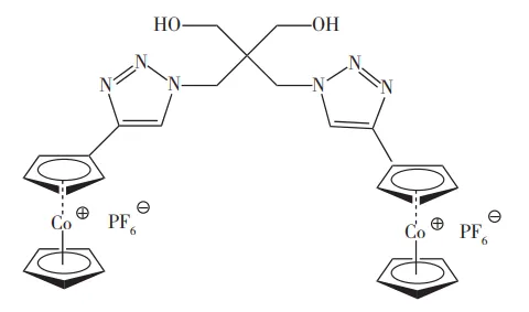
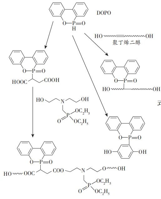
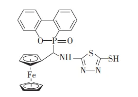
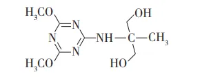
近5年水性聚氨酯涂料学术研究 Academic Research on Waterborne Polyurethane Coatings in The Past 5 Years 王武生 (安徽大学化学化工学院,合肥230601) 摘要: 为了帮助读者更好地了解最近几年水性聚氨酯涂料学术研究领域学者都做了些什么。本文系统统计和分析了近5年来发表的关于水性聚氨酯涂料的SCI论文。 关键词: 水性聚氨酯;涂料;防腐;抗菌;自消光;自修复;阻燃 本文作为参考文献标准著录格式: 王武生. 近5年水性聚氨酯涂料学术研究[J]. 涂料工业,2024,54(增刊1):6-13. WANG W S. Academic research on waterborne polyurethane coatings in the past 5 years[J]. Paint & Coatings Industry,2024,54(Suppl. 1):6-13. 受《涂料工业》邀请,约我写一篇“水性聚氨酯涂料研究最新进展”文章用于《涂料工业》近期出版的专刊发表。最初我是一口答应,但一旦动笔,却觉得千难万难。各个领域的学术研究其实都有一个普遍现象,存在重大突破而带来的学术高峰期和其后较长时间的低潮期。水性聚氨酯涂料学术研究目前恰恰处于这种到处寻寻觅觅,四处探索,没有具体方向,试图寻找突破的低潮期,缺乏有价值的重大突破。对于这种到处寻觅,零零碎碎的研究并不存在所谓的实质性重大进展。为了论文可读性,本文将采用近年来国外流行的一种综述写法:按一定标准全面完整地搜集文献,对文献报道进行统计分析。目的仅是告诉读者,最近几年水性聚氨酯涂料学术研究者都做了些什么。 科学技术研究,通常存在两条线:一条线就是所谓的学术研究,通过系统性的方法和过程,对某一特定的主题或问题进行探索,以获得新的见解、知识和理论。学术研究最终表现为发表学术论文。另一条线就为应用研究与工业开发,利用学术研究获得的成果,进行工业应用研究工程开发,将学术研究转化为生产力。然而对于水性聚氨酯似乎并不符合这种规律,历史上就已经打破了这个规律。比如水性聚氨酯开拓性突破的2项技术,内乳化工艺,以及后来的重大发明水性双组分聚氨酯涂料,都是由企业开发,形成产品后才由大学研究院学者补充学术研究完善其背后的理论。另一方面对于目前水性聚氨酯学术研究与工业开发总有点渐行渐远的感觉。当然这并不是学术研究的问题,学术研究本该如此,学术研究就像寻矿,到处漫无目地挖掘试探,说不定哪天就找到价值连城的矿藏。 1 水性聚氨酯涂料学术研究 前面说过,学术研究最终表现形式为学术论文,近5年全世界发表的关于水性聚氨酯涂料研究的学术论文成千上万。好在现代网络已经为我们提供了简便快速的索引查询工具以及数据库,如Google学术、百度学术、WebofScience(SCI)、CAS(SciFinder)等。对比这些查询工具和数据库,对于这篇论文,WebofScience最合适,因为它整合了SCI(sciencecitationindex)、SSCI(socialsciencecitationindex以及AHCI(arts&humanitiescitaionindex),是利用互联网开放环境,创建的全球最大、覆盖学科最多的综合性学术信息资源数据库。其中SCI(科学引文索引)收录的是国际顶尖科学技术学术期刊发表的学术论文。追求的不是数量而是质量。虽然只收录了不到5%左右的学术论文,但完全可以代表现有科学技术发展学术水平。 对于水性聚氨酯的专业术语,早期常采用“aqueouspolyurethanedispersions(aq.PUD)”,也有人喜欢用“water-basedpolyurethane”,但目前主流采用“waterbornepolyurethane”。采用这3个关键词+coatings为搜索关键词,在WebofScience中搜索2020—2024年被收录的关于水性聚氨酯涂料的论文,共获得792篇。对搜寻结果进一步人工筛选,排除符合度较低的以及综述论文,最终选择出405篇关联性较高的学术研究论文。 纵观这405篇代表现在最高学术水平的论文,与20世纪80—90年代此领域学术论文比较,总体感觉缺少了点学术气息。表面上看似乎学术研究与工业开发有同质化现象。学术研究也是在寻找方法做出符合实际需要的新型涂料、功能性涂料,只是学术研究少了许多现实因素的羁绊,无需考虑成本、工艺可行性以及法律法规,探索的面更为广泛,但也易脱离实际,与工业应用开发渐行渐远。还有或许是发表论文的压力,学术研究讲究的是新、奇、特,过于追寻热点,如添加纳米材料、石墨烯、量子点、MOF等,有些明显没有实用前景。 在初步浏览405篇学术论文摘要后,可以从宏观大致了解学术研究在做什么。在初步浏览的基础上,在搜索结果中增加新关键词进行二次搜索。对于研究目的,增加与研究目的有关的关键词如anticorrosion(防腐)、flameretardant(阻燃)、self-healing(自修复)等;而对于研究手段,采用hybrid(杂化)、nano(纳米)、graphene(石墨烯)等关键词。查询结果见表1。 表1 2020—2024年水性聚氨酯涂料发表论文统计 水性聚氨酯涂料防腐性能相对较弱,极大程度上限制了其在工业涂料领域中的应用,提升水性聚氨酯涂料防腐性能无疑是研究热点。在405篇论文中,涉及防腐的达88篇。提升涂料防腐保护主要有3种方式,即屏蔽(阻隔)防腐、钝化防腐和电化学防腐。然而在水性聚氨酯涂料防腐研究中,大部分论文涉及的是屏蔽(阻隔)防腐,钝化防腐和电化学防腐论文相对较少。 提升水性聚氨酯涂层阻隔性的方式主要有提升涂层致密性,提升涂层疏水性,提升水性聚氨酯涂料对基材附着力以及损伤后自修复。近5年涉及水聚氨酯涂料防腐论文中有51篇论文涉及纳米材料改性;19篇为引入有机硅、有机氟、油脂等疏水基团,提升涂料疏水性;12篇涉及自修复。 纳米材料改性是研究热点,通常添加或共聚改性的纳米材料包括0维纳米材料,如纳米二氧化硅颗粒、纳米二氧化钛、聚多巴胺纳米颗粒等;一维纳米材料,如钛酸盐纳米管、碳纳米管、氮化硼纳米管等;二维纳米材料如石墨烯、氮化硼纳米片、二硫化钼纳米片、磷酸锆纳米片、Mxene纳米片。这些纳米材料提升涂层耐腐蚀性的作用机理各不相同,0维和一维纳米材料通常是提升涂膜致密性从而提升耐腐蚀性,而二维纳米材料通常是通过定向排布获得所谓的“迷宫效应(labyrintheffect)”来提升涂层的阻隔性(如图1)。 图1 迷宫效应 在2D纳米材料中,石墨烯无疑是研究热点,但近年MXene纳米片有取代石墨烯成为新热点的趋势。MXene是一类新型的二维材料,2011年由美国拉格斯顿国家实验室首次合成。它的命名源自其结构,其中“M”代表过渡金属(如钛、铌、钼等),“X”代表碳化物或氮化物,“ene”表示薄层结构。MXene的典型结构是由薄而硬的过渡金属碳化物或氮化物层与表面修饰的氟原子层交替堆叠而成。MXene不仅有2D纳米材料的阻隔性,同时还具有光电等特性,如导电性、UV吸收、红外吸收和辐射可调、电磁屏蔽等功能,因此将其引入水性聚氨酯涂料也可以获得具有UV防护功能的涂料、屏蔽干扰涂料以及特殊的电热、光热涂料。图2为MXene纳米片的SEM显微照片。 图2 MXene纳米片SEM显微照片 聚多巴胺也是近年的“明星”纳米材料,它是一种类似于黑色素的物质,具有抗氧化性、光热转换性、黏附性、生物相容性和生物降解等多重特性。它对各种基材具有超强附着力的同时还具有抵抗各种恶劣环境的能力,实际上在海岸岩石上的贝壳类生物就是通过聚多巴胺使自己牢固黏合在岩石上。在高含盐海水的巨浪冲刷下都不能使之剥离。聚多巴胺还可以通过表面官能团对Ag+、Fe3+、Mn2+、Zn2+、Cu2+等金属离子进行吸附,有效阻止腐蚀体系中腐蚀离子的迁移,提升涂层耐腐蚀性。聚多巴胺包覆层可以作为二次反应平台,用作材料的进一步改性,可以将各种有机物固定在聚多巴胺表面,也可采用聚多巴胺包覆各种纳米材料,如氮化硼、碳纤维、氧化石墨烯等,不仅解决了纳米材料的团聚问题,还提升了复合涂层的防腐性能。 近5年在水性聚氨酯分散体中添加聚多巴胺发表的论文有7篇,其中1篇为聚多巴胺固定酶作为抗菌涂料,2篇为利用聚多巴胺可高效将光转化为热(light-to-heat)的特性,制备光热转化抗菌涂层和发热涂层。余下4篇分别为聚多巴胺改性碳纳米管(CNTs)、聚多巴胺分散氧化石墨烯(GO)、还原氧化石墨烯(rGO)以及层状双金属氢氧化物(layereddoublemetalhydroxide,LDH)提升水性聚氨酯耐腐蚀性。 405篇论文中仅有数篇涉及钝化防腐以及缓蚀防腐。如在纳米改性水性聚氨酯中添加苯并三唑纳米胶囊;合成含膦酰基的聚氨酯-丙烯酸杂化乳液;在聚氨酯结构中引入具有缓蚀作用的Co+离子,以及在埃洛石纳米管中附着的Co+离子[如式(1)所示]。 式(1) 精选的近5年发表的405篇论文中,有84篇涉及到提升水性聚氨酯疏水性,其中16篇为有机硅改性,17篇为有机氟改性,23篇为油脂改性,4篇为笼型聚倍半硅氧烷(POSS)改性。纵观这些论文,改性方法并无新意,所谓创新点大多是复合改性,引入其他新概念,其中47篇添加了各种“明星”纳米材料。 通常纳米材料不会直接提升涂层疏水性,其机理为增强涂膜物化性能的同时提升涂层表面粗糙度,从而提升涂膜表面水接触角。 超疏水涂料(水接触角>150°,滚动角<10°)也是近年研究热点,近年有13篇关于水性聚氨酯超疏水论文发表。超疏水涂料通常需要在疏水涂料表面获得微纳米结构(荷叶效应)。获得涂料表面微纳米结构的方法可分为平板印刷法(lithography)、模板法(templating)、等离子体处理法(plasmatreatment)、化学挥发沉积法(chemicalvapordeposition)、多层自组装法[layer-by-layer(LBL)self-assemblytechnique]、旋涂法(spincoating)、相分离法(phaseseparation)、静电纺丝法(electrospinning)、溶胶-凝胶法(sol-gelmethod)、水热法(hydrothermalmethod)。在水性聚氨酯涂料中当然也可以使用这些方法。13篇文献中,2篇为静电纺丝,1篇采用多层自组装(LBL),1篇采用凝胶-溶胶法。对于水性聚氨酯涂料,自消光树脂涂膜本身就是微纳米粗糙表面。因此水性聚氨酯涂料有很好的基础可以通过自消光树脂获得超疏水涂层。其中有一篇就采用了自消光水性聚氨酯获得超疏水涂料。还有一篇论文方法更为简单,纳米材料改性后用细砂纸打磨获得微纳米表面结构。 开发具有抗菌功能的涂料是涂料工业发展的方向之一。抗菌涂料通常可以通过2种方式实现:阻止微生物在涂料表面附着(anti-adhesivesurfaces)和杀菌表面(bactericidalsurfaces)。防黏附表面可以阻止微生物在涂层表面附着进而阻止微生物生长。有多种方法可以降低微生物在涂料表面附着,最为常见方法是制备疏水或超疏水表面涂料。而杀菌涂料是在涂料中引入可杀灭细菌的功能材料或结构。 获得杀菌涂料最简便的方法是在涂料中添加抗菌剂,抗菌剂主要有有机抗菌剂(包括天然有机抗菌剂、合成有机抗菌剂)和无机抗菌剂两大类。抗菌涂料的发展方向是开发低毒、广谱、长效的水性涂料。 将有机抗菌剂引入高分子结构,可以有效防止抗菌剂迁移损失,获得长效作用。同时将抗菌剂引入高分子也可降低抗菌剂毒性。对于水性聚氨酯涂料树脂,抗菌剂中引入活性氢基团即可将抗菌结构引入聚氨酯。近年有数篇论文将新型抗菌剂引入水性聚氨酯树脂,如合成杀菌功能结构乙内酰脲的扩链剂,ZnL2,以及引入低毒天然抗菌剂芦荟大黄素、姜黄素,这些天然抗菌剂自身就含有可以与异氰酸酯反应的活性氢基团,如式(2)所示。 式(2) 聚多巴胺可以将酶固定在聚多巴胺纳米颗粒表面获得固定化酶制剂。有人将抗菌酶溶葡萄球菌酶(lysostaphinenzyme)固定在聚多巴胺纳米颗粒上添加到水性聚氨酯中,获得特效抗金黄色葡萄球菌(staphylococcusaureus)水性聚氨酯涂料。聚多巴胺还具有将光能高效转化为热能的作用,近年发表论文中有一篇为聚多巴胺光热转化(light-to-heat)抗菌涂料,涂料在光照下产生热杀死细菌。 纳米银是最有效的无机抗菌材料,将纳米银分散在高分子涂膜中可以赋予涂料长效抗菌性能。对磺酸钠环烷烃也是近年热点,采用对磺酸钠环烷烃作为分散剂可以在水性聚氨酯分散体中原位获得纳米银,如式(3)所示。 式(3) 量子点(quantumdots)具有光催化功能,可以将氧分子转化为氧自由基,水分子转化为氢氧根自由基。这些自由基具有很强的杀菌作用。近年有数篇论文涉及量子点光催化水性聚氨酯杀菌涂料的报道。可以直接添加量子点在水性聚氨酯涂料树脂中,也可采用有机金属骨架(如ZIF-8)或表面树枝状纤维纳米二氧化硅(DFNS)附着量子点而后添加到水性聚氨酯中。 随着信息技术的飞速发展,计算机网络、信息处理设备、电子通信设备及各种电器设备作为信息技术的载体已在各个行业广泛应用,特别是电子元件小型化、高度集成化以及电子仪器仪表轻量化、高速化和数字化,势必造成硬件设备与设备之间,元器件与元器件之间因硬件设备易受外界的电磁干扰而出现失误,从而带来严重后果。电磁屏蔽涂料是最为常用的电磁屏蔽材料。 电磁屏蔽涂料以导电涂料为主,通常是在有机树脂中添加导电填料获得。导电填料通常为金属粉体(金属系)或石墨、炭黑(碳系)。 作为探索性学术研究,简单添加很难在SCI期刊上发表。发表的20余篇关于水性聚氨酯电磁屏蔽涂料论文中,8篇采用碳纳米管、多壁碳纳米管,6篇采用MXene,4篇采用石墨烯,4篇采用无电镀(electrolessplating,比如化学镀)金属银、铜、镍等的短切纤维如碳纤维、聚酰亚胺纤维,2篇采用银纳米线(silvernanowires),1篇涉及到导电高分子聚吡咯,1篇涉及到导电高分子聚苯胺,当然这2种导电高分子单独使用效果不明显,不能作为主体材料,而是作为修饰材料修饰银纳米线或MXene。 自修复涂料可以分为外援自修复(extrinsicselfhealing)和本征自修复(intrinsicself-healing)。外援型自修复中,最常用的是添加微胶囊,当材料受到损伤导致微胶囊破裂,修复剂释放出来填充到损伤区域;本征型自修复主要为通过可逆的动态共价键(二硫键、二硒键、Diels-Alder反应等)和动态非共价键作用(氢键、金属配位键、离子键等)来实现材料的自修复。 近年发表的关于水性聚氨酯自修复涂料论文37篇,其中36篇为本征自修复,其中可逆动态二硫键20篇、二碲键1篇、Diels-Alder(DA)反应自修复10篇、酰腙自修复2篇、位阻脲自修复1篇、香豆素UV自修复1篇、多重氢键自修复10篇、金属离子配位5篇、离子配位1篇、主客体(host-guest)配位1篇。 水性聚氨酯本征自修复研究主要是针对水性聚氨酯合成开发自修复功能结构的扩链剂,如式(4)所示。 式(4) 对于Diels-Alder反应自修复需要2种功能单体,有2篇研究论文分别将双键顺丁烯酰亚胺功能结构引入水性聚氨酯,而将共轭双键结构通过巯基呋喃引入纳米二氧化硅或纳米聚多巴胺颗粒表面,形成纳米复合自修复水性聚氨酯[如式(5)所示]。 式(5) 有5篇金属离子配位自修复论文,笔者认为采用金属离子配位实现羧酸型水性聚氨酯自修复难以实现。配位金属离子通常为Zn2+、Fe3+离子,在羧酸水性聚氨酯体系中,羧基对这些金属离子的结合能力远大于配体对金属离子配位能力,有2篇论文直接用水性聚氨酯中羧基与Zn2+形成配位实现自修复,但羧酸锌离子键根本就不属于动态离子键,从碳酸锌熔点392℃就能看出羧酸锌盐结合能力过强,达不到动态键标准。这几篇论文都是复合自修复,自修复来自其他自修复作用,样品存在自修复能力应该与金属离子配位无关,金属离子真正起到的作用是交联作用。 通常自修复过程需要一定的外部条件,如加热光照,以及对损伤后时间要求。自修复也存在不同的目的,如功能自修复(耐腐蚀性等)和美学自修复(涂膜表面损伤复原)。对于涂料行业,笔者认为自修复还仅仅是个概念,特别是本征自修复远达不到实际应用要求。开发高硬度常温自修复涂料还仅仅是个梦想,虽然近年论文中有6篇论文称为常温(room-temperature)自修复涂料。但查看这些论文,合成的水性聚氨酯涂膜材料极为柔软,100%模量不到2MPa,断裂伸长率超过1000%,这不是涂料。这种柔软水性聚氨酯无需自修复功能化,本身就具备常温自修复性能。柔软材料断裂面相互接触时,分子链会发生相互扩散而黏连,且聚氨酯本身还含有具备自修复功能的氢键。如果过分比喻,嚼过的口香糖就具备100%自修复功能。 笔者认为外援自修复可能是自修复涂料值得深入研究的方向,但在水性聚氨酯涂料领域近5年仅有1篇论文发表。这篇论文采用异佛尔酮二异氰酸酯(IPDI)微胶囊,长效性有问题,即使包覆很严密,最多也只能在涂膜中稳定存在不超过6个月,涂膜使用6个月后就会失去自修复性能。 阻燃涂料与防火涂料实际上是2个不同概念,阻燃涂料,指的是其涂料本身具有阻燃特性;防火涂料,指的是涂料能保护基材不被点燃或隔绝外部燃烧高温,保护基材不受高温作用而失去其力学性能。防火涂料通常首先是阻燃涂料,在火灾现场,非膨胀型防火涂料受高温燃烧形成碳化釉状物保护基材或形成泡沫层。而膨胀型防火涂料高温形成泡沫层,阻隔氧气以及隔热。 水性聚氨酯涂料研究较多的是阻燃涂料,通常可以通过在涂料配方中添加阻燃功能填料(添加型)和将阻燃功能结构通过共价键引入涂料树脂分子链(反应键合型)获得。反应键合型将阻燃结构引入了树脂分子链中成为树脂的一部分,相比较添加型可以有效阻止阻燃剂迁移以及因不使用填料而减少填料带来的负面作用,提升涂膜物化性能。阻燃水性聚氨酯也是近年研究热点之一,近5年发表SCI论文42篇。其中大部分为反应键合型(36篇),少量为添加型(6篇)。 对于反应键合型阻燃水性聚氨酯涂料,核心是开发含有阻燃结构的反应型阻燃剂。由于卤素系列阻燃剂(阻燃结构)被禁用,反应型阻燃剂一般选用磷系和氮系,磷系效果远高于氮系而成为主流研究方向。 早已成熟开发并已经商业化的反应型阻燃剂在近年研究中也被采用,用于聚氨酯软硬泡的2个系列商品化反应型含磷阻燃剂OP550和Fryol-6[式(6)]被用于阻燃型水性聚氨酯合成。 式(6) 更多论文(12篇)是基于9,10-二氢-9-氧杂-10-磷杂菲-10-氧化物(DOPO)合成了一系列反应型阻燃剂,如式(7)所示。 式(7) 有人采用DOPO把其他阻燃结构,如铁(催化聚合物碳化),多氮结构合成多重复合反应型阻燃剂用于水性聚氨酯合成,如式(8)所示。 式(8) 含氮反应型阻燃剂研究较少,氮阻燃效果较差,氮系阻燃剂只是燃烧过程释放氮气带走热量,没有形成碳化釉壳保护基材效果,只能作为辅助阻燃剂。仅有1篇论文合成了氮系反应型阻燃剂[式(9)]用于水性聚氨酯合成。 式(9) 添加型看似没有技术含量,但把热点纳米引进也能发SCI论文,黑磷烯无疑是其中热点之一。红磷曾经广泛作为阻燃剂,而黑磷是红磷的同素异形体,只是黑磷具有了石墨类似层状结构,层与层之间也仅有弱范德华作用,也像石墨剥离出石墨烯,黑磷也可以剥离出单层二维纳米片黑磷烯。近年有3篇关于采用黑磷烯作为水性聚氨酯阻燃剂的研究,建议产业界人士保持一种观望态度即可,黑磷制备非常困难,更别谈黑磷烯了。黑磷是采用白磷在12000个大气压下加热制备,与碳制备钻石压力相近,可以说黑磷就是磷钻石。目前黑磷价格约5000元/g,是黄金的10倍。 其他引入纳米概念的纳米阻燃添加剂也能发SCI论文,如石墨烯附着聚多巴胺而后连接DOPO;微晶纳米纤维素表面修饰后再连接DOPO;海泡石纳米纤维附着三氧化二铁。 消光涂料需要获得表面微粗糙结构以对入射光造成漫反射。自消光涂料获得表面微粗糙结构通常可以采用2种方法:大颗粒和表面收缩起皱。近年关于自消光水性聚氨酯涂料研究论文发表不算多,有10篇。其中8篇为大颗粒水性聚氨酯自消光树脂,此7篇自消光水性聚氨酯之所以能发表属于复合创新,1篇为引入生物基概念,1篇引入聚丁二烯二醇(HTPB),2篇有机硅改性,1篇有机氟改性,1篇核壳杂化,1篇抗菌自消光。2篇涉及到表面收缩形成微皱(micro-winkle)获得自消光,都为UV固化水性聚氨酯。采用特殊UV固化工艺,如采用波段为222nm的短波段紫外光(UVC)固化UV水性聚氨酯涂料,由于UV水性聚氨酯自身对短波紫外有强吸收,无需光引发剂就能引发固化反应,正由于树脂自身对短波紫外有强吸收,222nm紫外光仅能穿透涂膜表面数个微米,使得涂膜表面先于本体固化而形成表面收缩力,获得微起皱表面(图3)。 图3 收缩形成的微皱表面 生物基水性聚氨酯无疑是近年研究的热点,但恰恰是生物基水性聚氨酯最缺乏实质性创新。虽然近年有大量关于生物基水性聚氨酯研究论文发表,但大多是在炒夹生饭。发表论文最多的竟然是早就用于聚氨酯合成的蓖麻油改性水性聚氨酯,只是硬生生加入新概念,如纳米材料、抗菌、疏水、非异氰酸酯工艺。笔者一直认为生物基水性聚氨酯正确发展方向应该是采用生物方法制备的可分离纯化、结构确定的生物基单体合成,如采用生物基IPDI、生物基1,5-戊二异氰酸酯(PDI)、生物基己二酸、生物基琥珀酸、生物基1,3-丙二醇、生物基聚四氢呋喃(PTMEG)等。当然如果采用这种路线,研究工作重点就不在水性聚氨酯自身。 前面已经论及水性聚氨酯学术研究表面上有与应用研究同质化现象,也在做配方试探。设计一个体系,做系列配方,测定一些结果,获得一些结论,缺乏理论深度。近年愿意做纯理论研究的人很少,这里就不得不提及加拿大科学院院士,多伦多大学MitchellA.Winnik教授及其团队。Winnik院士团队近年在水性双组分聚氨酯涂料理论方面连续发表6篇论文,他们采用荧光能量转移(fluorescenceresonanceenergytransfer,FRET)探针研究了羟基树脂与固化剂混合过程、异氰酸酯在反应体系中的分布、涂膜结构以及反应动力学。 2 结语 从事应用研究和开发的研发人员,需要了解学院派学者都在做什么,也必须理解学院派的研究和我们的差异性。学院派的研究追求新奇特,无需考虑实际应用中的市场、成本、工艺、法律要求,学院派研究对我们有参考价值,但并不能直接为应用服务。 学术论文存在极为严重的“文献污染”。记得40年前(笔者1984年在中国科学院读研究生)我的文献课老师在课堂上说过一句话,“把学术文献砍掉95%,对人类科学进步没有任何影响”。那是在1984年,国外“文献污染”就如此严重。而40年后的今天,中国正在经历一场SCI论文大跃进,从1987年发表SCI论文4880篇(未查到1984年数据,估计在数百篇)到2023年的87万篇,超过美国成为发表论文最多国家。学术论文灌水已经成为学术研究的一场灾难。
免责声明:本网站所转载的文字、图片与视频资料版权归原创作者所有,如果涉及侵权,请第一时间联系本网删除。
官方微信
《腐蚀与防护网电子期刊》征订启事
- 投稿联系:编辑部
- 电话:010-62316606
- 邮箱:fsfhzy666@163.com
- 腐蚀与防护网官方QQ群:140808414
















