本文属于综述类论文,全面总结了近15年以来关于高熵合金力学性能和变形机制,内容主要分为三部分。第一部分是将高熵合金的力学性能与传统的多晶金属材料进行对比;第二部分详细综述了具有FCC和BCC结构高熵合金的变形机理,主要以CrMnFeCoNi 和TiZrHfNbTa合金为主线展开;第三部综述了迄今为止的理论和建模工作,旨在提供FCC和BCC HEAs力学性能的定性或定量理解。该综述包含35张经典图片,内容深刻而全面,可以在材料科学的角度,为研究高熵合金,中熵合金以及传统多晶金属材料的人提供一定的理论知识,并为材料的设计提供新的思路,加深了人们对于高熵合金的理解。
1.力学性能
图1~3展示了FCC和BCC以及双相结构的高熵合金与传统金属材料,如奥氏体钢,低碳钢,孪晶诱导塑性钢,铝合金,钛合金,镍基高温合金,镁合金等在拉伸/压缩强度和塑性,比强度等力学方面的对比。从中可以得到以下结论:
(1)高温合金在室温下具有比传统金属更高的强度和延展性,并且可以几乎覆盖所有传统金属材料的性能;
(2)传统金属的压缩强度位于1000–2300 MPa,塑性则在1~15%,高熵合金则有意义的提高了压缩强度,可以高达4390 MPa,在一些材料中,室温压缩塑性则可以高达97%。这在传统金属材料中很难实现。
(3)大多数单相FCC材料展示的拉伸力学性能与镍基高温合金与奥氏体钢相近。但强度要低于第二代高强钢。对于BCC高熵合金,其大多由难熔金属组成,力学性能与TRIP和DP钢相近。对于双相高熵合金(FCC+BCC),性能与TRIP和DP钢相近,可以媲美马氏体钢,可达8GPa,同时伴有6%的塑性。而对于BCC+HCP高熵合金,力学性能介于第三代奥氏体不锈钢和马氏体钢之间。
(4)对于比强度的对比可以发现,在服役温度达到600℃以上的时候,其比强度急剧下降。尽管如此,高熵合金还是有替代镍基高温合金的潜力。
图1:文献中报道的HEAs和CCAs的室温拉伸强度与断裂伸长率(a),和压缩强度与压缩应变(b)
图2 图1a中HEAs和CCAs的室温单轴拉伸试验数据(根据组织中存在的相分类),(a) FCC, FCC1+FCC2;(b) (b) BCC, BCC1+BCC2, (c) FCC+BCC, (d) FCC+HCP
图3 文献中报道的HEA和CCA的比强度与温度,显示了传统高温材料的比强度
2. 变形机制
在这一部分,以 FCC和BCC结构的高熵合金为主要参照对象,论文作者从固溶强化,晶粒尺寸效应,临界剪切应力,激活体积,高低温变形行为,应变速率效应以及孪晶诱导塑性等角度全面阐述了高熵合金的变形机制及其影响因素。
2.1 FCC合金的变形机制
图4 CrMnFeCoNi高熵合金屈服强度与温度和晶粒尺寸的关系
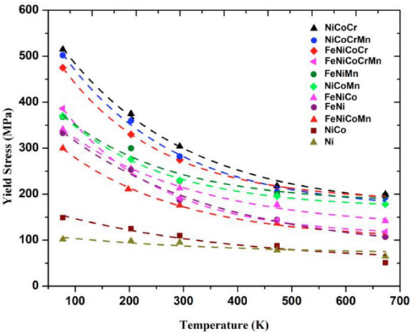
图5 CrMnFeCoNi高熵合金及其所有FCC中熵和低熵等合金屈服强度的温度依赖性
图6 CrMnFeCoNi高熵合金的代表应力-应变曲线
图7 CrMnFeCoNi高熵合金的剪切模量归一化真应变硬化速率与真应变的函数关系
图8 CrMnFeCoNi高熵合金在77k时的低应变(~5%真应变)和室温时的~22%真应变(~22%真应变)时{111}面上的平面位错排列(左)和位错纠缠形成胞状结构
图9 在77k和室温条件下,CrMnFeCoNi高熵合金的位错密度随应变的增加而增加
图10 TEM亮场图像(左)、暗场图像(中)和选定区域衍射图形(右)显示了在77 K应变到6%的CrMnFeCoNi高熵合金中的位错纠缠
图11 TEM亮场图像(左)、暗场图像(中)和选定区域衍射图形(右)显示了在77 K应变至~9%的CrMnFeCoNi高熵合金中大量的位错纠缠
图12 CrMnFeCoNi合金<111>单晶室温拉伸应力-应变响应。插图显示加载过程中原位获得的法向应变作为DIC等值线图。
图13 CrMnFeCoNi合金<111>单晶在77k时的拉伸应力-应变响应。当轴向应力为450 MPa时,第一次载荷下降表示孪晶开始;应变~3%后,将试件卸荷、抛光并重新加载,以便进行EBSD和DIC表征
图14 DIC等值线图显示3~4%应变后正常应变出现滑移和双条带
2.2 BCC合金的变形机制
图15 FCC基HEAs的脆化行为与价电子浓度的关系
图16 (a) TiZrNbHfTa高熵合金浇铸和热等静压后的组织 (左)。(b) TiZrNbHfTa高熵合金冷轧(减厚65%)、1000℃退火2 h后的SEM背散射图像
图17 TiZrNbHfTa高熵合金在三种不同组织状态下的真应力-应变曲线
图18 (a)室温塑性应变为0.85%后TiZrNbHfTa高熵合金位错亚结TEM亮场图像。(b) TiZrNbHfTa高熵合金在室温下塑性应变为0.85%后出现螺位错,并出现偶极子和位错环
图19 TiZrNbHfTa高熵合金在~10?3 s?1应变速率和不同温度下的压应力-应变曲线
3. HEAs力学性能的理论、建模与仿真
3.1 理论、建模和/或模拟的主要目标是将基本材料特性与宏观材料行为联系起来,主要思路见图20和21.相关实验与理论的结合见图22和23.
图20 建模的基本思路:将基本材料的性质与特定的变形机制联系起来,从而观察到宏观的力学行为
图21 一般的建模策略,其中力学预测理论提供材料属性和机械性能之间的联系,第一性原理计算提供化学输入和原子模拟独立揭示可能的机制,并测试和验证理论
图22 FCC CoCrFeMnNi HEA的应力(塑性)应变曲线,在温度T= 77k(蓝色,上)、173k(绿色)、293 K(黄色)和423k(红色,下)下测量的(符号)和标准模型预测的(线)
图23 两种不同HEAs在T = 293 K时测量的位错激活体积V与初始屈服后应力的Haasen图
另外,MD模拟也可以在没有任何基础理论的情况下应用,以揭示可能的机制或获得对行为的一些半定量理解。对合金进行MD模拟的主要问题是,多组分合金通常不存在可靠的无人工干扰的原子间相互作用势。即使是二元合金,高质量的电势也仅限于少数的FCC情况。
图24 (a) Zhou等人的原子间作用势和(b)利用柔性边界条件的DFT预测了TiZrNb中沿螺位错线宽度为2b的两个不同部分的螺位错核结构的微分位移图
由于HEA强化是通过通过合金的位错运动发生的,有一些与金属强化相关的经典基本概念被重新讨论,以与HEA相互验证。
图25几种模型幂律塑料材料的应力应变,与相应的数值推导的每一种合金的硬度值
在接下来的章节中,论文更详细地阐述了HEAs力学行为的理论和建模进展。
图26 所示合金的初始屈服强度,预测与实验改建的数据
图27 (a) FCC CoCrFeMnNi HEA的固溶(非霍尔-佩奇)对初始屈服强度与温度的贡献,如预测的(红色符号)和测量的(黑色符号);虚线表示使用略微不同的位错线张力值的预测。(b) Co-Cr-Fe-Mn-Ni族等成分合金在T=293 K时,非Hall - Petch对初始屈服强度的贡献,实验与预测对比
图28 标准化屈服强度和标准化硬度与(CoCrFeMn)xNi1-x的成分,如测量的(黑色方块),如Varvenne等人的理论预测的(灰色钻石),和通过合金弹性模量的估计变化的理论预测的(灰色三角形)。
图29 测量的标准化初始屈服强度(外推到T = 0 K)与平方根原子位移,如测量的实验(黑色圆圈,CoCrFeMnNi)或DFT预测(黑色三角形)。
图30 预测与理论的一系列BCC HEAs的初始屈服应力,
图31 在T = 300 K时,预测与实验相比,各种BCC HEAs的屈服。
图32 Maresca和Curtin的无参数刃型位错模型预测了三种BCC HEAs的屈服强度与温度的关系。该理论捕获了相对于合金成分的强化的总体幅度,尽管不能预测900-1200 K范围内的强度范围
图34 (a)纯Ni、稀Ni- Fe和中熵Ni- Fe - Co合金的FCC刃型位错离解构型的原子预测,表明层错分离的变异性随着无序度的增加而增加[246]。(b) Fe-Co-Ni不锈钢模型的局部堆垛错能(SFE)的原子映射,SFE是由每个原子周围的局部成分和合金中边缘位错的平衡配置定义的。局部SFE变化很大,部分位错调整以使涉及贡献的总能量最小化
图34 实验测量的孪晶应力与稳定层错能。实验(黑色符号)和各种理论(灰色符号,虚线)值得显示
图35 HAADF-STEM (a)对称中心映射图;(b)原子模拟;(c)晶格部分位错与NiCoCr中已存在的孪晶/hcp畴相互作用以促进hcp畴生长
免责声明:本网站所转载的文字、图片与视频资料版权归原创作者所有,如果涉及侵权,请第一时间联系本网删除。
相关文章
官方微信
《中国腐蚀与防护网电子期刊》征订启事
- 投稿联系:编辑部
- 电话:010-62316606-806
- 邮箱:fsfhzy666@163.com
- 中国腐蚀与防护网官方QQ群:140808414
点击排行
PPT新闻
“海洋金属”——钛合金在舰船的
点击数:7130
腐蚀与“海上丝绸之路”
点击数:5741






































