强辐照、高温和冷却剂腐蚀环境下材料的服役行为是制约先进核能系统研发的问题之一。近日,中国科学院近代物理所在合金材料的高温水腐蚀和辐照/腐蚀研究方面取得进展。
近代物理所核能工程材料室研究人员针对超临界水冷反应堆结构材料面临的强辐照和高温高压水腐蚀环境,自主设计、建造了高温高压水动态腐蚀实验装置,用于反应堆候选结构材料的高温水腐蚀和辐照/腐蚀模拟研究。该装置运行的最高温度为700 ℃、最高压力为10 MPa、最快水流速为10 m/s、最低氧浓度为5 ppb。
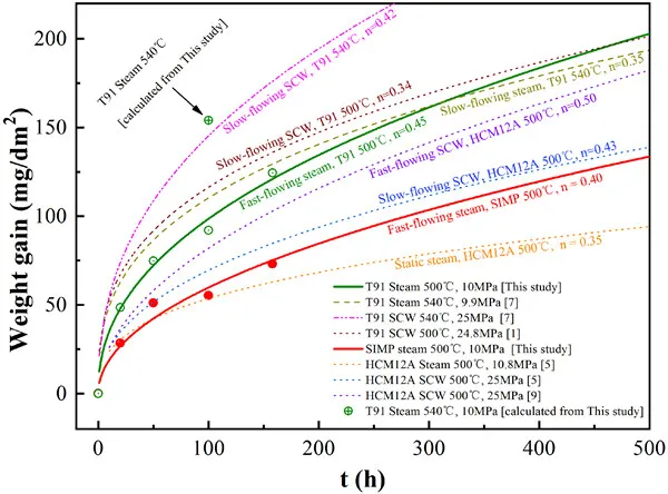
利用兰州重离子加速器(HIRFL)等装置提供的重离子束和高温高压水动态腐蚀装置,科研人员开展了超临界水冷堆候选材料——SIMP和T91铁素体/马氏体钢的高温水腐蚀动力学及辐照/高温水腐蚀行为研究。结果表明,SIMP钢比T91钢具有更好的抗水腐蚀性能。研究还发现,流速增强腐蚀现象及流速对氧化膜的组成结构有显著影响。重离子辐照/高温高压水腐蚀实验结果证实,辐照导致材料腐蚀速率显著增大。根据实验结果,科研人员对材料的高温水腐蚀行为及其在辐照环境下抗腐蚀性能退化的机制进行了探讨。
这些成果为先进水冷堆候选材料的快速筛选和评价提供了重要的研究平台、实验方法和科学数据。
相关成果发表在Corrosion Science上。研究工作得到国家自然科学基金联合基金重点项目、中科院重点部署项目和兰州重离子加速器国家实验室等的支持。

图1.高温高压水动态腐蚀装置示意图

图2.SIMP和T91钢的腐蚀动力学曲线(流速5 m/s、氧含量5 ppb)

图3.T91钢的氧化膜厚度随辐照剂量的变化(温度450 ℃、流速5 m/s、压力10 MPa、氧含量5 ppb)
免责声明:本网站所转载的文字、图片与视频资料版权归原创作者所有,如果涉及侵权,请第一时间联系本网删除。
相关文章
官方微信
《中国腐蚀与防护网电子期刊》征订启事
- 投稿联系:编辑部
- 电话:010-62316606-806
- 邮箱:fsfhzy666@163.com
- 中国腐蚀与防护网官方QQ群:140808414
点击排行
PPT新闻
“海洋金属”——钛合金在舰船的
点击数:7130
腐蚀与“海上丝绸之路”
点击数:5741



