为奖励在科技进步活动中作出突出贡献的公民、组织,自2000年开始,中国设立了国家最高科学技术奖、国家自然科学奖、国家技术发明奖、国家科学技术进步奖、中华人民共和国国际科学技术合作奖5项国家科学技术奖,这些奖项都极具含金量,因此很难获得,且每年发布一次。
随着2019年度国家科学技术奖励大会在人民大学堂落下帷幕,国家三大奖在我国已经运行了19年,那么在这19年的时间里,我国高校表现如何?哪些高校获得的奖项最多呢?一所高校累积获得的奖项越多,说明这所高校实力越强,表现越优秀。
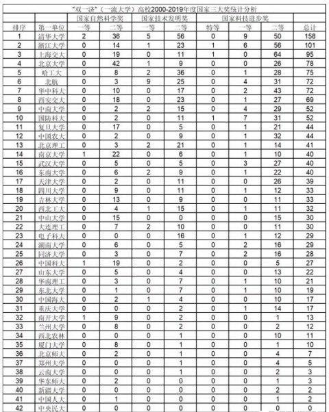
从统计数据来看,清华大学可谓是我国高校三大奖获得者的泰山北斗,自国家三大奖设立以来,累积获得158项奖励,其中一等奖就有16项,不管是获奖数量和质量均遥遥领先其他所有高校,这些极具含金量的奖项再次验证了清华作为我国第一科研高校的绝对实力。

浙江大学获奖数量也超过了100项,获奖数量仅次于清华大学,同时也是仅有的在获奖数量上超过了100项的高校之一,很明显,浙江大学在部分领域已经超过北京大学,正快速接近清华大学,这些极具说服力的数据从侧面肯定了浙江大学近年来取得的进步。国内外高校排行榜经常将浙大排在国内第三位,深厚网友诟病,但是事实证明,往往进步越快的高校,越是被各种网络愤青黑的最惨,而浙江大学用实力证明了自己的地位。

上海交通大学获奖数量位居第三,共获得95项奖励。从其近五年的获奖数量可以看出,上海交通大学表现一直比较稳定,每年获奖数量保持在5项及以上,如果不出意外,明年其获奖数量将突破100项,与清华大学和浙江大学并列。作为一所以工科为主的高校,上海交通大学近年来保持了持续稳定的进步,不管是国家重大研发计划还是教育部学科评估、一流学科建设等方面,均走在了我国高校前列,相信不久的将来,建成世界一流高校指日可待。

一向与清华大学并肩齐名的北京大学获奖数量并不如人意,此次屈居第四位,19年来共获得78项科学技术奖,与前面3所高校差距较大,与后面的哈工、北航、华科3所高校差距较小,根据北京大学近年来的表现,预计未来三年其获奖数量将会被北航、哈工、华科三所高校赶超。当然,作为一所文理类高校,北京大学能获得如此多奖项已经很不错了,毕竟三大奖是工科类高校的强项。

哈尔滨工业大学作为一所工科强校,共获得75项科学技术奖,位列第五位,以微弱优势领先北京航空航天大学和华中科技大学。

北京航空航天大学和华中科技大学同样作为以工科为主的国内实力强校,均累积获得72项科学技术奖,并列我国高校第六位。从2019年国家科学技术奖获奖数量来看,两校都表现优秀,且发展势头迅猛,均以获得7项科学技术奖并列国内高校第二位,仅次于清华大学。


西安交通大学位列第八位,19年来累积获得科学技术奖69项。此前,西安交通大学奖项数量一直位列高校前6位,但是本年度西安交通大学表现不佳,获奖数量只有2项,被北京航空航天大学和华中科技大学超越并拉开了微小的差距,因此西安交通大学想要赶超,需要付出更多的努力了。

排在第九位的既不是复旦大学、南京大学这些华东名校,也不是中山大学、武汉大学这些名气较大的高校,而是位于长沙的中南大学和国防科技大学,根据统计显示,两校累积获得52项科技奖,并列第九,其表现可谓称得上非常优秀。然而不可否认的是,与上面八所高校相比,差距可谓触目惊心,即便与排在第八位的西安交通大学相比,奖项数量也相差了17项,想要跟上前面高校的节奏,预计至少需要5-10年,甚至更多。

此外,复旦大学、中国农业大学累积获奖44项,并列第11位,北京理工获奖41项,并列第13位,南京大学、武汉大学、东南大学均获奖40项,并列第14位。其余高校获奖数量则都没有超过40项。
高校实力的强弱一直是人们争论不休的话题,有人以录取分数线作为评判依据,有人以高校名气作为吹捧的依据,有人则直接按照高校排行榜来论高低,其实这些都很浮躁很前面,国家科学技术奖相对而言更具有说服力,其一方面显示出一所高校的科研实力和人才培养,另一方面代表获得国家的认可程度,因此一所高校强不强,国家科学技术奖就是一面会说话的镜子。
一向在国内以规模著称的山东大学、四川大学、吉林大学、中山大学、郑州大学获奖数量均没有超过40项,而山东大学都没有超过30项,郑州大学甚至只有5项,因此部分网友将获奖数量与高校规模进行挂钩是完全错误的,事实证明,高校获奖只与科研实力有关,高校规模再大,如果没有雄厚的科研实力,同样很难获得国家科学技术奖。
令人尴尬的是,中山大学、同济大学、南开大学、厦门大学这些被众人看好,并在各大高校排行榜上位居前列的高校,获奖数量竟然如此少。当然,最尴尬的并不是他们,而是中央民族大学,他是42所一流高校中唯一一个获奖数量挂零的高校,这与其学科属性有关。

免责声明:本网站所转载的文字、图片与视频资料版权归原创作者所有,如果涉及侵权,请第一时间联系本网删除。
官方微信
《中国腐蚀与防护网电子期刊》征订启事
- 投稿联系:编辑部
- 电话:010-62316606-806
- 邮箱:fsfhzy666@163.com
- 中国腐蚀与防护网官方QQ群:140808414



