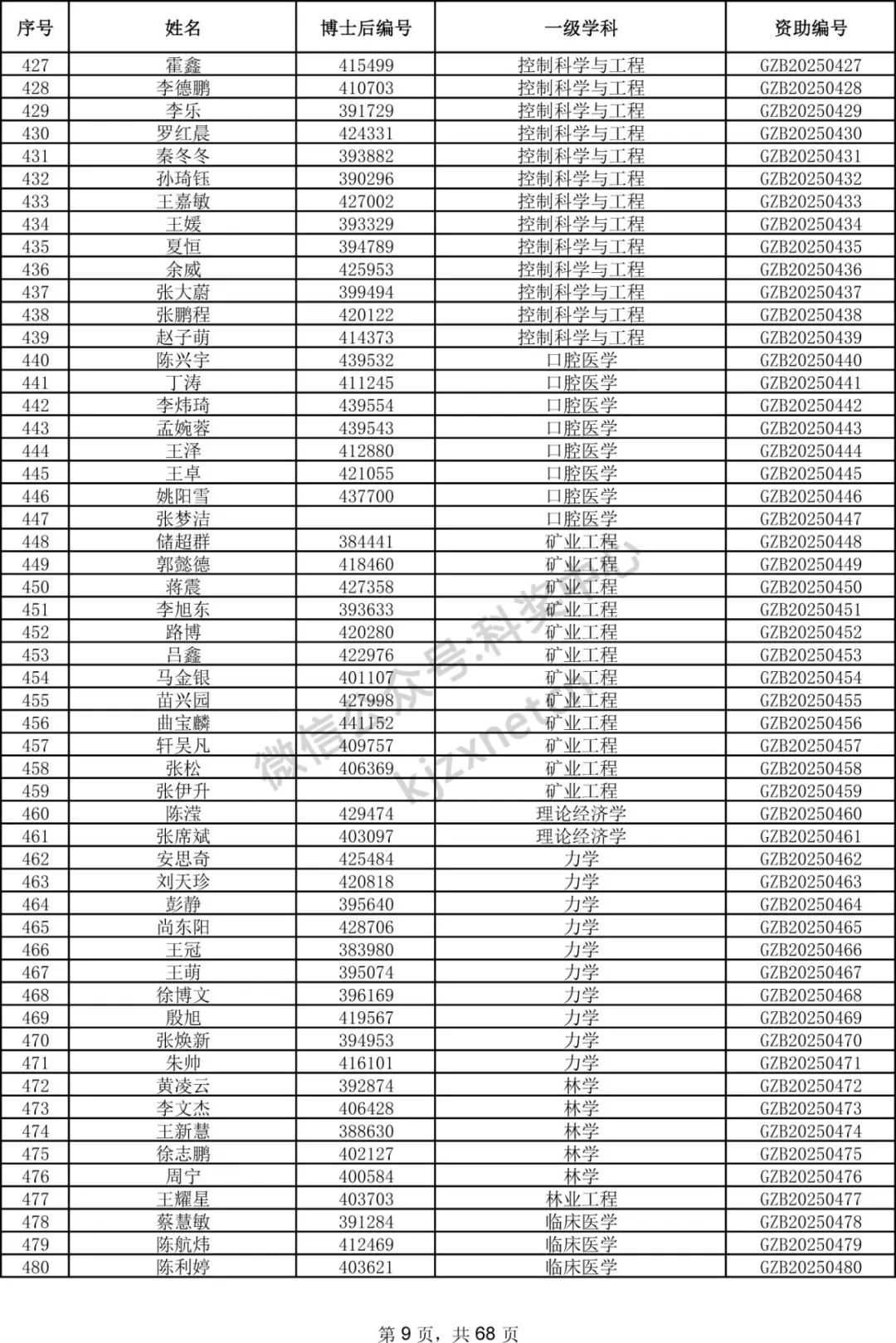
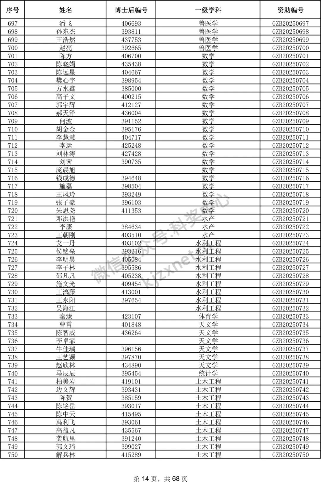
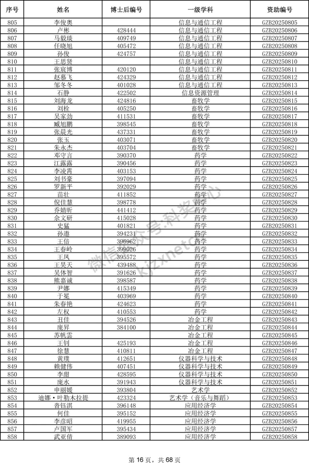
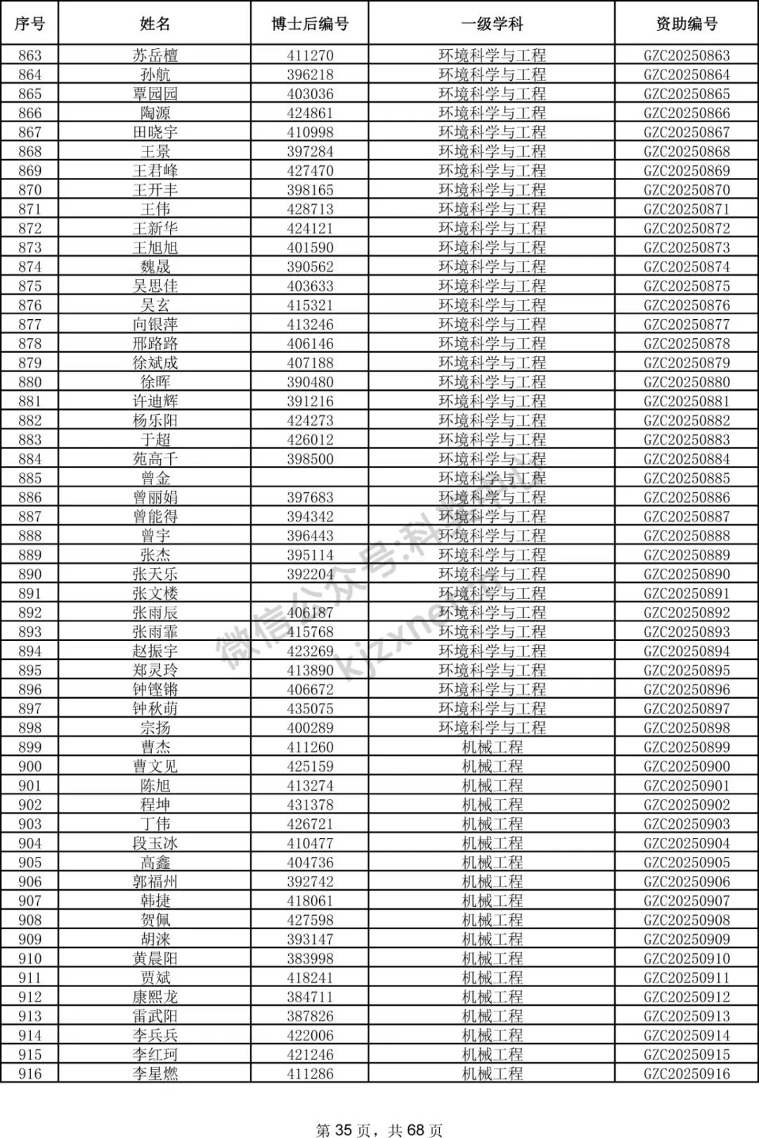
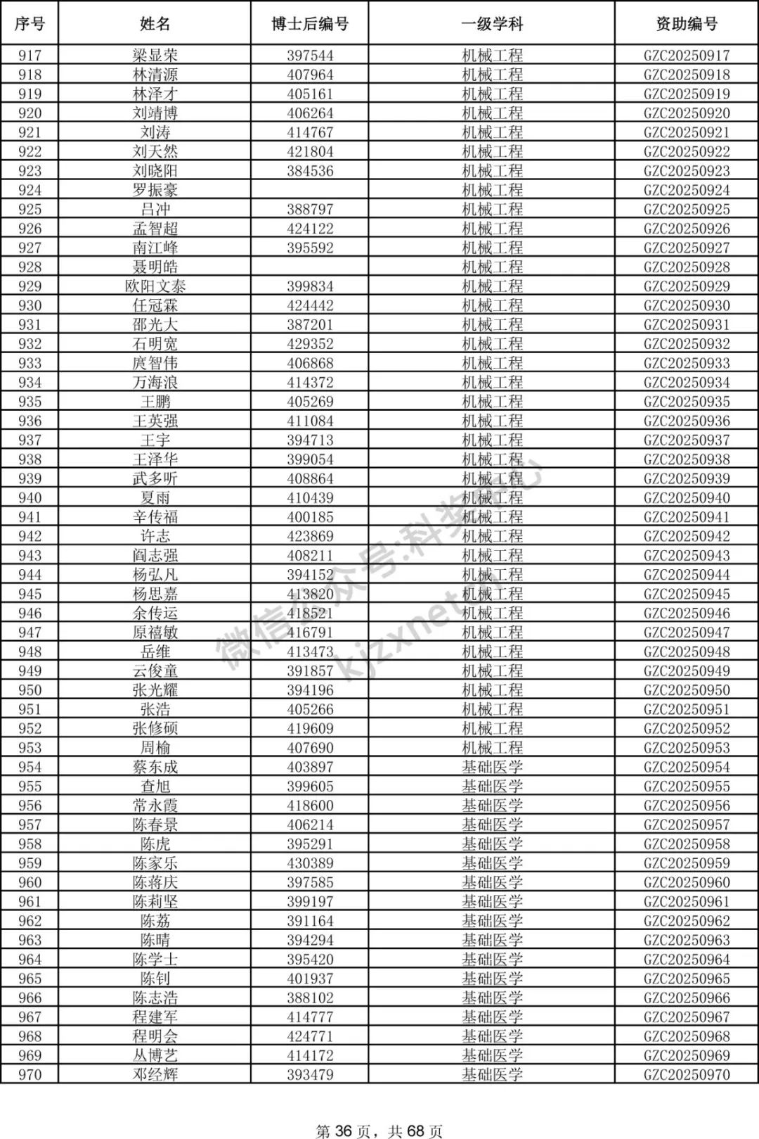
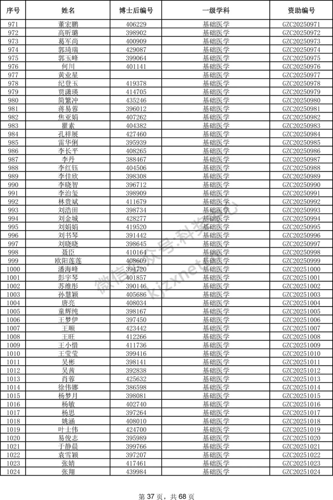
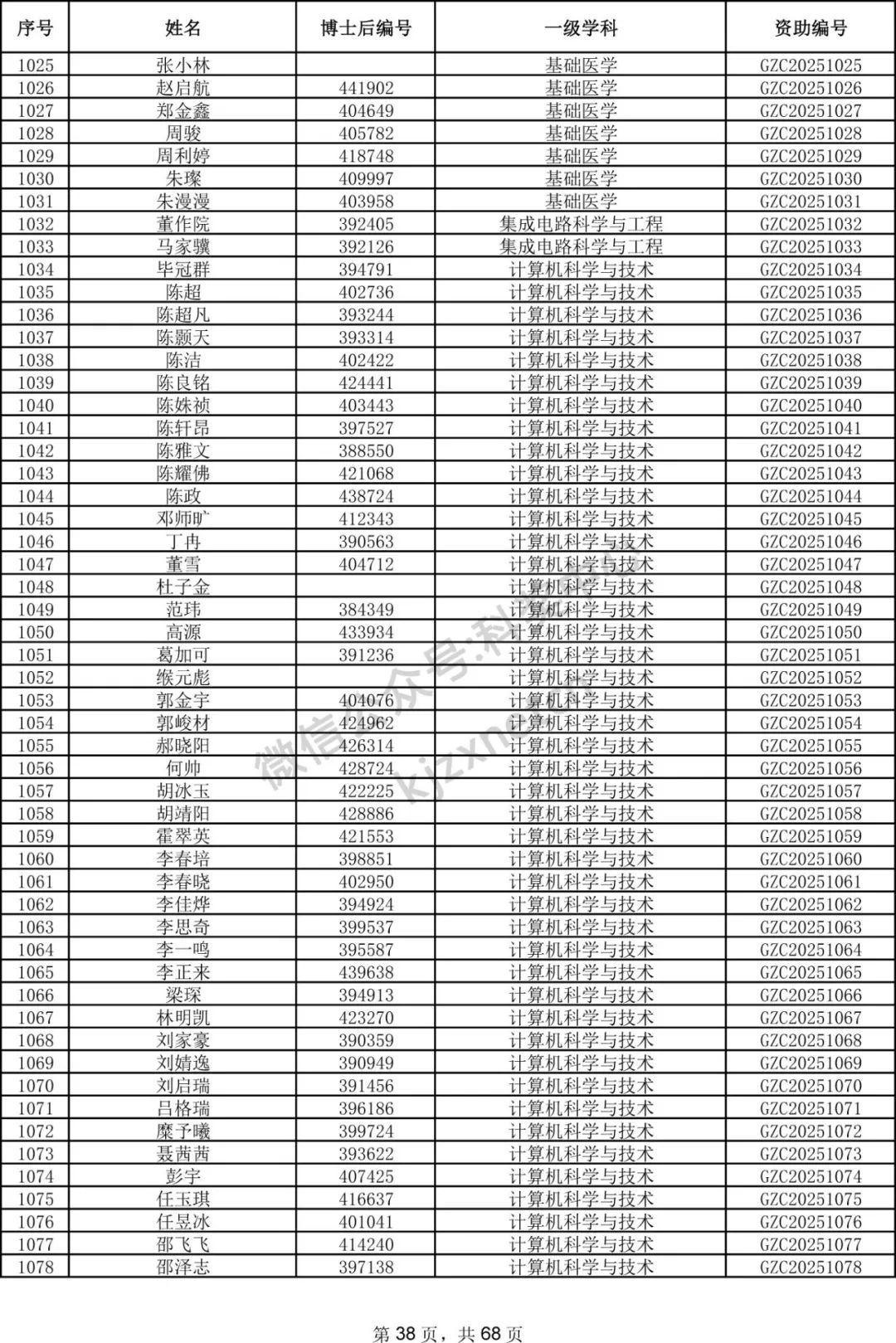
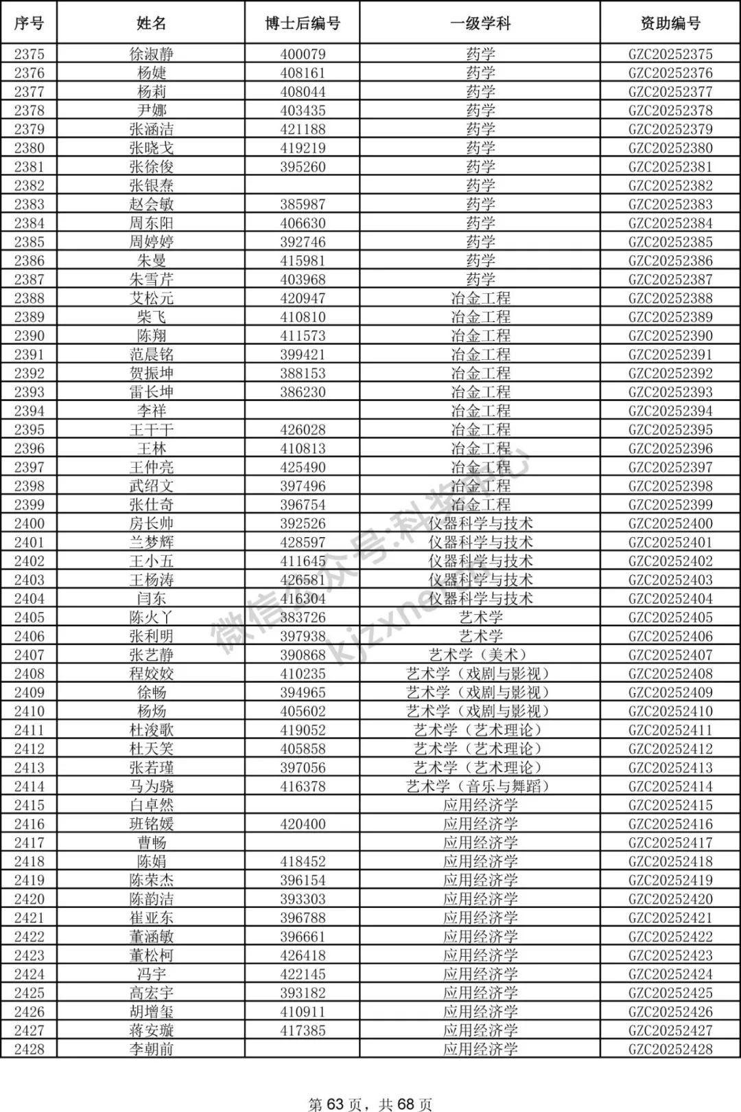
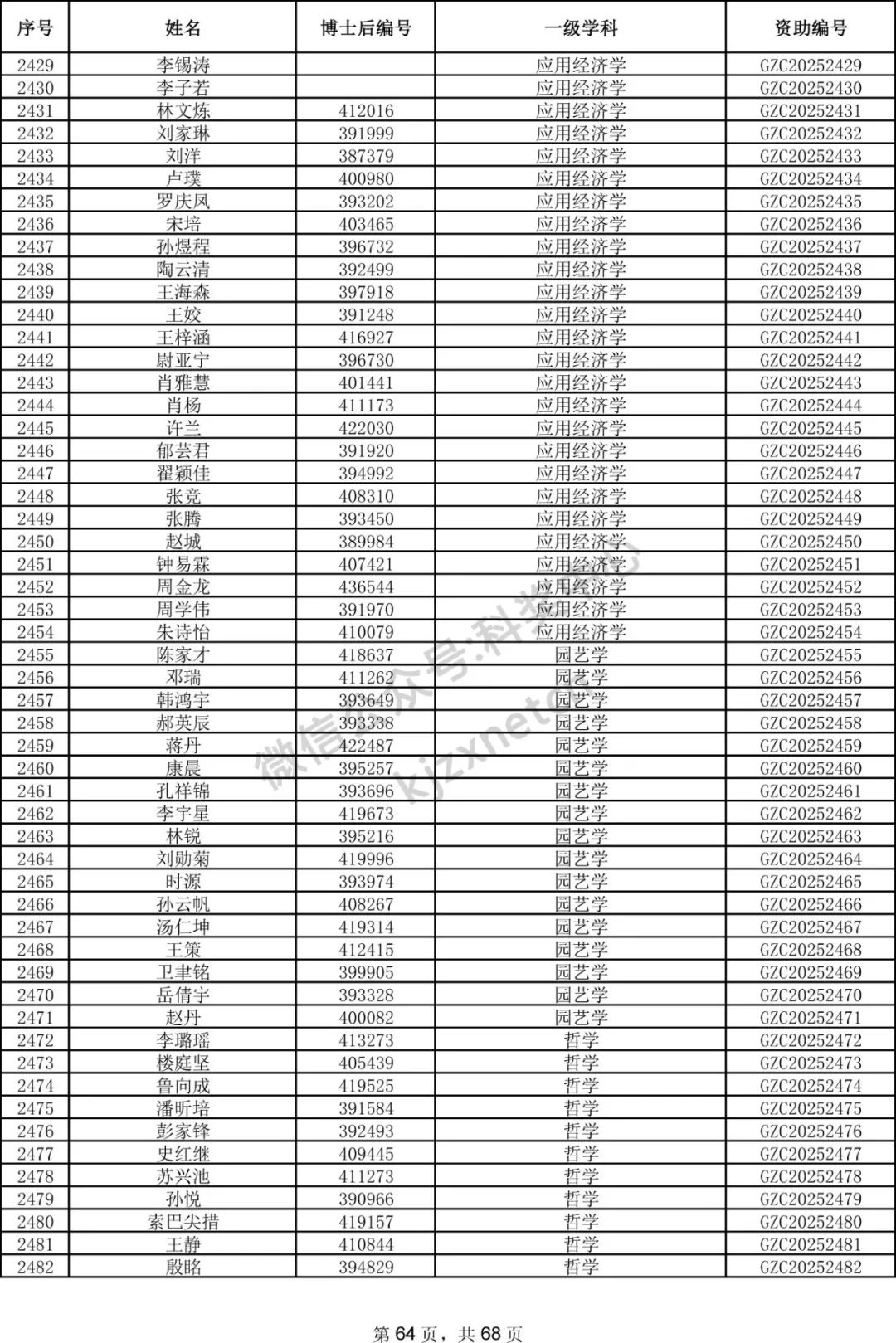
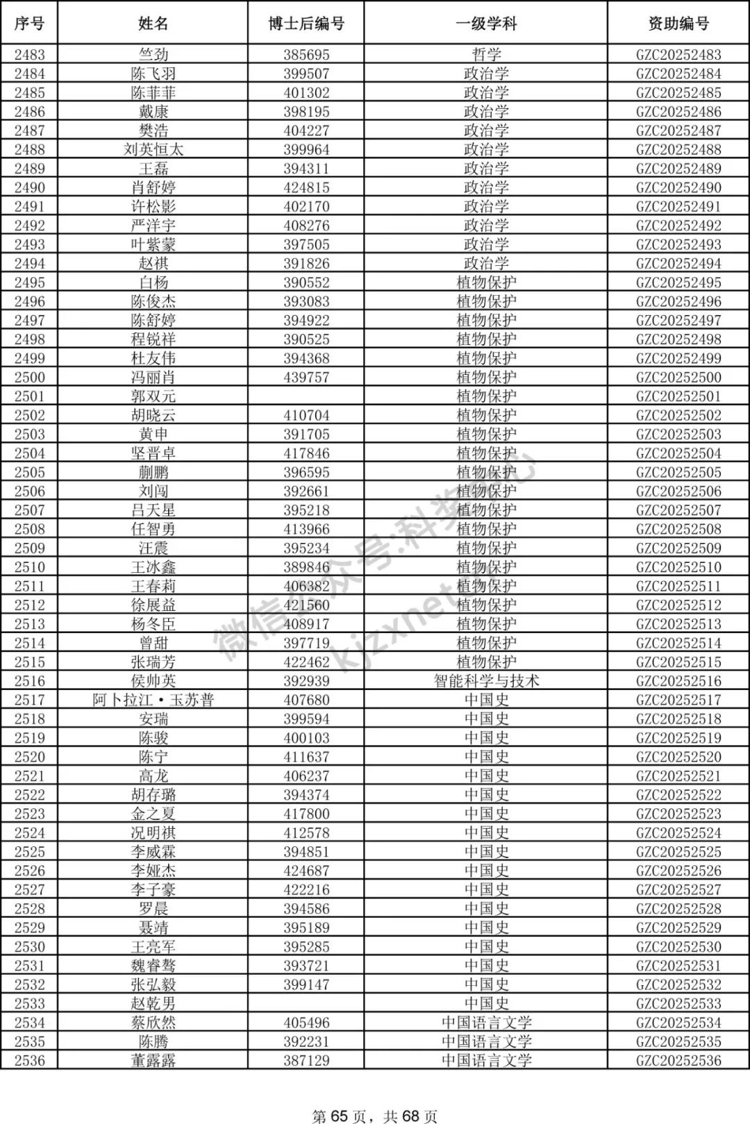
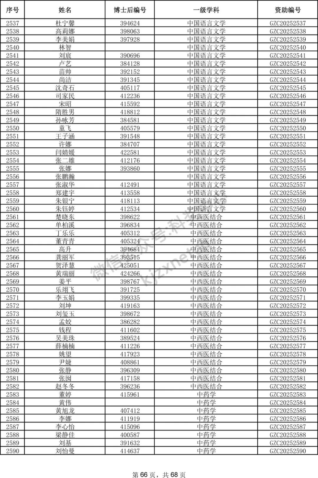
根据《全国博士后管委会办公室 中国博士后科学基金会关于开展2025年度国家资助博士后研究人员计划(含博士后创新人才支持计划)和博士后科研业绩评估考核资助申报工作的通知》(博管办〔2025〕3号,以下简称《通知》),全国博士后管委会办公室、中国博士后科学基金会组织开展了2025年度国家资助博士后研究人员计划(以下简称国资计划)申报遴选工作,确定了国资计划(B、C档)3844名获选人员。现公布有关获选人员名单,部分人员名单另行通知。
国资计划实行分类分档资助,共分为A、B、C三档,资助期均为2年。其中,A档为博士后创新人才支持计划,获选名单已公布;B档资助标准为每人每年18万元;C档资助标准为每人每年12万元。请有关设站单位及时通知获选人员获选结果,并按以下要求做好相关工作。
1.获选人员为拟进站人员的,须在本通知印发之日起3个月内在所申报的拟进站单位办理进站手续,在已选定的合作导师指导下开展博士后研究工作,并将人事关系(含人事、工资关系及人事档案)转入博士后设站单位,全职从事博士后研究,逾期未办理进站手续的,视为自动放弃获选资格。
2.获选人员在站期间公开发表论文等研究成果的,须注明“本研究成果由‘国家资助博士后研究人员计划’资助”及资助编号(Supported by the Postdoctoral Fellowship Program of CPSF under Grant Number ***)。
3.获选人员须在资助期满前按要求申报博士后科研业绩评估考核资助,全国博士后管委会办公室、中国博士后科学基金会将择优予以奖励性资助。
4.获选人员出现退站或提前出站情形的,设站单位应按规定向中国博士后科学基金会出具情况说明,按比例退回资助经费后办理相关手续。
5.按照《通知》要求,同一年度,获选人员不可同时获选博士后创新人才支持计划(国资计划A档)、香江学者计划(含湾区项目)、澳门青年学者计划(含湾区项目)、中德博士后交流项目以及其他各类国家博士后引进、派出项目(博士后国际交流计划学术交流项目除外)。请有关设站单位认真核查以上项目申报、获选人员,如有重复获选情况,应及时与申报人员确认,按要求出具放弃相关资助情况说明并办理重复资助经费退回。
请有关地区和部门加大对博士后工作的支持力度,加强对本地区、本部门设站单位经费使用情况的监督和检查,促进博士后事业健康发展。
联系人:王添翼
电 话:010-62335012
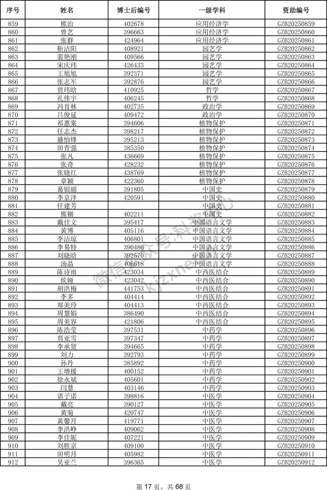
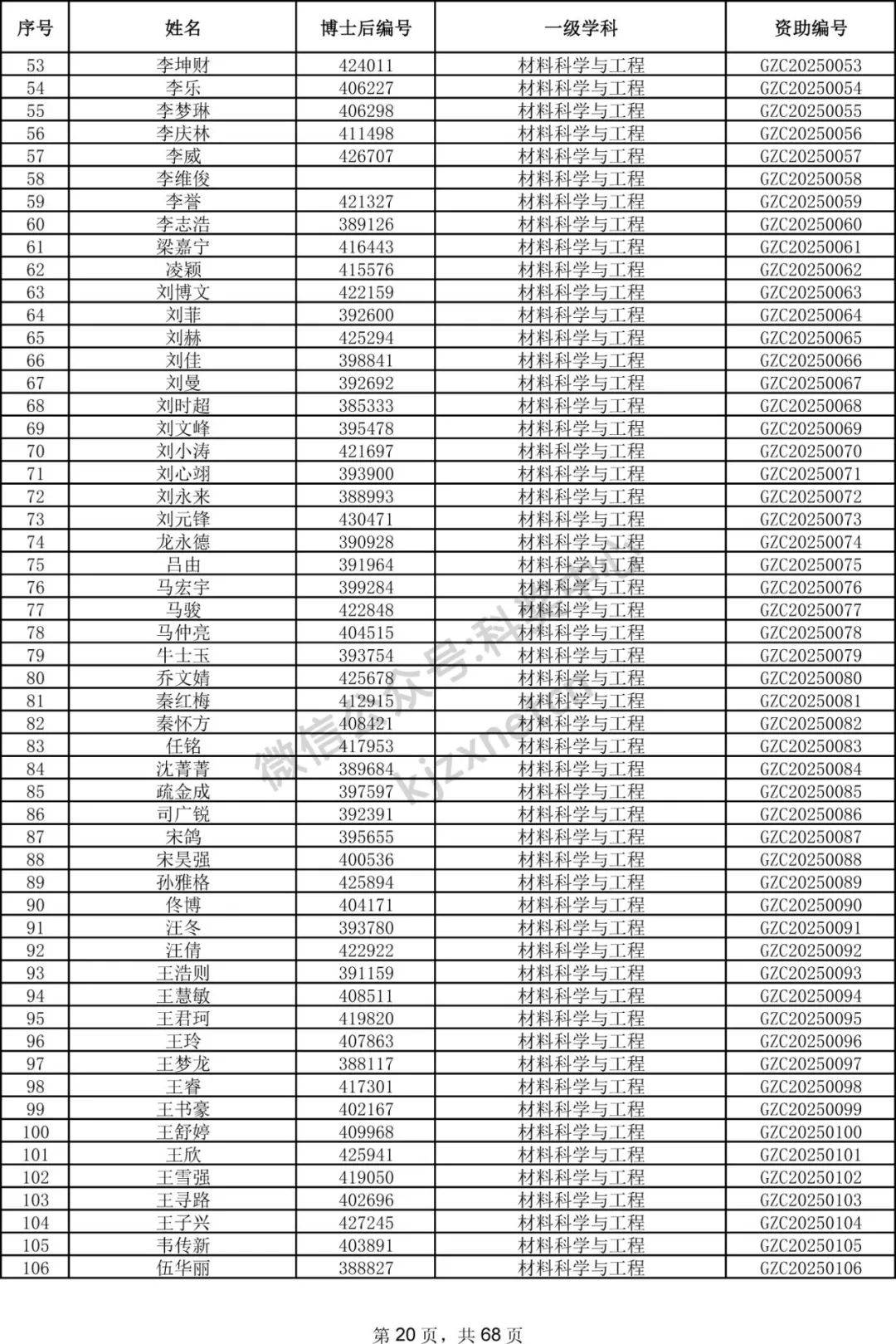
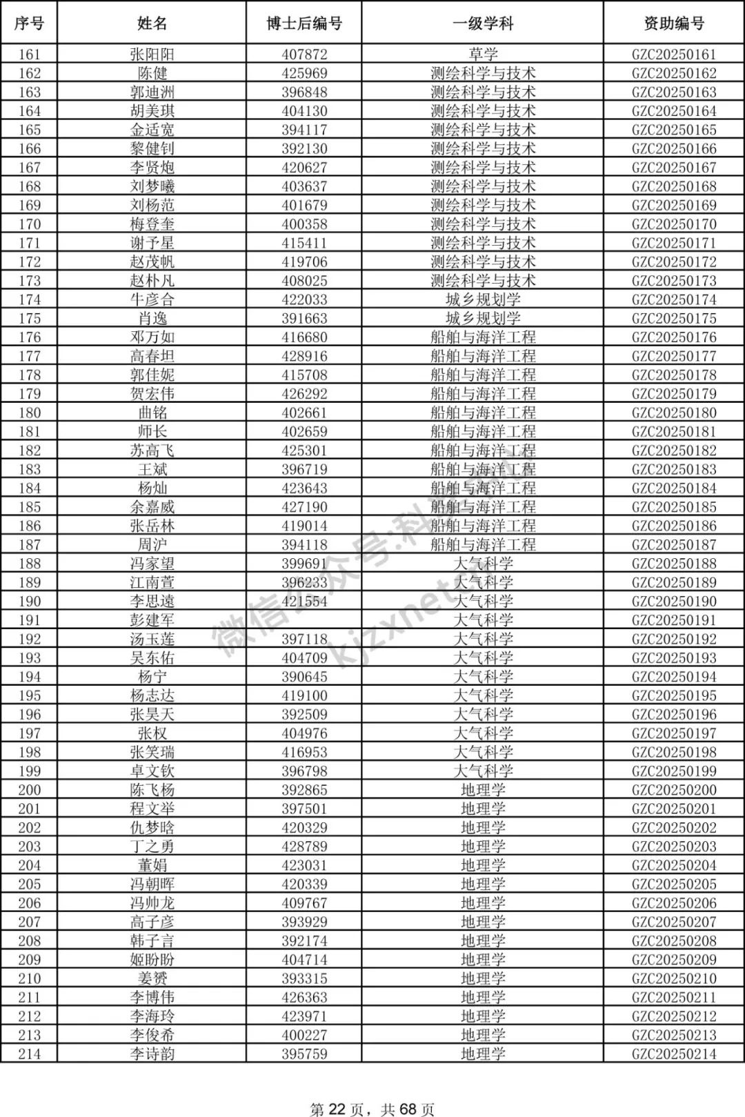
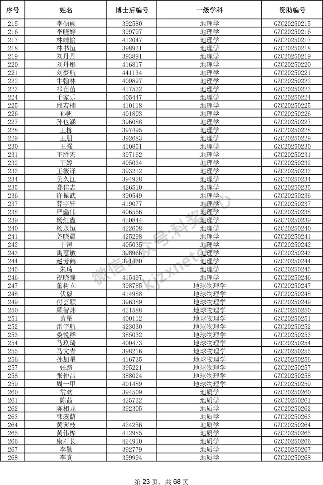
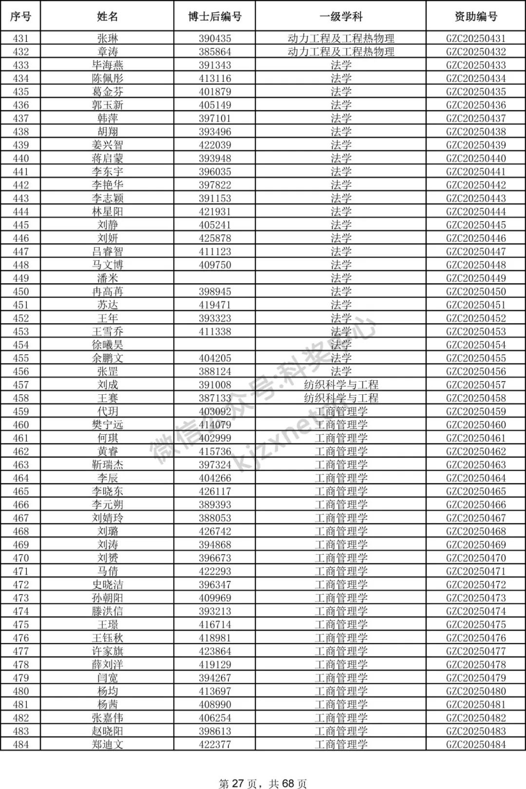
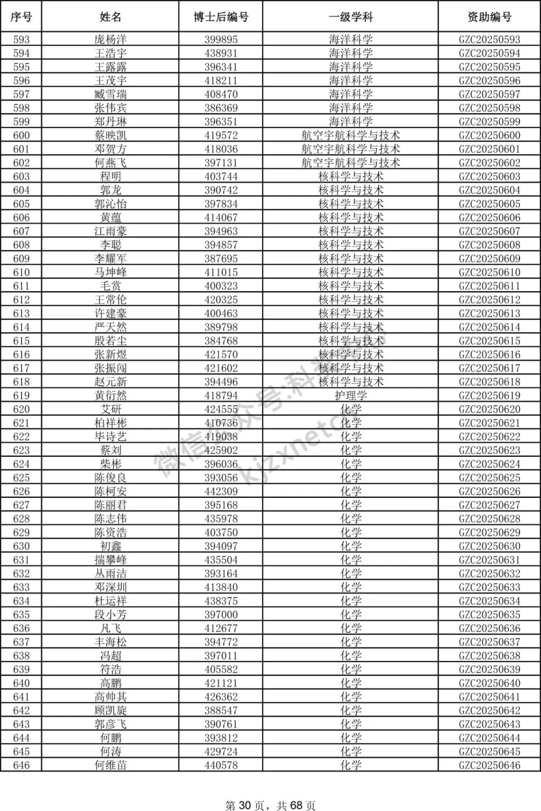
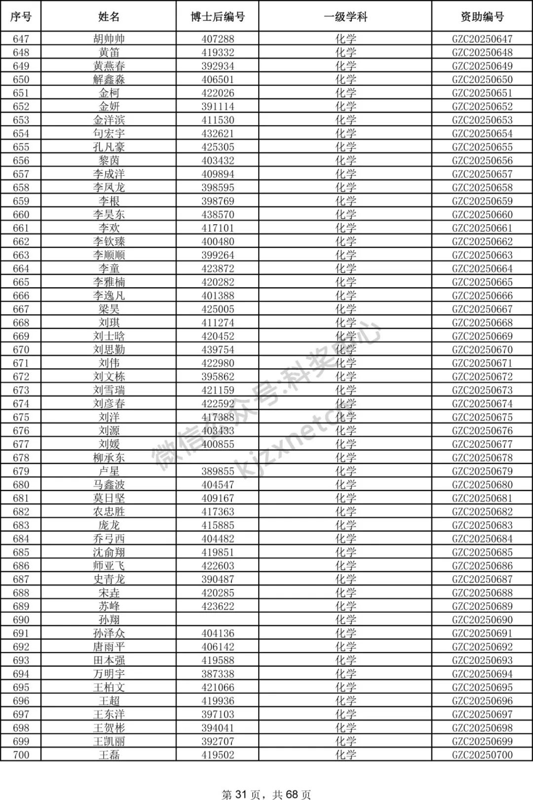
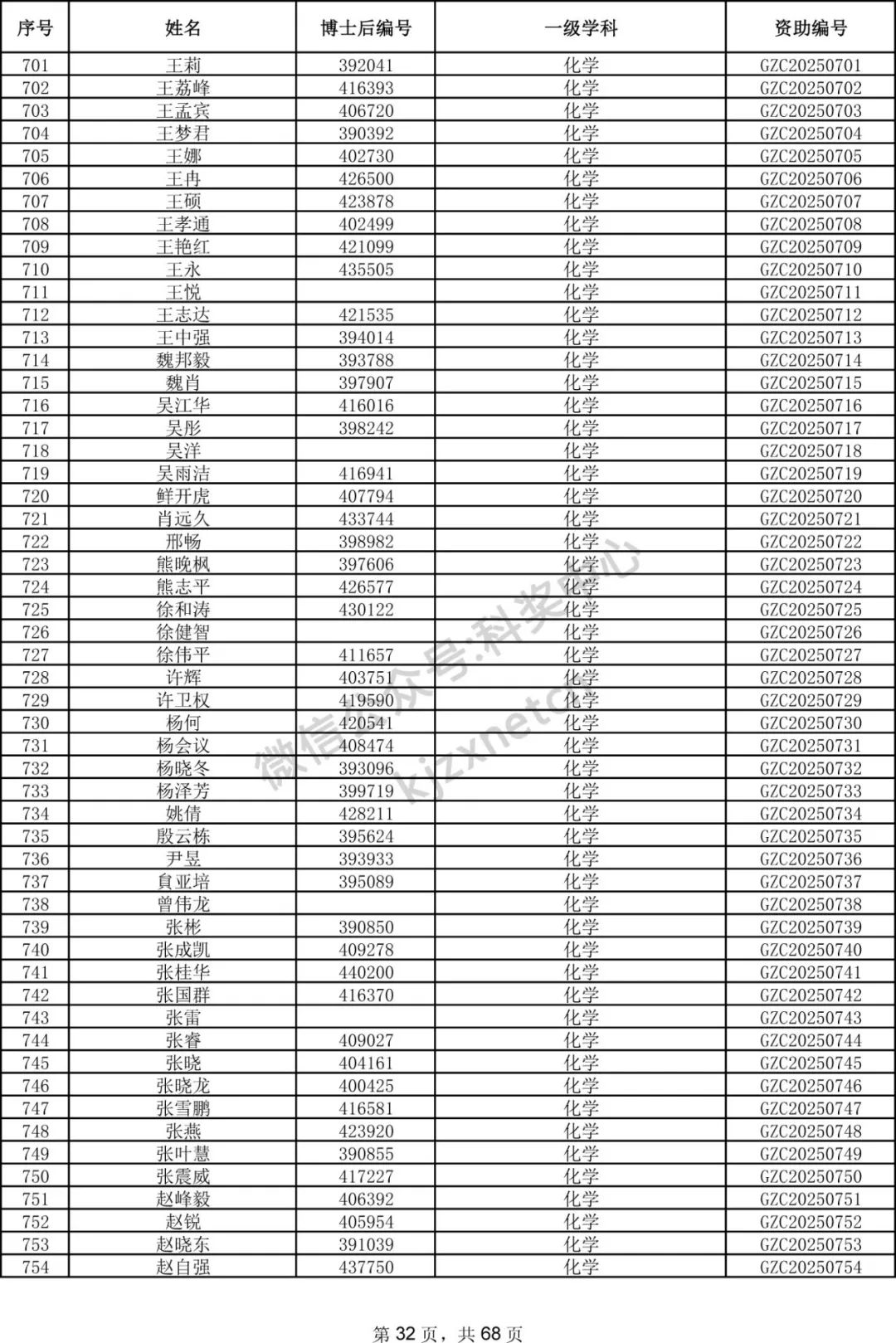
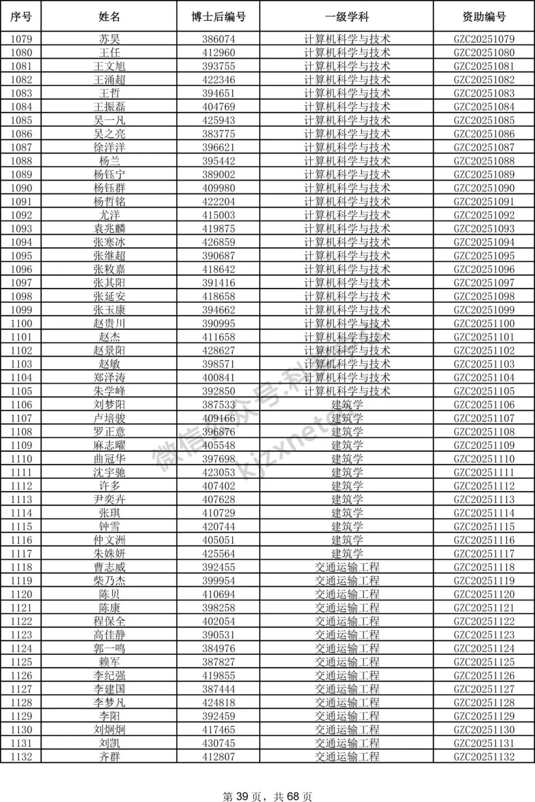
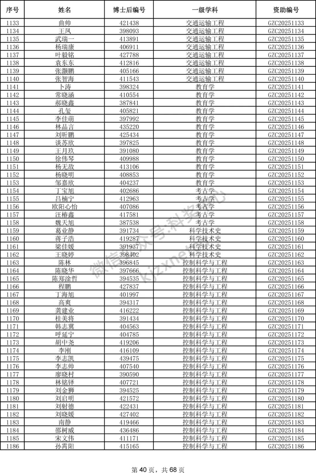
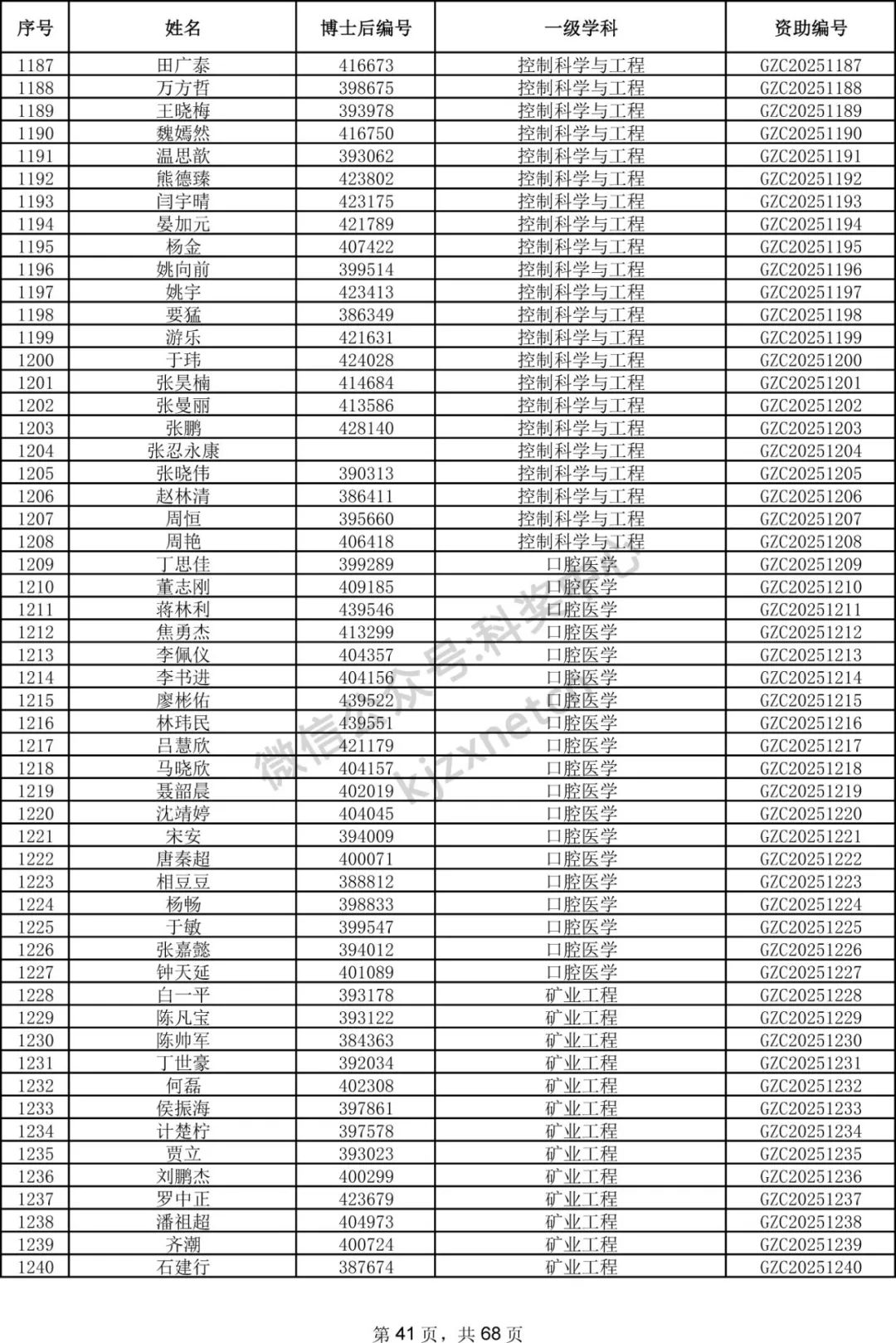
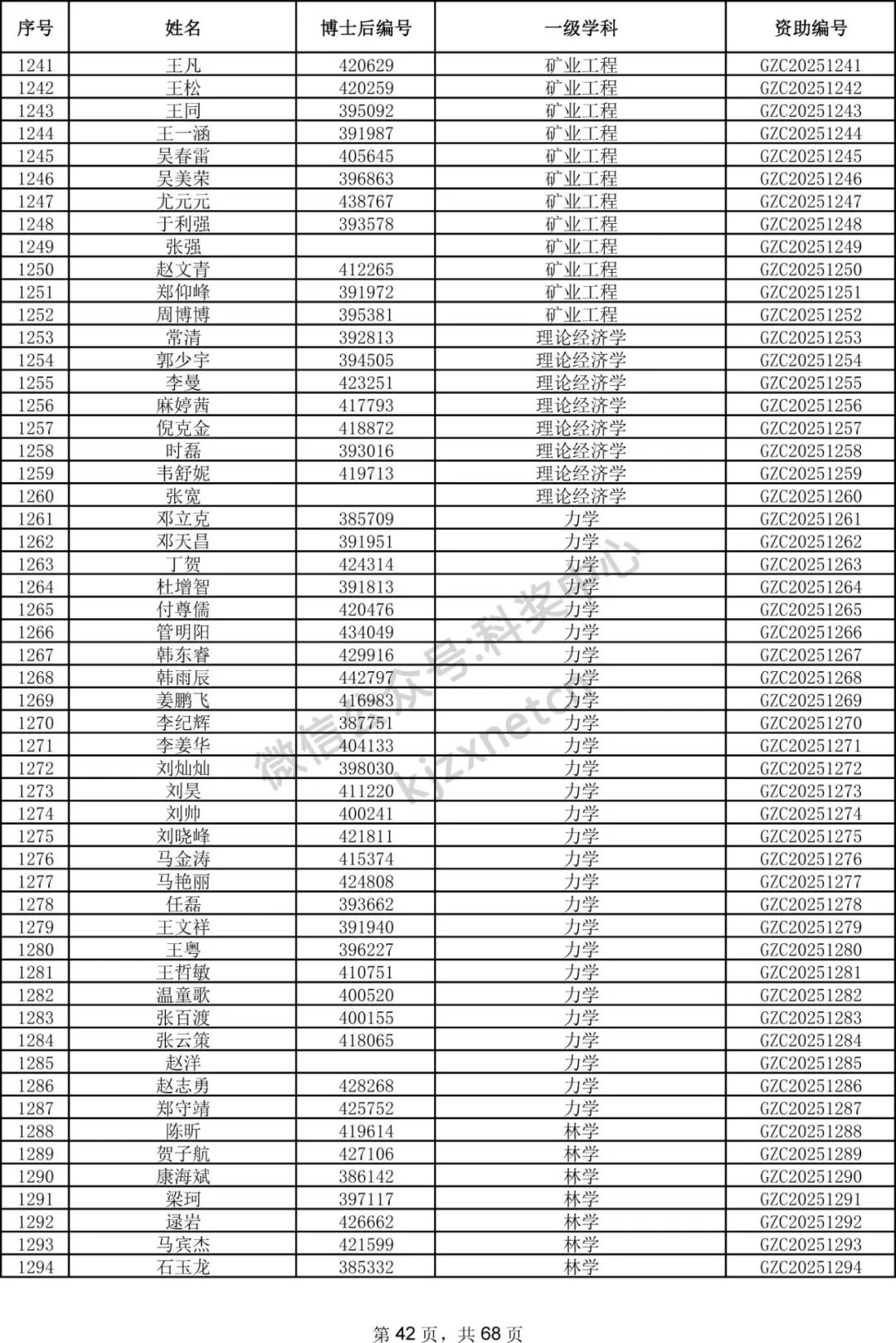
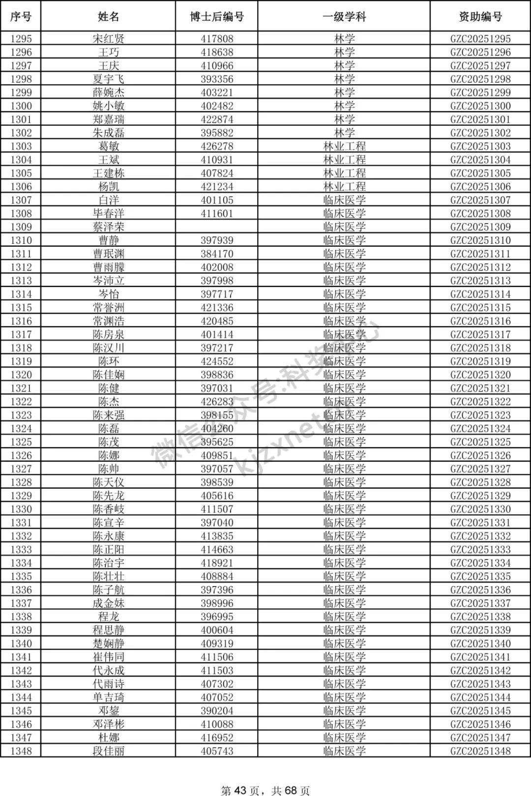
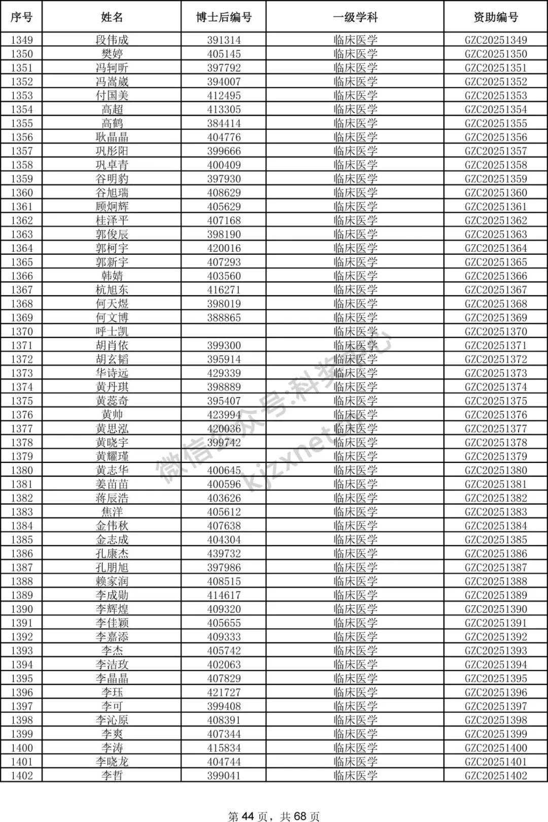
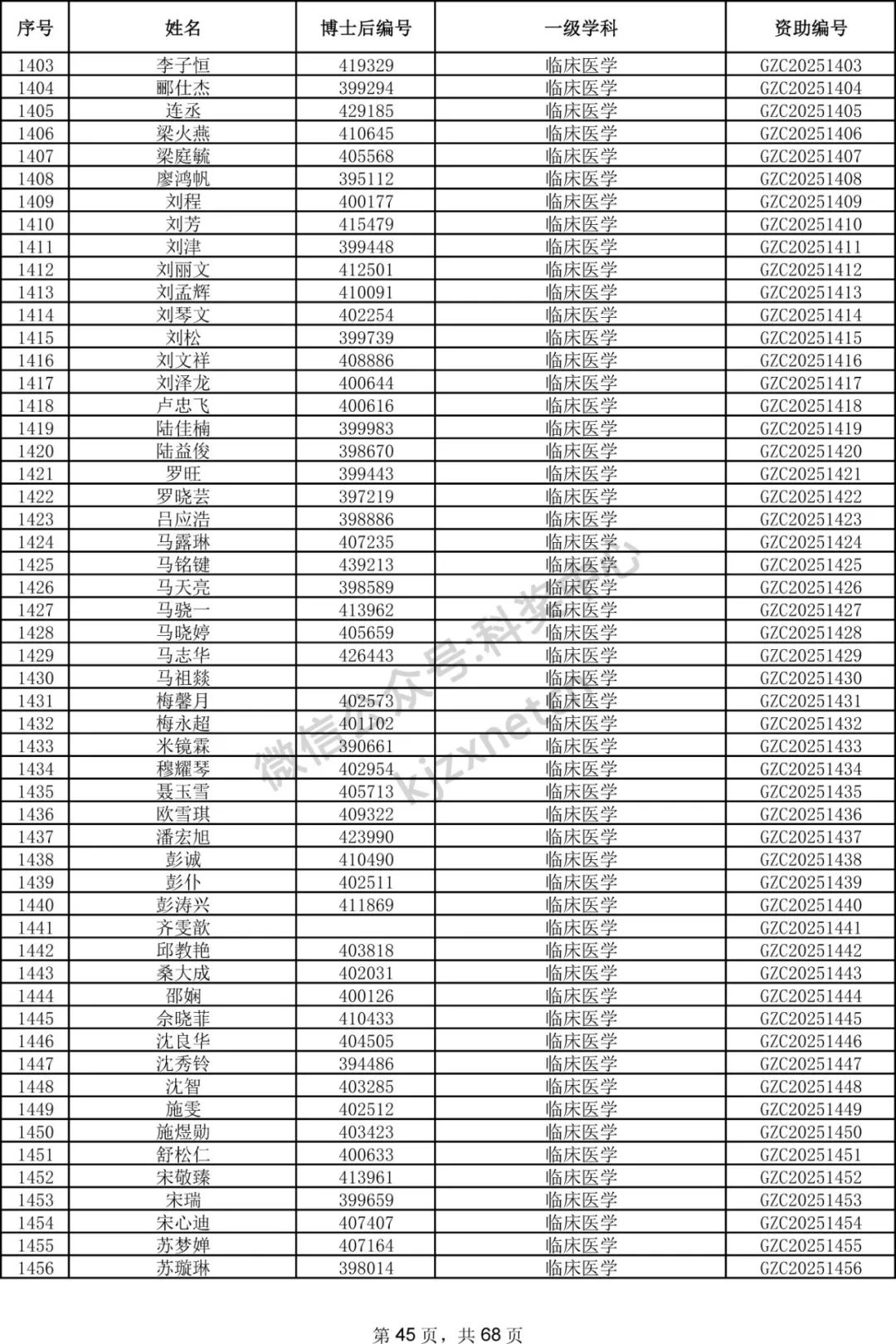
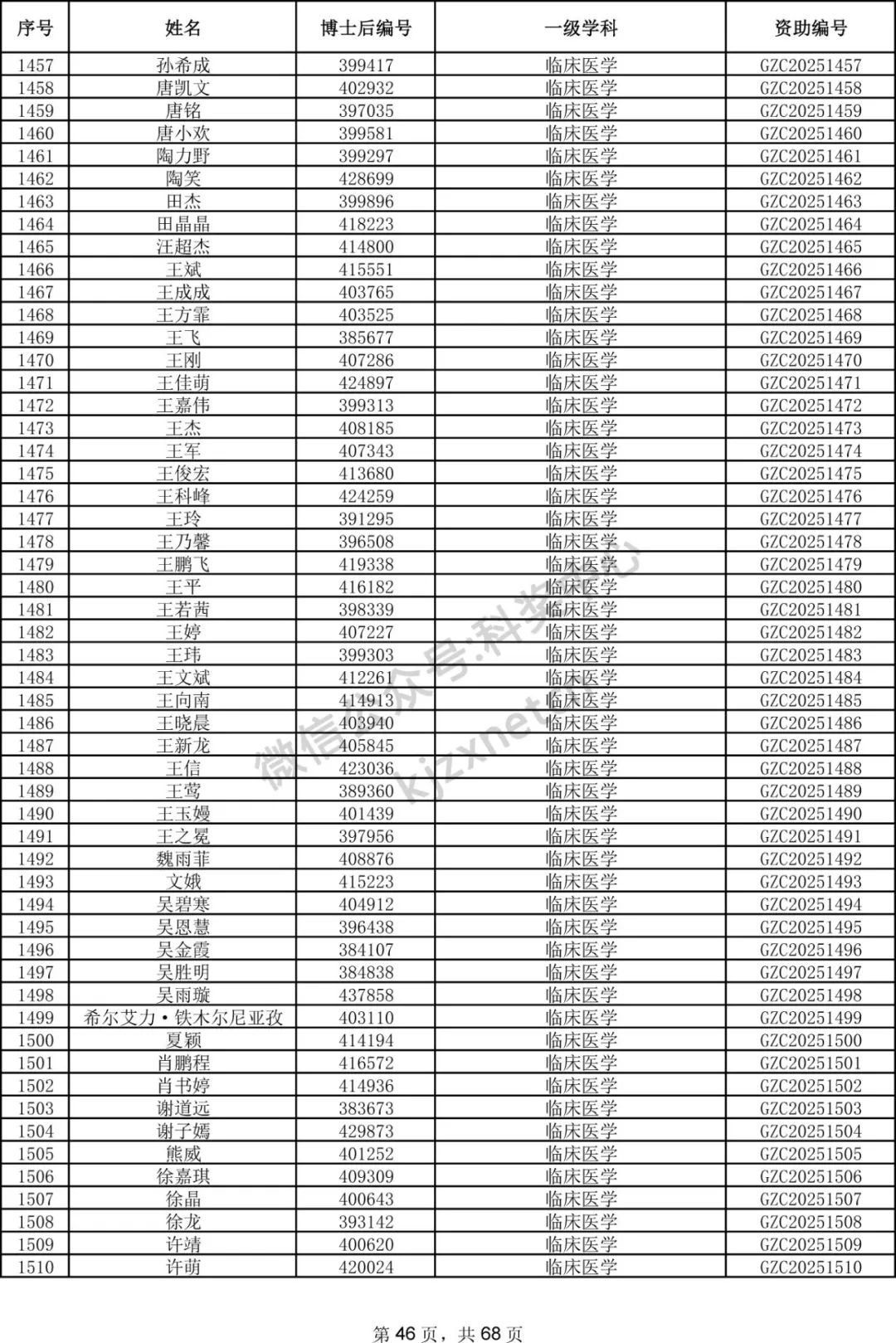
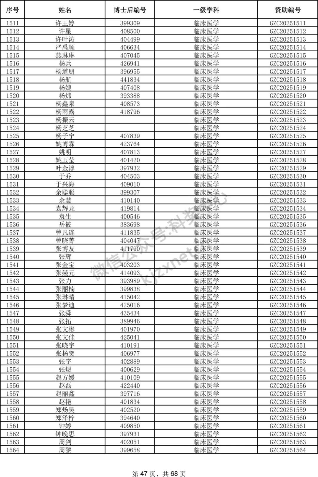
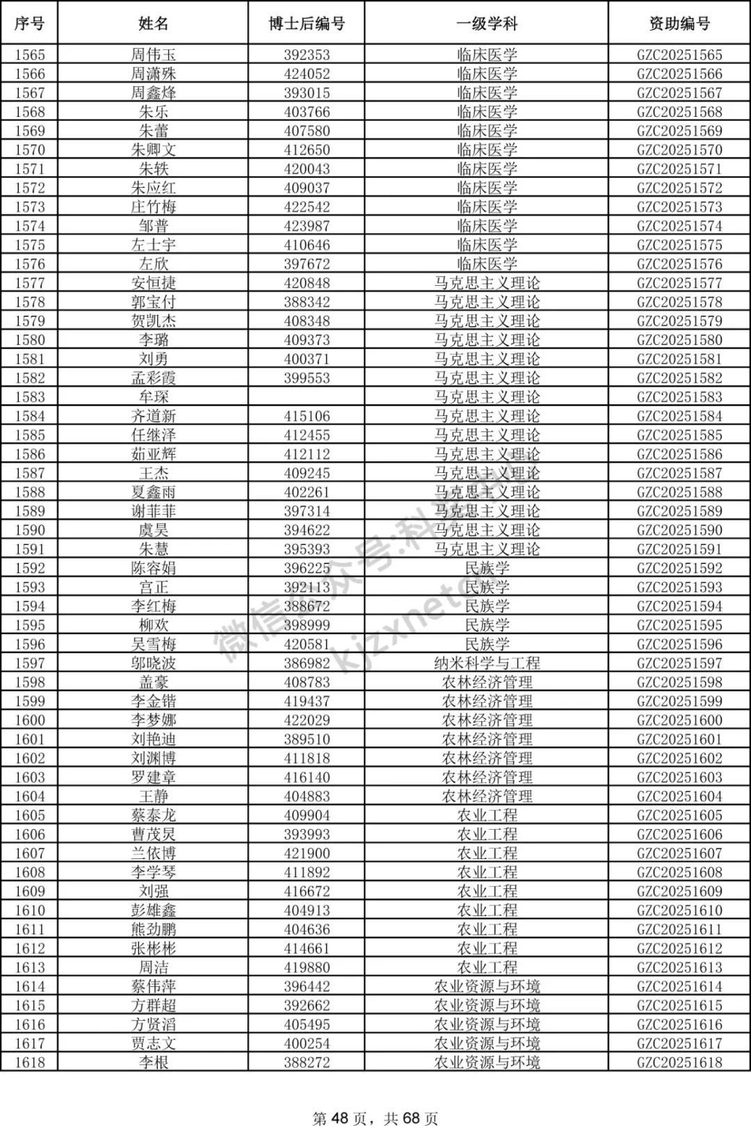
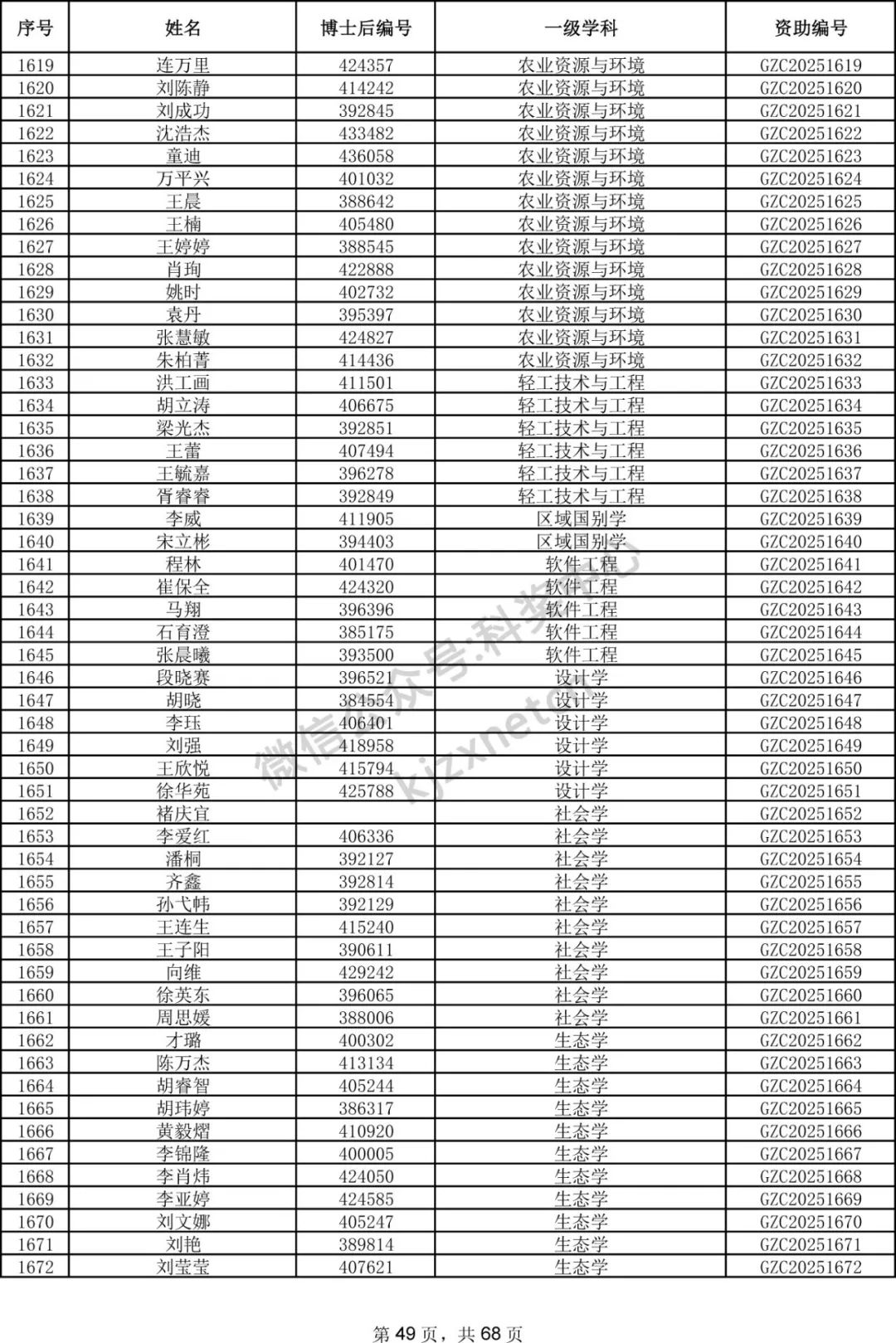
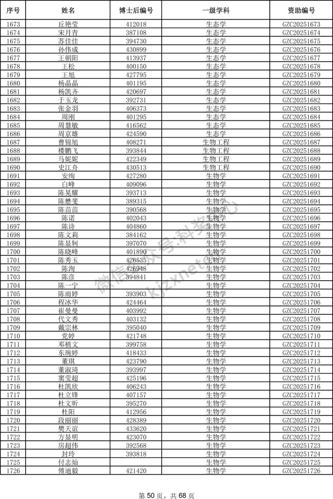
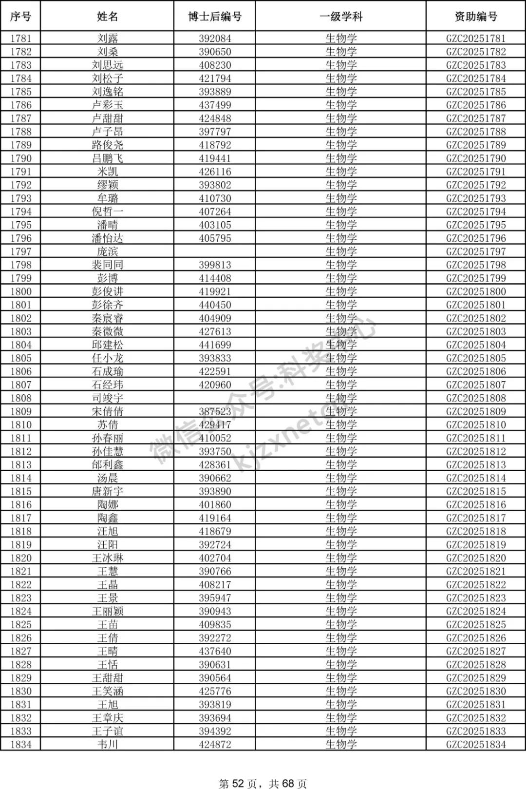
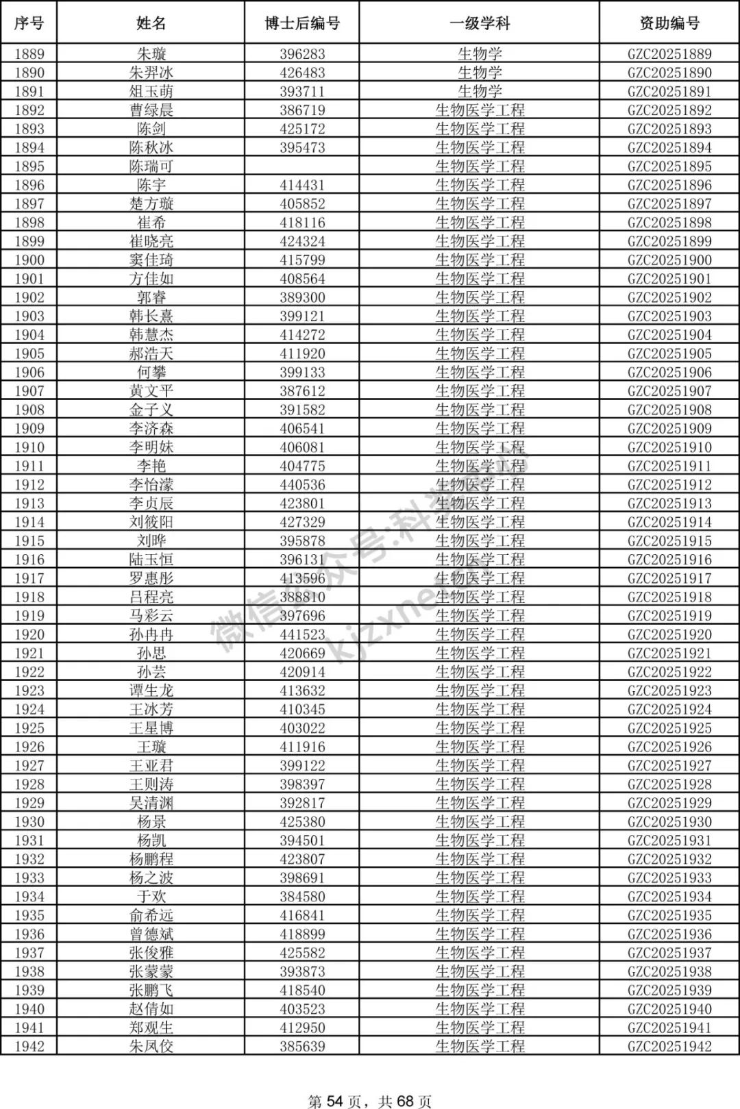
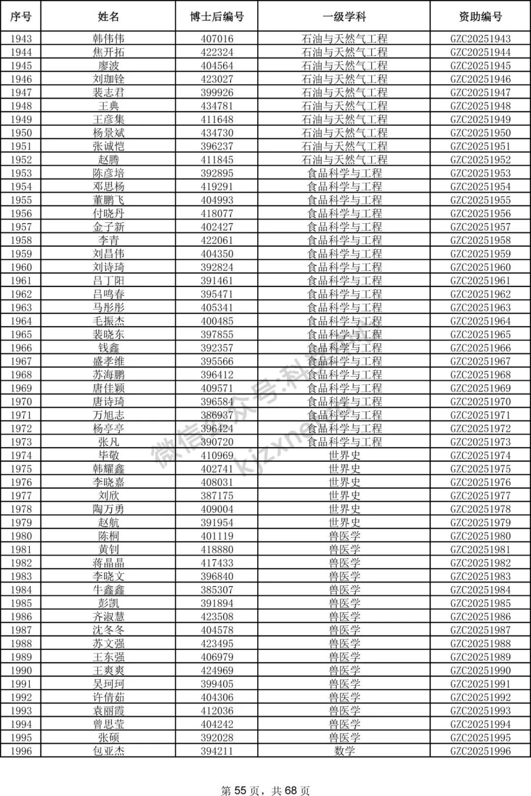
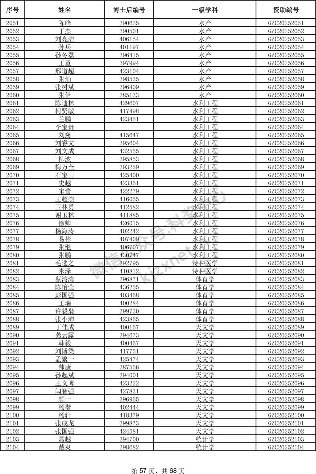
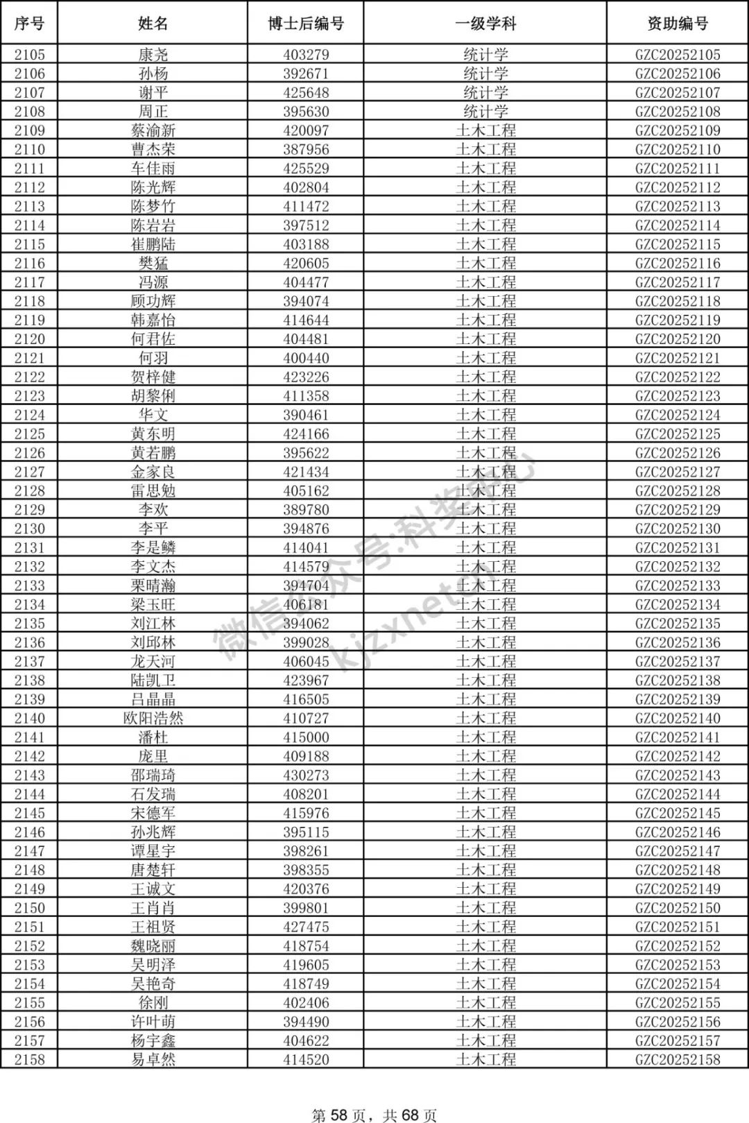
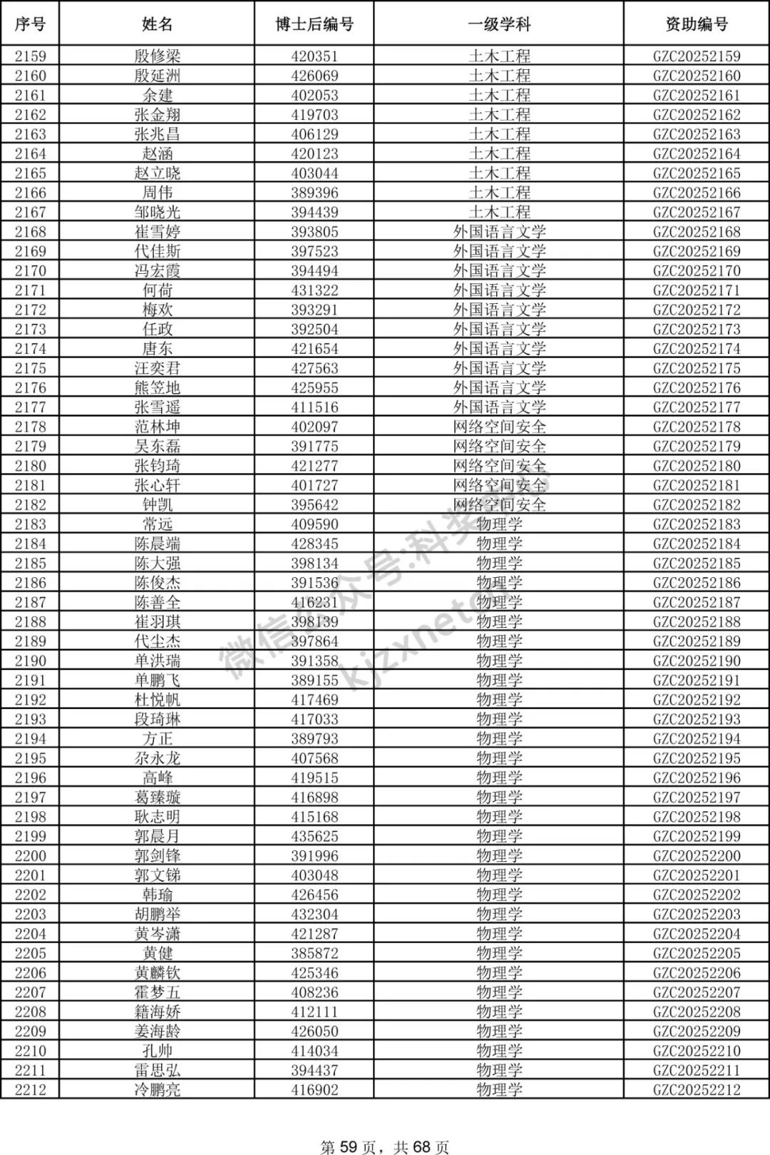
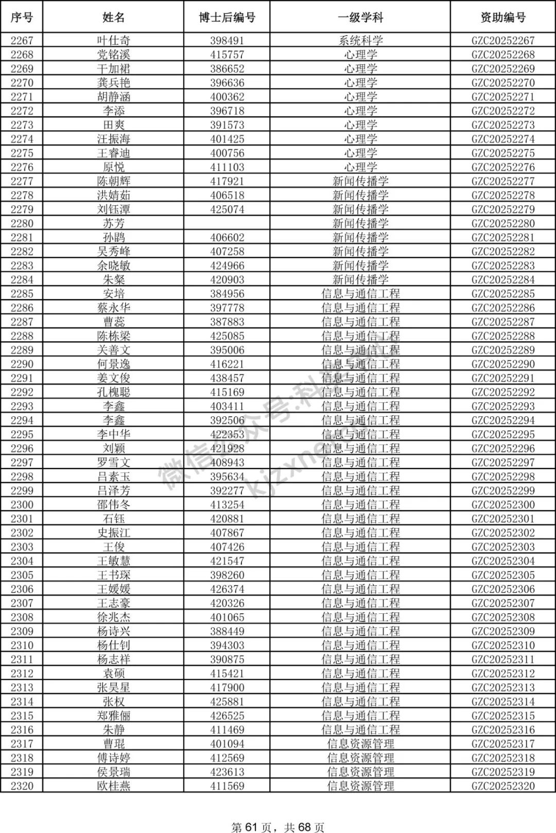
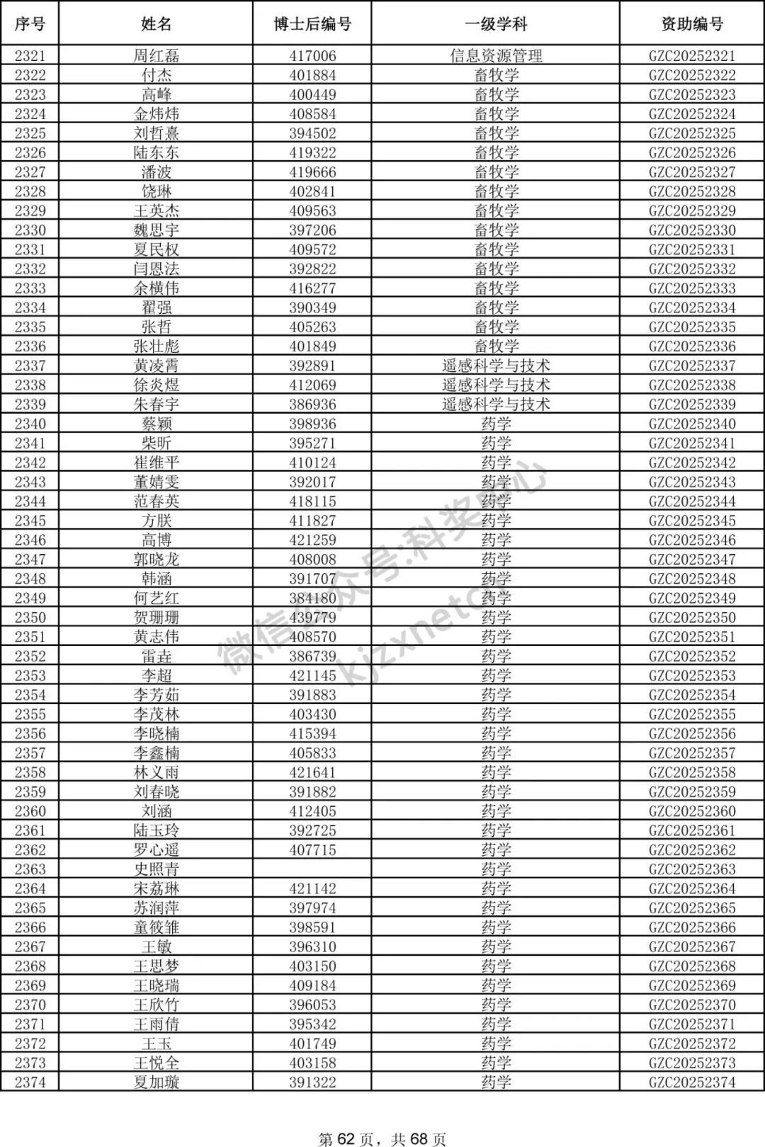
附 件:2025年度国家资助博士后研究人员计划(B、C档)获选人员名单.pdf
全国博士后管委会办公室
中国博士后科学基金会
2025年7月16日
完整名单下载请在公众号对话框输入:2025BC
免责声明:本网站所转载的文字、图片与视频资料版权归原创作者所有,如果涉及侵权,请第一时间联系本网删除。
官方微信
《腐蚀与防护网电子期刊》征订启事
- 投稿联系:编辑部
- 电话:010-62316606
- 邮箱:fsfhzy666@163.com
- 腐蚀与防护网官方QQ群:140808414






































































