官方微信
《腐蚀与防护网电子期刊》征订启事
- 投稿联系:编辑部
- 电话:010-62316606
- 邮箱:fsfhzy666@163.com
- 腐蚀与防护网官方QQ群:140808414
点击排行
PPT新闻
“海洋金属”——钛合金在舰船的
点击数:8440
腐蚀与“海上丝绸之路”
点击数:6767

各博士后设站单位:
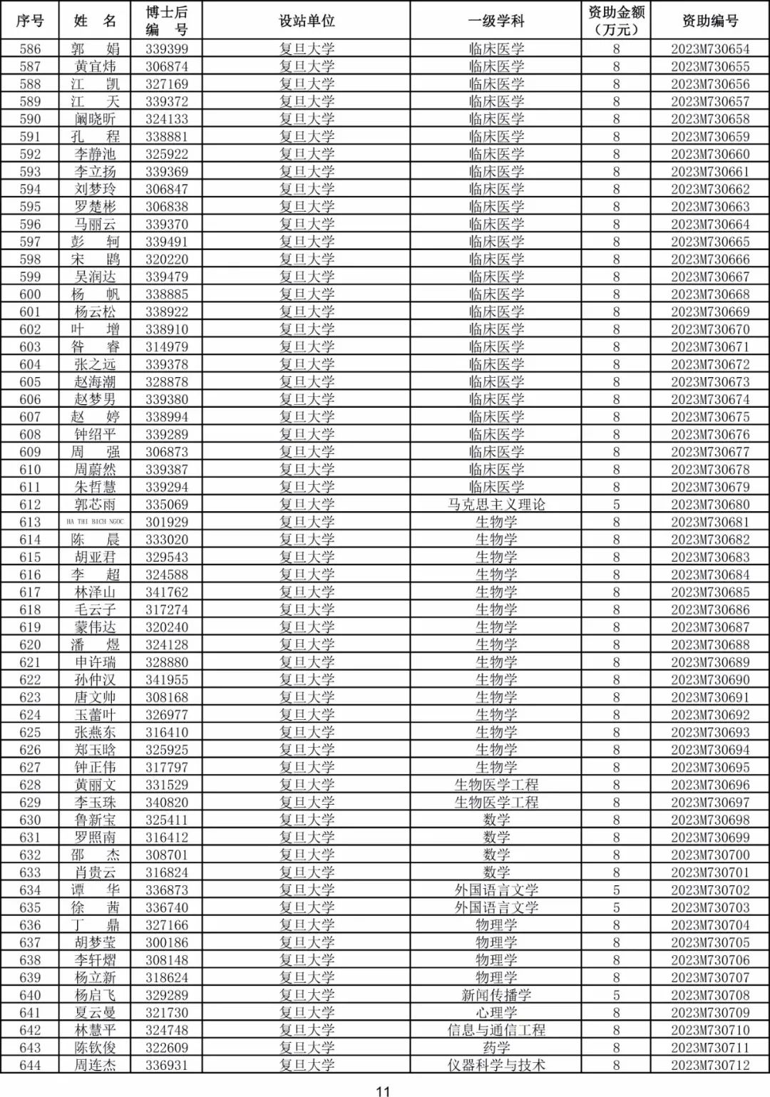
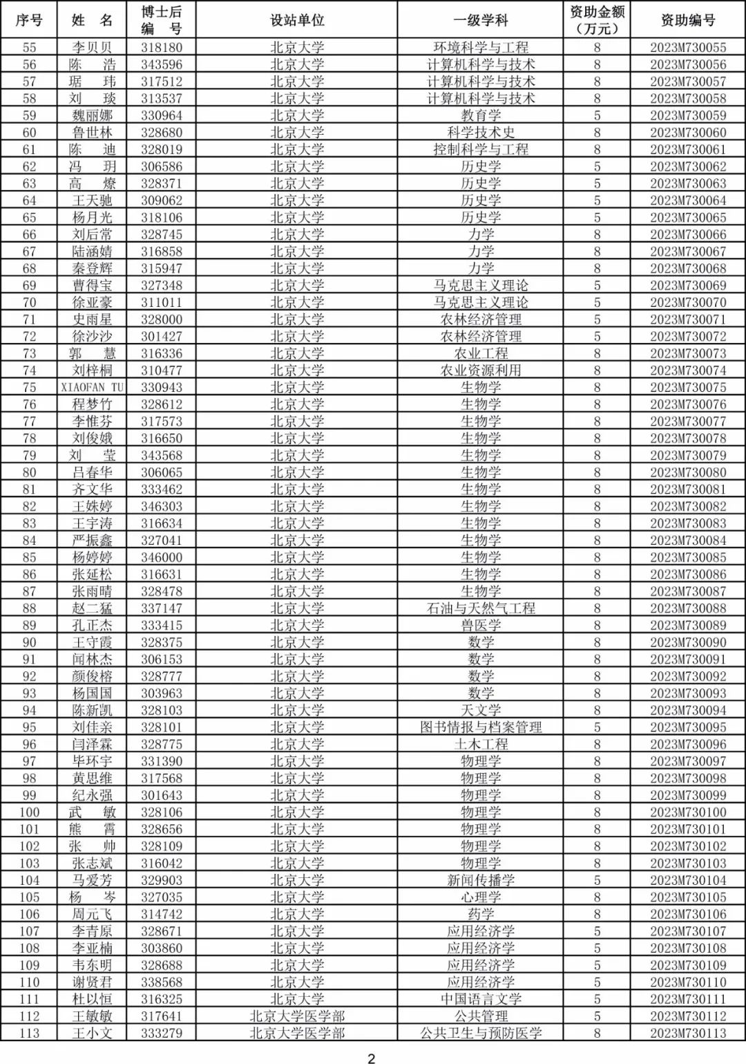
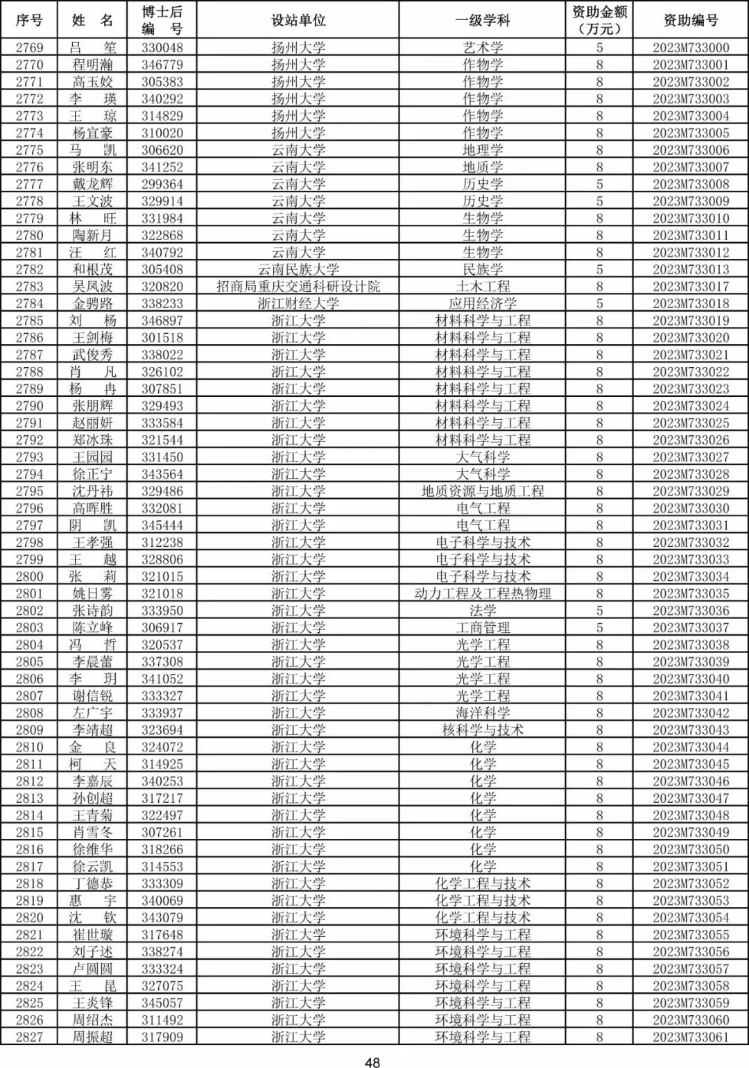
根据《中国博士后科学基金资助规定》(中博基字〔2020〕7号),经专家评审和评审结果公示,决定对4003名博士后研究人员予以中国博士后科学基金第73批面上资助(军队、国防科工系统获资助人员不含,另行通知)。获资助人员名单详见附件。
中国博士后科学基金会
2023年6月30日
官方微信