双相不锈钢是指固溶组织中铁素体相与奥氏体相约各占一半、且两者的任一相比例不低于30%的不锈钢。由于双相不锈钢含有约各占一半的奥氏体和铁素体两相组织的特点,通过正确控制化学成分和热处理工艺,将奥氏体不锈钢所具有的优良韧性和焊接性与铁素体不锈钢所具有的较高强度和耐氯化物应力腐蚀性能结合在一起,使双相不锈钢兼具铁素体不锈钢和奥氏体不锈钢的性能特点。
1 双相不锈钢的发展历程
尽管双相不锈钢年产量只占不锈钢产量的不足1%,但是并不影响双相不锈钢在不锈钢家族发展中的重要地位。双相不锈钢所具有的高合金、N合金化、双相组织特点,使其天然具备了高强度、高耐腐蚀性能,从而成为在高端装备应用中不可或缺的不锈钢钢类。
不锈钢的发展已经有百年历史,相对于其他不锈钢钢类而言,双相不锈钢的发明相对较晚,在20世纪30年代才出现。1935年法国获得第1个双相不锈钢专利,20世纪双相不锈钢的发展经历了3代。
第1代双相不锈钢以40年代美国开发的329钢为代表,含高铬、钼,耐局部腐蚀性能好,但碳含量较高(碳质量分数不高于0.1%);60年代中期瑞典开发的3RE60钢已经是超低碳型双相不锈钢。
70年代以来,二次精炼技术的发展以及氮元素对维持相平衡、提高耐蚀性重要作用的发现,发展了超低碳型含氮第2代双相不锈钢,其代表钢种为2205,这成为双相不锈钢的重要里程碑。
在此基础上,通过进一步提高合金含量及耐点蚀当量PREN值,20世纪80年代后期发展了第3代双相不锈钢即超级双相不锈钢,其PREN值大于40,典型代表钢种为2507,这类钢中较高含量的铬、镍、钼和氮等合金元素,较好地平衡了铁素体和奥氏体之间的相比例,使之具有更佳的耐腐蚀性及更高的强度,为双相不锈钢在高端领域的应用提供了保障。
相对于国际双相不锈钢钢种的发展,中国双相不锈钢的钢种研发起步相对较晚,并在相当长的时间内处于跟跑国际双相不锈钢研发的阶段。20世纪70年代,中国钢研集团钢铁研究总院开始进行双相不锈钢的研发,此时国际上正处于第2代N合金化双相不锈钢的发展时期,鉴于N合金化对双相不锈钢组织及性能控制的重要作用,在中国双相不锈钢发展初期就紧跟国际双相不锈钢发展趋势,确立了将N合金化作为双相不锈钢的发展方向。
20世纪70—80年代,钢铁研究总院牵头并联合多家生产及应用单位,借鉴瑞典的3RE60双相不锈钢,采用N合金化进行可焊接且耐应力腐蚀的00Cr18Ni5Mo3Si2材料及生产工艺的开发,以解决石油化工设备18-8不锈钢应力腐蚀开裂问题。1985—1988年,该钢种在中国18个大中型炼油、石油化工、化肥、制盐等企业的多种重要设备上使用,证明了其具有优良的耐微量氯离子应力腐蚀及耐中性氯化物溶液局部腐蚀性能。00Cr18Ni5Mo3Si2双相不锈钢的成功开发是中国双相不锈钢生产及应用的里程碑。
不锈钢炉外精炼和连铸工艺技术对中国不锈钢及双相不锈钢的发展起到了积极的推动作用,自1977年中国AOD炉外精炼技术获得成功、1985年中国首台立式不锈钢连铸机投产以来,随着不锈钢AOD及连铸技术的不断进步,中国双相不锈钢不断向高纯净、低能耗、高效率的方向发展,极大地提高了其品质及市场竞争力,并以用量和产量最大的第2代双相不锈钢2205为载体开始规模化生产及应用。随着中国高端装备的发展及国际双相不锈钢的发展,近年来超级双相不锈钢在中国得到快速发展。
进入21世纪后,特超级双相不锈钢和经济型双相不锈钢成为双相不锈钢发展的两个重要方向。特超级双相不锈钢含有更多的合金元素,获得更高强度和更优良的耐蚀性,例如2707钢理论PREN值达到49,可用于更加苛刻的含氯环境。经济型双相不锈钢具有低镍含量且不含钼或仅含少量钼的成分特点,其中,2101钢以其低镍、含锰和氮、含少量钼的成分特点,取得了较大发展及应用,也成为双相不锈钢重要发展方向及产量增长点。
目前,双相不锈钢体系已经形成了包括3代双相不锈钢、经济型双相不锈钢、特超级双相不锈钢等在内相对完整的系列,中国双相不锈钢跟随国际发展的趋势,也经历了从第1代到第3代以及经济型双相不锈钢的发展历程,并在特超级双相不锈钢的研究、生产及应用方面进行着积极探索。
2 中国双相不锈钢产量变化及应用拓展
2005—2021年期间,中国双相不锈钢的产量得到快速增长,从0.08万吨增长至24.06万吨。结合钢种及应用发展,中国双相不锈钢产量经历了大约3个阶段。
2005—2007年属于产量增长的起步期,产量不超过1万吨,比例不超过0.1%,其中2005年产量不足1000吨;2008—2014年属于产量增长的积累期,产量已经可以维持在1~5万吨;2015—2021年属于产量增长期,产量已经稳定在5万吨以上,其中2015—2018年产量近乎呈直线增长;2018—2021年产量持续稳步增长,在不锈钢中的比例稳定在0.6%以上。
中国双相不锈钢在经历产量不断增长、品质不断提升的同时,在应用、品种、专业化程度上也发生着巨大的变化。
在巩固和提高双相不锈钢在石化等主要应用领域用量的同时,其应用领域也不断拓展,在油气输送、化学品船制造、核电、建筑、石油炼化、环保工程、轨道交通、建筑幕墙、水利工程、罐箱、板式换热器、纸浆造纸、食品机械等多个领域得以应用,特别是近年来在油气输送、化学品船制造、桥梁、建筑等领域推广应用效果显著。中国双相不锈钢在满足国内工程需求、替代进口的同时,还在国外工程项目中得到应用。
在桥梁、建筑领域,作为经济型双相不锈钢的典型应用,太钢生产的2304双相不锈钢螺纹钢筋在世界最长、设计寿命超过120年的港珠澳跨海大桥得到成功应用,太钢生产的2205双相不锈钢冷板用于迪拜标志性建筑——ADIC工程(阿布扎比移民局大楼)遮阳伞支撑架的制作。
在油气输送领域,继2003—2004年新疆塔里木盆地克拉2气田等西气东输工程采用了宝钢特钢和久立特材公司生产的2205双相不锈钢管材后,久立特材的2205焊管用于制作PDO(阿曼国家石油公司)天然气集气管线,武进不锈钢公司的2205,2507无缝管出口用于阿尔及利亚国家石油公司Kurvers Piping高硫原油输送管线项目等。
值得关注的是,在“十三五”期间,以太钢为代表的双相不锈钢板材生产企业,通过突破高品质双相不锈钢板材成套关键制备技术,实现了经济型双相不锈钢(2101,2304,2003)、中合金型双相不锈钢(2205)、高合金超级型双相不锈钢(2507,S32760,2906)等热轧、冷轧卷板的系列化研发生产,热轧卷板最大厚度达到12.0 mm,其中,太钢2205双相不锈钢中板在目前世界上最先进、最大吨位49000吨级的双相不锈钢化学品船制造中得到应用。
与此同时,在双相不锈钢管材制备方面,结合中国不锈钢热穿孔技术发展、热穿孔设备及冷轧装备的集成,实现了热穿孔装备涵盖φ55~720 mm全系列双相不锈钢荒管的高效热穿孔,以及φ610 mm口径双相不锈钢管材的制备及应用。
总体来讲,中国双相不锈钢发展至今,其产量及应用已经从长期处于跟跑国际发展的阶段逐渐过渡到与国际双相不锈钢发展并跑阶段。
3 中国双相不锈钢研究进展
在不锈钢大家族中,双相不锈钢是唯一具有两相组织基体的不锈钢钢类。合金元素对相比例的不同影响及其在两相中的差异化分配,给了双相不锈钢较大的组织、性能调控空间,也给双相不锈钢加工及制备、组织及性能控制带来难度。
鉴于N合金化在双相不锈钢发展历程中至关重要的作用,以及N的精准控制对双相不锈钢组织及性能控制的关键影响,国内相关企业通过研究N在双相不锈钢钢中溶解和脱除规律以及不同元素对N在钢中溶解规律的影响,结合实际装备条件,就双相不锈钢冶炼工艺研究及优化开展了大量的工作,已经实现了对双相不锈钢中N元素的精准控制,为中国双相不锈钢组织、性能保证及相关研究奠定了良好的基础。
在双相不锈钢的研究及生产工艺改进中,其特点即双相组织、高合金、N合金化所带来的双相组织调控及性能提升、析出敏感性及析出相特性、热塑性特点一直是研究热点。
01 双相不锈钢两相平衡设计及研究
长期以来,广大双相不锈钢生产及研究工作者比较注重成分及热处理工艺对双相不锈钢相比例影响的研究以及双相不锈钢相比例平衡的控制。研究和计算表明,关键元素对双相不锈钢铁素体含量变化绝对值的贡献不同,其中N含量影响最大。对双相不锈钢进行Cr当量、Ni当量系数修正,可以有效提高双相不锈钢的两相含量预测准确性。但是,双相不锈钢合金设计及控制不仅要关注两相比例的平衡,更需要关注两相性能的平衡。
对于不锈钢的关键耐局部腐蚀性能-耐点腐蚀性能,一般以整体耐点蚀当量PREN值作为钢种设计和保证耐蚀性能的重要参数,主要采用经验公式PREN=w(Cr)+3.3w(Mo)+16w(N)。大量研究及应用表明,相对于其他不锈钢钢类,双相不锈钢具有双相基体组织,会发生选择性腐蚀。
双相不锈钢的耐点腐蚀性能不仅取决于其整体PREN值,更取决于铁素体和奥氏体两相中的相对弱相,实现双相不锈钢PREN值平衡设计及控制、提升双相不锈钢整体耐点腐蚀性能,就成为双相不锈钢使用性能的重要保障。
Cr、Mo、N是不锈钢中影响耐点腐蚀性能及PREN值的关键元素,这些合金元素在两相间具有不同的分配系数,使得双相不锈钢中铁素体相和奥氏体相之间的PREN值PRENα、PRENγ存在差异,耐蚀性差的相将被优先腐蚀,钢的实际耐点蚀性能取决于PREN值较低的相。
以2507超级双相不锈钢作为研究载体,采用平衡态热力学计算方法,获得2507两相PREN值的变化规律,结果如图2所示,得出影响双相不锈钢两相PREN值平衡的重要因素即合金成分和温度的影响。
由图2可知,当温度在1100~1200 ℃变化时,2507奥氏体(FCC)和铁素体(BCC)相PREN随成分的变化出现了交点,说明在该温度和成分条件下,可以获得奥氏体相和铁素体相PREN值相等即两者平衡的两相组织。为此,可以通过调整双相不锈钢合金成分和和温度,调节相关元素在两相中的分配,实现双相不锈钢两相PREN值的平衡。
1150 ℃时Cr、Mo、Ni、N对两相PREN差值ΔPRENα-γ的影响如图3所示,ΔPRENα-γ=0即达到两相PREN值平衡。
受到合金元素对两相比例及元素在两相中分配的影响,Cr、Ni、Mo、N关键元素对2507两相PREN值产生了不同的影响规律,在给定温度下,由于Cr、Mo、N为提高PREN值的元素,因此随着Cr、Mo、N含量的增加,铁素体和奥氏体两相的PREN值均逐渐提高;而随着Ni含量的增加,PRENα值逐渐提高、PRENγ值逐渐降低。
总的来讲,Mo含量对两相PREN值影响较大,但是N对双相不锈钢两相PREN值平衡调整具有更重要的作用。N作为间隙原子,主要固溶于八面体间隙较大、具有FCC结构的奥氏体相中,在四面体间隙较小、具有BCC结构的铁素体相中固溶度极小,因此随着N含量的增加,PRENα值变化极小,而PRENγ值显著提高,例如在1150 ℃,N质量分数从下限0.24%增大至0.32%后,PRENα值仅增加0.6,而奥氏体的PRENγ增加量达到2.1,约为PRENα值增加量的3.5倍。为此,就调节两相PREN差值、以实现两相PREN值平衡而言,N的作用显著,通过N含量调整两相PREN值、获得具有PREN值平衡的两相组织更加高效和经济。相关研究的实测数据及组织观察验证了N对调整双相不锈钢两相PREN值、提升其整体耐点蚀性能的重要作用。
现代双相不锈钢N合金化特点使得同时提高并合理匹配Cr、Mo、N等合金元素,设计出具有两相比例及性能平衡,具有更高耐腐蚀性能及强度的双相不锈钢成为可能。N元素在维持两相比例及性能平衡、提高双相不锈钢力学及耐腐蚀性能方面起到不可替代的作用。对于双相不锈钢而言,耐点腐蚀性能是关系到双相不锈钢使用性能的重要指标,两相PREN值平衡应成为双相不锈钢设计的准则之一,并应在实际生产及应用中得到重视。
与此同时,针对双相不锈钢高合金、N合金化特点,以及长期困扰双相不锈钢的腐蚀性能提升和纯净度控制问题,“十三五”期间,国内开展了以“Al强化脱氧”“渣系优化”“钙处理”“弱搅拌技术”为核心的“低[O]含量、高纯净的双相不锈钢冶炼技术”研究。通过适量Al脱氧,可有效降低钢中氧含量,同时防止AlN的形成,解决了采用Si脱氧能力不足的问题;通过精炼渣系和钙处理工艺优化,实现Al2O3的改性和有效脱除;通过氩气弱搅拌工艺优化,促进了夹杂物的上浮。通过相关技术的突破及工业化验证,采用适量的Al强化N合金化双相不锈钢脱氧的工艺已经得到认可及推广。纯净度的提高为双相不锈钢腐蚀性能的提升提供了保证。
02 双相不锈钢有害相析出研究
一般认为,在300~1000 ℃温度区间,双相不锈钢中会形成大量的不受欢迎的二次相,既有奥氏体不锈钢中常见的σ、M7C3、M23C6等析出相,也可能有Cr2N、CrN、χ、R、π、α′相。高合金化是双相不锈钢重要发展方向之一,特超级双相不锈钢的出现,已将双相不锈钢的有害析出相温度推高至1070 ℃以上。
双相不锈钢中的析出相大都含有较高的Cr、Mo和N,其析出不但造成了耐腐蚀性能的显著下降,而且给钢的成形带来很大困难,为此,双相不锈钢有害析出相的研究得到广大双相不锈钢工作者的重视。研究表明,在这些相中,危害最大的是σ相,在相当长的时间内,σ相和Cr2N的研究得到广泛关注,通过研究进一步探明了σ、Cr2N有害相的析出特点及其对双相不锈钢性能的危害。
对于含Mo的双相不锈钢(包括第2代、超级及特超级双相不锈钢),具有四方结构的σ相是其关键有害相,即使少量σ相的析出也对双相不锈钢塑韧性和耐腐蚀性能危害极大。对于不含或仅含少量Mo的经济型双相不锈钢,对其性能造成影响的关键析出相为具有六方结构的Cr2N,但其影响比σ相小。
随着双相不锈钢应用范围的不断拓展以及用户对双相不锈钢性能的要求不断提升,鉴于双相不锈钢组织中的二次奥氏体(γ2)形态、成分与一次奥氏体(γ)的区别及其对性能的影响,γ2的研究逐渐受到关注,高温形成的γ2更难通过热处理方式消除,从而对双相不锈钢的性能带来影响。但到目前为止,对双相不锈钢中γ2的研究大多局限于焊接领域,且研究材料主要集中在2205双相不锈钢,双相不锈钢变形材生产过程中的γ2及其相关研究尚未得到足够的重视及系统的研究。
对于双相不锈钢而言,存在一个有利于高温γ2形成的“合金-温度-冷却速率”组合。在高温冷却过程中,由于受铁素体向奥氏体转变的热力学驱动和合金元素扩散的动力学条件限制,当冷却速率极大时,由于动力学条件的严重不足,将使高温下单一(或较多)铁素体组织得以保存,或在铁素体晶界发生极少量的奥氏体转变;当冷却速率较小时,合金元素的扩散动力学条件较好,将发生近似平衡态的转变;存在一个较小的冷却速率范围,使得高温下单一(或较多)铁素体在转变过程中,出现一个与动力学条件相匹配的热力学条件,有利于高温γ2的形成及长大。
在双相不锈钢中,高温γ2的典型形貌通常可分为3种,即晶界奥氏体(GBA)、魏氏型奥氏体(WA)和晶内奥氏体(IGA),此外,还观察到部分依附于一次奥氏体转变的奥氏体(PTA)。
针对2507超级双相不锈钢γ2的相关热模拟试验(图4)研究表明,当2507试样从1300 ℃冷却时,冷却速率为83 K/s的试样中未能形成γ2,冷却速率为8.3 K/s的试样中已经开始有γ2形成,如图4(a)所示,随着冷却速率的降低,魏氏型奥氏体(WA)、晶界奥氏体(GBA)和晶内奥氏体(IGA)开始逐渐析出,当冷却速率为5.0 K/s时,组织中的奥氏体大多为魏氏型奥氏体(WA),如图4(b)所示。
2507超级双相不锈钢中魏氏型奥氏体(WA)的Cr、Ni、Mo等合金元素含量与铁素体相比差异较小,但其Cr、Mo、N含量均高于一次奥氏体。在双相不锈钢的γ2中,魏氏型奥氏体(WA)以其特殊的形貌、元素分配将对双相不锈钢耐腐蚀性能、韧性、疲劳性能等带来影响,因此其形成机制及消除工艺研究应该引起足够的重视。
魏氏型奥氏体(WA)可以在铁素体晶界或奥氏体与铁素体之间的相界形核和生长,其形核有两种方式:
(1) 无Cr2N参与的γ2形成。在冷却过程中,γ2以体形核或晶界形核两种方式优先从组织中析出。
(2) 有Cr2N参与的γ2形成。如图5所示,Cr2N的析出导致周围区域出现贫Cr现象,有利于γ2的形成,Cr2N作为γ2的形核位置,同时为γ2提供一部分生长所必需的N元素,另一部分N仍由铁素体相提供。γ2不断形成及生长,Cr2N最终消失。在这种方式中,γ2的形核与长大是一个由Cr2N分解参与及控制的过程。通过适当的热处理工艺,可以消除和减小γ2对双相不锈钢性能的不利影响。
03 双相不锈钢热塑性研究
由于双相不锈钢中两相组织高温下的硬度不同以及在热变形过程中具有不同的软化机制,在奥氏体和铁素体中具有不均衡的应力和应变分布,在高温热变形过程中,裂纹易在双相不锈钢的相界形核和扩展。双相不锈钢的热塑性不但与钢种密切相关,还受到应变速率、变形温度、奥氏体相形貌等因素的影响,热塑性一直是中国双相不锈钢工作者的研究热点之一。
在双相不锈钢发展过程中,双相不锈钢研究工作者就多个典型钢种如2101,2205,2507,2707等进行了相关的热加工塑性模拟研究工作,并积极在实际生产中进行验证。结果表明,在1100~1200 ℃双相不锈钢具有较好的热塑性,2707和2507的热塑性显著低于2101和2205,2101和2205的热塑性比较接近,研究结果为实际生产过程中根据热变形方式、加工钢种及规格等因素确定合理的热变形温度区间奠定了基础。
与此同时,还就两相组织的软化机理进行了探索,采用平面应变热模拟方法,在1~10 s-1的应变速率压缩试验条件下,对2205热压缩试样进行TEM观察,如图6和图7所示,发现2205试样的铁素体相可以通过动态回复及再结晶进行软化,而2205试样的奥氏体相,即使在1200 ℃的高温下,也由于不能获得足够的应变而只能通过动态回复进行软化。
除此之外,双相不锈钢生产及研究工作者根据不同品种生产开发的需要,进行了有针对性的热加工模拟研究,为相关品种的开发及工艺优化提供技术支持。
针对中国双相不锈钢管材热穿孔需要,进行双相不锈钢热扭转模拟研究,发现了双相不锈钢的热扭转峰值应力的温度敏感特性,通过控制适合的穿孔温度及工艺参数,可以保证双相不锈钢热穿孔塑性,为双相不锈钢热穿孔工艺制定提供了理论依据及指导。2205双相不锈钢热穿孔特性模拟及其与1Cr18Ni9Ti的对比如图8所示。
针对双相不锈钢热连轧卷板的变形特点,对2205双相不锈钢进行应变速率为50 s-1、连续4道次的平面应变试验模拟研究,每道次的应变量设计为0.25,试验温度为950~1100 ℃,并与304不锈钢进行对比,结果如图9所示。
由2205和304试样各道次峰值应力的变化趋势可见,二者有着较大的差异。在950~1000 ℃变形温度区间,2205试样在连续应变过程中,从第1道次到第2道次,其峰值应力有所提高,之后的第3和第4道次,其峰值应力又有所下降。在1050~1100 ℃变形温度区间,从第1到第4道次变形,2205试样的峰值应力则逐渐下降。可见,在连续多道次高应变速率变形过程中,变形温度对2205钢的连续软化能力有明显的影响。而304试样在连续多道次高应变速率变形过程中,从第1道次到第2道次,组织产生软化,其峰值应力有所下降,在随后的第3~4道次变形中,又产生了硬化,其峰值应力逐渐提高。可见,在高应变速率的连续应变中特别是在相对较高的变形温度区间,双相不锈钢2205比304材料更易于发生软化,相关研究结果为2205双相不锈钢热连轧工艺参数的制定提供了帮助。
近年来,以2507为主的超级双相不锈钢的产品开发逐渐得到重视,超级双相不锈钢Cr、Mo、N含量高,热变形抗力大,热加工难度大,热变形条件下铁素体和奥氏体的力学性能和软化机制存在较大差异,武敏针对2507热轧钢卷易出现边裂和表面纹等缺陷的问题,开展了不同温度及应变速率条件下的热塑性模拟研究,特别是针对热连轧的高速变形工况,进行了应变速率高达25 s-1的热塑性模拟研究。研究表明,与2205双相不锈钢一样,在超级双相不锈钢的热变形过程中,铁素体相在很宽的温度区间都能获得良好的动态软化,而奥氏体相只有在较高的温度下才能发生动态软化,超级双相不锈钢的软化也主要由奥氏体相的软化所控制。
图10所示为铸态2507在不同变形条件下奥氏体相和铁素体相的再结晶比例。可以看出热变形过程中铁素体相的再结晶程度一直高于奥氏体相,铁素体相的再结晶比例在各变形条件下基本相当,约为60%,受变形温度和应变速率的影响较小;奥氏体相的再结晶比例随着温度的升高显著增大,变形温度是影响奥氏体再结晶的最重要因素。在1200 ℃变形时,奥氏体相再结晶比例显著升高,0.1 s-1和25 s-1应变速率的试样分别为35%和50%。相关研究结果用于实际生产工艺的优化,解决了热轧卷板的边裂问题,提高了太钢超级双相不锈钢热轧卷板的成品率和生产效率。进一步的分析发现,当变形温度达到1200 ℃时,由于高应变速率削弱了应变分配效应,并且增大了奥氏体相中的位错密度,因此提高应变速率可以促进超级双相不锈钢的动态再结晶。
04 双相不锈钢低温冲击韧性影响因素研究及性能提升
近年来,随着对双相不锈钢材料特性认识程度的提高,其应用范围不断拓展,尤其是低温环境下的拓展应用,使低温冲击韧性及其影响因素正逐渐成为双相不锈钢的研究热点之一。双相不锈钢的韧脆转变温度一般介于常见的铁素体不锈钢和奥氏体不锈钢之间,如图11所示。
室温下呈现体心立方(BCC)结构的铁素体相具有明显的韧脆转变(DBT),其塑韧性低于具有面心立方(FCC)结构的奥氏体相,通常认为双相不锈钢中的铁素体相显著降低其冲击韧性特别是低温冲击韧性,在双相不锈钢使用温度范围内特别是较低温度下,奥氏体相的韧性要远高于铁素体相。但最近已有研究发现,在高氮-高锰-低镍的HNASS中也存在韧脆转变现象。尽管目前就HNASS的断裂机制未形成统一观点,但毋庸置疑其与钢中高的N含量密切相关。
就合金成分而言,C、N显著降低铁素体相的冲击韧性及韧脆转变温度,其对铁素体相冲击韧性的影响要远大于奥氏体相。幸运的是,在双相不锈钢中,由于铁素体相和奥氏体相不同的晶体结构,合金元素特别是间隙元素C、N在两相中发生了显著的分配。C、N作为强烈形成和稳定奥氏体、扩大奥氏体相区的元素,主要固溶于奥氏体中。换句话说,可以认为,现代较高Cr、Mo、Ni含量的N合金化双相不锈钢的两相由富集Ni、C、N的奥氏体相和超低C及N的富Cr、Mo含Ni的铁素体相组成,这种相组成特性为双相不锈钢获得优良低温冲击韧性创造了良好的条件。
虽然双相不锈钢中铁素体相的冲击韧性特别是低温冲击韧性仍然不及奥氏体相,但其超低C、N含Ni特性,在一定程度上为铁素体相冲击韧性提供了保障,为双相不锈钢工作者通过调整合金元素、相含量、相形态等手段提高双相不锈钢冲击韧性特别是低温冲击韧性,拓展双相不锈钢低温使用温度范围带来可能。
遵循不同变形断裂机制的铁素体相和奥氏体相,其比例势必对双相不锈钢的冲击韧性影响显著,目前普遍认可的影响双相不锈钢冲击韧性的主要因素为α/γ两相比例和有害相析出。
钢铁研究总院和久立特材公司的研究结果表明,固溶温度以及由其影响的相比例变化对2507低温冲击韧性影响显著,铁素体含量的增加不但显著降低2507的低温冲击韧性,而且使得令冲击韧性显著下降的温度明显提高,如图12所示。
在双相不锈钢的两相组织中,当某一相的比例达到或超过50%时,该相将形成网状或近似网状结构。奥氏体相含量越高,试样中的奥氏体相越接近于形成网状结构。这种具有较高韧性的奥氏体相的增加不仅减小了铁素体相含量及奥氏体/铁素体相界,从而减少了冲击过程中的裂纹萌生部位,而且,呈网状或近似网状结构的韧性奥氏体相,在冲击裂纹扩展过程中对裂纹起到很好的阻碍作用,从而提高了双相不锈钢的整体冲击韧性。经1050 ℃和1070 ℃固溶处理的2507试样,其奥氏体体积分数达到49.94%和48.10%(接近50%)时,其低温冲击韧性显著高于经1100~1200 ℃固溶、铁素体含量较高的2507试样。一般来讲,当双相不锈钢中奥氏体相体积分数达到46%~48%以上时,可以有效地提高双相不锈钢的低温冲击韧性。
图13所示为经1000 ℃和1020 ℃处理、析出不同含量σ相的2507冲击韧性及其与经1050 ℃处理、无有害相析出2507的对比情况。可知σ相对2507冲击韧性影响显著,少量的σ相就可以导致2507冲击韧性的下降,主要有以下几个特点:
(1) σ相含量对2507冲击韧性影响显著,当σ相含量较多时,无论室温冲击韧性还是低温冲击韧性均低于10 J;
(2) 少量的σ相析出对室温冲击韧性影响相对较小,经1020 ℃热处理的2507,其室温冲击韧性仍然可以达到约200 J;
(3) 相对于室温冲击韧性,双相不锈钢的低温冲击韧性对σ相更加敏感,即使经1020 ℃热处理的2507试样中仅有约1.3% σ相的析出,也足以导致其低温冲击韧性的显著下降,例如,经1020 ℃处理的2507,其-60 ℃的Akv≤40 J、-100 ℃的Akv≤20 J。
图14所示为经1050 ℃+水冷+650 ℃+水冷热处理后充分析出Cr2N的2507的冲击韧性,可见Cr2N对冲击韧性影响显著,Cr2N的析出可以使室温冲击下降至约78 J;当测试温度低于-10 ℃时,含有Cr2N的试样低温冲击功呈直线下降;Cr2N的析出可以使-40 ℃及-60 ℃低温冲击下降至约46 J和33 J。但是,与σ相相比,Cr2N的析出对2507冲击韧性的影响相对较小。
细化晶粒可提高铁素体相断裂韧性,考虑到铁素体相晶粒有较大的粗化倾向,以及其BCC结构的脆断敏感性,对双相不锈钢的晶粒竞争性长大行为及晶粒形态对冲击韧性的影响也不容忽视。图15所示为1050~1250 ℃固溶处理40 min后2507试样的晶粒尺寸。
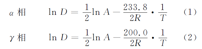
将图15中横坐标转换为K-1,纵坐标取对数后进行线性拟合,分别得到试验钢种铁素体相晶粒和奥氏体相晶粒尺寸与平均晶粒尺寸之间的关系:
式中:D为粒径;A为相关常数;R为气体常数,取8.31 J/(mol·K-1);T为固溶处理温度。
从式(1)和式(2)可以看出,两相晶粒遵循不同的表观激活能长大粗化。其中,α、γ相表观激活能分别为Qα=233.8 kJ/mol、Qγ=200.0 kJ/mol。在更高的表观激活能作用下及同样的固溶温度提升程度下,与奥氏体相晶粒相比,双相不锈钢中铁素体相晶粒长大速度更快,且在1150~1200 ℃以上温度时出现更为显著的粗化现象。
根据研究结果,在足够的变形条件下,可以通过成分和固溶温度的合理匹配设计,获得具有足够奥氏体含量、相对细小的铁素体相,从而为获得良好低温冲击韧性的双相不锈钢奠定基础。与此同时,微量元素的调整及相形态等也是影响双相不锈钢低温冲击韧性的重要因素,成分变化可以通过增加/减弱α和γ强韧化程度对双相不锈钢整体冲击韧性产生影响;变形工艺导致的相形态变化,则通过改变裂纹扩展路径对钢的冲击韧性造成影响。
4 结论
(1) 中国双相不锈钢的研究及开发起步晚,但得益于近年来在两相平衡设计、高纯净度及N含量精控冶炼、双相组织协调变形的热加工工艺、热处理组织性能调控等全流程协同工艺技术的进步,中国双相不锈钢发展到今天,其产量及应用已经从长期处于跟跑国际发展的阶段,逐渐发展到与国际双相不锈钢并跑阶段。
(2) 在未来的发展过程中,中国双相不锈钢将持续关注工艺优化及成本控制、组织精细化控制及性能提升、合金化理论及新钢种研发,将沿着高品质、高性能、国际化、应用高端化继续发展。
免责声明:本网站所转载的文字、图片与视频资料版权归原创作者所有,如果涉及侵权,请第一时间联系本网删除。
官方微信
《腐蚀与防护网电子期刊》征订启事
- 投稿联系:编辑部
- 电话:010-62316606
- 邮箱:fsfhzy666@163.com
- 腐蚀与防护网官方QQ群:140808414


















