摘要
本文结合双相不锈钢在国际上的发展历程,阐述了近年来中国双相不锈钢在研究、生产、应用、标准等方面的发展情况。调查表明,近年来中国双相不锈钢不但在产量上有了较大幅度的增长,其钢种组成也逐渐演变为以2205为主、多钢种系列协同发展的结构,特别是2010年以后,节约型双相不锈钢和超级双相不锈钢得到快速发展。
近年来,中国双相不锈钢的应用不但在传统的石化行业得以进一步拓展,而且,在油气输送、化学品船制造、核电、建筑等领域得以应用及拓展。中国双相不锈钢除用于国内项目建设外,由于其产量、质量不断提高,还在中东、东欧等区域得以应用。
1双相不锈钢发展历程
自从法国在1935年获得第一个专利,在二十世纪,双相不锈钢的发展经历了三代。第一代双相不锈钢以美国40年代开发的329钢为代表,含高铬、钼,耐局部腐蚀性能好,但含碳量较高(≤0.1%C),60年代中期瑞典开发的3RE60钢已经是超低碳型双相不锈钢。70年代以来,二次精炼技术的发展,以及氮元素对维持相平衡、提高耐蚀性重要作用的发现,成为双相不锈钢的重要里程碑,发展了超低碳型含N第二代双相不锈钢,其代表钢种为2205。在此基础上,通过进一步提高合金含量及PREN值,于20世纪80年代后期发展了第三代双相不锈钢即超级双相不锈钢,其PREN值大于40,代表牌号有SAF2507、UR52N+、ZERON100等,这类钢较高的铬、镍、钼和氮等合金元素的含量,较好地平衡了铁素体和奥氏体之间的相比例,使之有更佳的耐腐蚀性及更高的强度。
进入二十一世纪后,特超级双相不锈钢和经济型双相不锈钢成为双相不锈钢两个重要发展方向。特超级双相不锈钢含有更高的合金元素,获得更高强度和更加优良的耐蚀性。经济型双相不锈钢具有低镍量且不含钼或仅含少量钼的成分特点,较低成本使经济型双相不锈钢成为304、316奥氏体不锈钢甚至2205双相不锈钢的有力竞争者,同时,也成为双相不锈钢重要发展方向及增长点。
经过80余年的发展,尽管双相不锈钢年产量只占不锈钢产量的不足1%,但双相不锈钢己经成为不锈钢家族中不可或缺的,与马氏体、铁素体、奥氏体不锈钢并列的钢类。与此同时,鉴于双相不锈钢奥氏体和铁素体相各约占一半的组织特点,在成分设计上需要奥氏体和铁素体形成元素的合理匹配,且过高的合金含量将对有害相防止、热加工及冶炼带来更高的难度,双相不锈钢发展到今天,已经形成了包括三代双相不锈钢、经济型双相不锈钢、特超级双相不锈钢等在内的相对完整的系列。
中国早在二十世纪七十年代开始进行双相不锈钢的研究、开发,并确立了含N双相不锈钢的发展方向,随着双相不锈钢在国际上的不断发展,双相不锈钢在中国也在经历相似的发展阶段,并且不断与国际接轨、缩小与国际间的距离,中国双相不锈钢在产量不断增加的同时,在2000年后,在双相不锈钢研究、生产、应用、标准制定等方面均得到了较大的发展。
2近年来中国双相不锈钢的研究进展
由于双相不锈钢较高的合金含量及奥氏体、铁素体相各约占一半的两相组织特点,赋予其较高的强度及优良的耐腐蚀性能,也给其加工生产及组织控制带来相应的难度。
顺应双相不锈钢发展的潮流,近年来,双相不锈钢的研究在中国的关注度不断提高。对中国知网2000~2014年之间与双相不锈钢相关的一千余篇论文及报道进行统计发现,2000年文献只有不足10篇,2001~2004年文献数量为20~40篇/年,2005~2008年文献数量为40~60篇/年,2009~2014年间,与双相不锈钢相关的文献迅速增加,并一直稳定在每年100篇以上。
随着对双相不锈钢认识的不断深入,中国双相不锈钢工作者的研究也逐渐深入,近年来在热塑性、有害析出相及N合金元素控制方面取得了如下的研究进展。
2.1 双相不锈钢热塑性研究
由于双相不锈钢中的两相组织高温下的硬度不同以及在热变形过程中具有不同的软化机制, 在奥氏体和铁素体中具有不均衡的应力和应变分布,在高温热变形过程中,裂纹在双相不锈钢的相界形核和扩展[1]。双相不锈钢的热塑性不但与钢种密切相关,还受到应变速率、变形温度、奥氏体相的形貌等因素的影响[2],[3],[4],近年来,热塑性一直是中国双相不锈钢工作者的研究热点之一。
采用热拉伸的方法对几种典型双相不锈钢(2101、2205、2507)在变形温度950~1200℃区间的热塑性进行研究。由图1可见,随着变形温度的升高,双相不锈钢的抗拉强度逐渐降低,在同一变形温度下,合金含量的提高显着提高钢的抗拉强度,与此同时,随着变形温度的升高,双相不锈钢的断面收缩率逐渐提高,并在1100~1200℃之间维持在一个相对较高的水平。在同一变形温度下,2507的断面收缩率显着低于2101和2205,虽然2205的Cr、Mo含量高于2101,但2101成分中含有约5%的Mn,为此,2101和2205的断面收缩率基本接近。总体来讲,对于双相不锈钢而言,在1100~1200℃之间具有较好的热塑性,研究结果为实际生产过程中根据热变形方式、加工钢种及规格等因素确定合理的热变形温度区间奠定了基础。
在此基础上,中国冶金企业通过冶炼工艺优化,有效地将钢中氧含量降至30ppm以下,配合以低硫、添加稀土及硼元素等手段,为双相不锈钢的热加工奠定了良好的基础。


图1 2101、2205和2507热拉伸试验结果
2.2 双相不锈钢有害析出相研究
双相不锈钢中在300~1000℃温度区间,会形成大量的不受欢迎的二次相,既有奥氏体不锈钢中常见的σ、M7C3、M23C6等析出相,还有可能析出Cr2N、CrN、χ、R、π、α′相。由于合金元素在铁素体中的扩散速度要较在奥氏体中高得多,而且铁素体相中富集了铬和钼,有利于含有这两元素的金属间相在铁素相中形核,为此,组织转变往往发生在铁素体相中,且其析出反应要比在奥氏体中快得多。
这些有害相大都含有较高的Cr、Mo和N,其析出不但造成了的耐腐蚀性能的显着下降,而且给钢的成形带来很大的困难。在这些相中,危害最大的是σ相,除σ、χ、Cr2N和二次奥氏体外,其它相则显得不很重要[5],[6],[7],[8]。通过近年来的研究,进一步深刻认识到σ、Cr2N有害相的析出特点及其对双相不锈钢性能的危害。
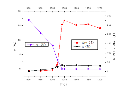
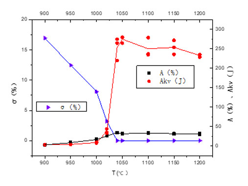
研究表明,由于Mo的存在对σ相的析出有明显的促进作用,对于含Mo的双相不锈钢(包括第二代、超级及特超级双相不锈钢),具有四方结构的σ相是其关键有害相。σ相在奥氏体/铁素体及铁素体/铁素体界面的析出不但对双相不锈钢耐腐蚀性能带来不利的影响,而且对其力学性能特别是冲击韧性影响显着。如图2所示为在不同固溶温度σ相析出对2507及2707双相不锈钢塑韧性的影响,由图2可见,对于2507双相不锈钢,当固溶温度低于1020℃时,钢的冲击韧性急剧恶化,即使固溶温度达到1020℃,钢中依然可以析出约3.2%的σ相,造成了钢冲击韧性的降低,相对于延伸率,双相不锈钢的冲击韧性对σ相更加敏感。对于2707双相不锈钢而言,即使到1050℃组织中仍有5.4%的σ相,对材料的冲击韧性造成极大的危害,1100℃以上固溶时σ相才能完全溶解,其冲击韧性才达到正常水平。
(a) 2507

(b) 2707

图2 不同固溶温度σ相析出数量及其对2507、2707双相不锈钢塑韧性的影响
对于含Mo双相不锈钢而言,其Cr、Mo含量越高,σ相析出敏感性越大,不但表现在σ相的析出数量及速度上,也表现在σ相的析出温度上。研究表明,2205双相不锈钢的σ相完全溶解温度为980~1000℃,与其同属于第二代DSS的00Cr25Ni7Mo3N,其σ相完全溶解温度达到1000~1020℃,含有更高Mo含量的2507和2707的σ相完全溶解温度分别达到1040和1070℃。当然,在特定的热处理条件下,含Mo双相不锈钢中也可以不析出σ相,而析出其它有害相,对性能带来不利的影响。
对不同保温温度及时间的2101双相不锈钢进行组织及性能研究表明[9],Cr2N的析出可以导致2101冲击韧性显着的下降,但其危害比含Mo双相不锈钢中析出的σ相小。图3给出了经不同温度固溶的2101与2205冲击韧性的对比,当固溶温度为900℃时,2101中少量Cr2N与Cr23C6的析出导致其冲击韧性有一定程度的下降,但仍然可以维持在约115J左右,但2205中σ相的析出却导致其冲击韧性下降至仅有约5J。2101双相不锈钢固溶后经600~700℃时效所充分析出的Cr2N(其形貌见图4)可以导致其冲击韧性的显着下降。由于M23C6是面心立方结构,它的滑移系要比六方结构的Cr2N多[10][11],因此,可以认为2101经600~700℃时效冲击韧性的下降主要由Cr2N析出所致。

图3 固溶温度对2101、2205冲击韧性的影响

(a) Cr2N晶内析出 (b) Cr2N晶界析出
图4 经670℃保温50h、Cr2N在2101晶界及晶内的析出
总的来讲,对于含Mo双相不锈钢,其影响最大的有害相是σ相,对于不含Mo的经济型双相不锈钢,其影响最大的有害相是Cr2N,在双相不锈钢中,具有四方结构的σ相对双相不锈钢的塑韧性危害性大于具有六方结构的Cr2N。
2.3 双相不锈钢N合金化及控制
自从20世纪70年代发现N在维持相平衡、提高耐腐蚀性能及力学性能的重要作用以来,国际上所开发的双相不锈钢钢种均为含N钢,N合金化在双相不锈钢发展历程中起到至关重要的作用,N合金化及其精确控制也成为双相不锈钢开发及生产的重要因素。结合含N不锈钢在中国的发展,实际生产过程中双相不锈钢产品规格、数量等因素,以及相关生产厂的实际装备及工艺,中国双相不锈钢的冶炼方式涵盖了真空感应、非真空感应、电炉+AOD或电炉+VOD等多种冶炼方法,对常规、批量双相不锈钢的生产以EAF+AOD为主要冶炼方式。
针对不同的冶炼工艺,N合金化主要采取两种方式,添加含氮铁合金及吹氮。通过对N在钢中溶解和脱除规律以及不同元素对N在钢中溶解规律影响的研究,近年来,相关研究院所与冶金企业结合实际的冶炼方法进行N合金化工艺开发,并引进先进的冶炼控制软件,已经能够实现双相不锈钢冶炼过程中N的偏差精确控制在±100ppm,例如,太钢通过建立AOD炉关于氮气合金化控制N含量的数学模型,预报不同成分双相不锈钢在一定温度下的饱和溶解度,已经可以实现双相不锈钢成品N含量在500~3200ppm之间的精确控制,控制精度为±50ppm,为中国双相不锈钢组织及性能控制奠定良好的基础。
3近年来中国双相不锈钢的生产及应用由于双相不锈钢特殊的双相组织及较高的合金含量,赋予其较高的强度及优良的耐点蚀和应力腐蚀性能,国外双相不锈钢已广泛地应用于各工业领域,诸如纸浆和造纸、石油化工、化学品船、陆上和海上的油气工业、制药和食品工业以及建筑业等。
随着国内对双相不锈钢认识的不断提高,以及生产水平的不断提高,近年来,中国双相不锈钢无论是在产量、品种还是在应用范围等方面均有较大的发展。
3.1双相不锈钢的生产
表1给出了2005~2014年中国不锈钢及双相不锈钢粗钢产量。十年间,中国不锈钢的粗钢产量从316.1万t增长至2169.2万t,中国不锈钢的粗钢产量在全球不锈钢粗钢的占比从12.9%增长至52%。与此同时,中国双相不锈钢的产量从2005年的828t增长至2014年的35741t,提高了3余倍,而1999年,据不完全统计,双相不锈钢在中国的消费量仅约2000t。随着双相不锈钢产量的增长,其在中国不锈钢中的占比也稳步提高,从2005~2007年的不足0.1%提高至2008~2014年的0.2%左右。

据不完全统计,在2010~2014年间,中国双相不锈钢一直稳定在2~4万吨/年, 2014年,太钢、永兴特种不锈钢股份有限公司、宝钢的双相不锈钢产量已经分别达到约2.5万吨、0.9万 吨和0.6万吨(见表2)。

在产量增加的同时,中国双相不锈钢在品种上也发生了较大的变化,其中,板材的产量近年得到较大的增长,以2205和2101产量增加更为显着。太钢是不锈钢重要的生产企业,其双相不锈钢品种以板材为主,其2011~2014双相不锈钢粗钢产量稳定在约1.5~2.5万t。就钢种而言,虽然中国双相不锈钢仍然以2205双相不锈钢为主,但从2010年开始,节约型双相不锈钢和超级相不锈钢在中国的生产得到迅速增加。
宝钢特钢作为我国双相不锈钢生产企业,其产品涵盖双相不锈钢圆钢、管材、板材及其它型材,是具有多品种规格双相不锈钢生产能力的综合性生产企业的典型代表,其双相不锈钢产品的变化可以反映中国的总体情况,图5给出了2006~2014年宝钢特钢双相不锈钢产量及各钢种、品种产量情况,自2010年宝钢特钢双相不锈钢产量突破1000万吨以来,其双相不锈钢产量得到快速增长,2014年其双相不锈钢产量已经达到6201t。与此同时,从图5(a) 可知,其节约型双相不锈钢和超级双相不锈钢产量分别从2010年和2012年开始迅速增加,从图5(b) 可知,2010~2014年间,其产量的增长主要来自于板材和管材产量的增长,从图5(c) 可知,2010~2014年间,其板材产量的增长主要来自于2205和2101两个钢种产量的增长,2507板材占比很少,从图5(d)可知,2010~2014年间,其管材产量的增长主要来自于2205和部分2507产量的增长,此外,2006~2010年间,尚有第一代双相不锈钢00Cr18Ni5Mo3Si2管材的生产,2011年以后不再有00Cr18Ni5Mo3Si2管材的生产。


图5 2006~2014年宝钢特钢双相不锈钢生产情况
对于双相不锈钢管材生产而言,图6和图7给出了中国双相不锈钢管材生产企业久立特材和武进不锈的实际生产情况,总体来讲,久立特材的双相不锈钢管材中焊管和无缝管各约占50%,而武进不锈的双相不锈钢管材以无缝管为主。从2010年开始,其超级双相不锈钢S32750的产量开始增加,并于2012~2014年开始进行了S32760管材的生产。

图8 2011~2014年久立特材双相不锈钢生产情况

图9 2010~2014年武进双相不锈钢生产情况
此外,作为国内最大的双相不锈钢管坯生产企业,永兴特钢于2015年开始尝试特超级双相不锈钢2707的冶炼及生产,其采用电炉+AOD+LF冶炼的2707双相不锈钢成分满足了标准的要求(见表3)。

3.2双相不锈钢的应用
中国双相不锈钢在经历产量不断增长的同时,其应用领域也不断拓展,在巩固和提高双相不锈钢在石化等主要应用领域使用的同时,近年来,中国双相不锈钢在油气输送、化学品船制造、核电、建筑等领域得以不断拓展。在石化装置中的多种还原性、强氧化性及含卤素离子、H2S、CO2介质等温度较高的腐蚀介质中,特别适合采用双相不锈钢解决其点蚀、缝隙腐蚀与应力腐蚀破裂问题,石化行业仍是双相不锈钢最重要的应用领域之一。我国早期开发的00Cr18Ni5Mo3Si2双相不锈钢首先用于炼油厂常减压塔、焦化分馏塔、汽提塔、催化裂化吸收塔和稳定塔的内衬[12]。
目前,中国的2205、2507等双相不锈钢已经在石化装置中的甲醇反应器、氯乙烯(VCM)氧氯化反应器、换热器、常减压冷凝器、给水加热器、催化裂化、加氢裂化等装置上得到广泛的应用[13],[14],[15]。
此同时,近年来,中国双相不锈钢在油气输送、化学品船、核电、海洋工程等领域得到拓展及应用。
2003~2004年,新疆塔里木盆地克拉2气田等西气东输工程采用了宝钢特钢和久立特材生产的2205双相不锈钢管材[16],[17]。
在我国的化学品船建造上,2002年湖北青山船厂建造的载重为18500t的化学液货船首制船用S31803板材是由法国阿塞洛公司提供,2003年续建的第二艘同型船所需板材由瑞典阿维斯塔(AvestaAS.Sweden)公司提供。2009年,由川东造船厂制造的“重庆号”9000t不锈钢化学品船液货舱内胆则首次采用太钢2205双相不锈钢[18],[19]。
在AP1000核电站中,S32101被用于换料通道、乏燃料水池、换料水池、反应堆腔室等处[20],2010年,太钢供应的S32101双相不锈钢板用于国内首座内陆核电站桃花江项目结构模块[21]。
在沿海建筑桥梁方面,太钢的双相不锈钢螺纹钢筋、连接件、折弯件组合产品通过了权威的英国CARES认证,建立了不锈钢钢筋标准和应用技术规范,其生产的8000余吨双相不锈钢螺纹钢筋在世界最长、设计寿命超过120年的港珠澳跨海大桥得到成功应用。
此外,中国双相不锈钢还在纸浆与造纸、海水淡化、脱硫吸收装置、城市轨道交通等领域得到应用。
中国双相不锈钢在满足国内工程需求、替代进口的同时,还在国外工程项目得到应用,例如,久立特材的2205焊管用于制作PDO(阿曼国家石油公司)天然气集气管线,太钢生产的2205双相不锈钢冷板用于迪拜标志性建筑——ADIC工程(阿布扎比移民局大楼)2098个遮阳伞(23980m2)支撑架的制作。

总之,随着对双相不锈钢的认识以及生产水平的不断提高,近年来中国双相不锈钢在产量、钢种、品种等方面均有较大的发展与进步,中国双相不锈钢已经摆脱2000年左右时的产量小、品种单一的状况,在产量不断增长的同时,品种逐渐多样化,与此同时,节约型双相不锈钢和超级双相不锈钢的比重越来越大。
在此基础上,中国双相不锈钢的市场拓展也有显着的发展,中国双相不锈钢已经摆脱主要用于石化等单一行业,逐渐拓展为在石化、化学品运输、核电、海洋等多领域应用的情况,而且,中国双相不锈钢也正在不断走出中国,开拓海外市场。
4中国双相不锈钢标准的发展
由于双相不锈钢兼有铁素体不锈钢较高强度及耐氯化物应力腐蚀和奥氏体不锈钢优良韧性及焊接性能优良的优点。近年来,顺应国际趋势,双相不锈钢在中国的生产发展非常迅速,在用量不断增加及逐渐替代进口的同时,其应用范围也得到不断拓展。
虽然中国双相不锈钢的研究开发起始于20世纪70年代,但在2008年以前,并没有双相不锈钢的专业标准。在中国国家标准中,在相当长的时期内,只有00Cr18Ni5Mo3N、1Cr18Ni11Si4AlTi、1Cr21Ni5Ti、0Cr26Ni5Mo2等4个钢种列入了国家标准,在2007年10月份新颁布的《不锈钢和耐热钢牌号及化学成分》(标准号:GB/T20878-2007)中,有11个双相不锈钢牌号列入新标准,包括部分超级双相不锈钢牌号(如022Cr25Ni7Mo4N、022Cr25Ni7Mo4WCuN),但在《不锈钢棒》(GB/T1220-2007)中仍然只有6个双相不锈钢牌号,且没有超级双相不锈钢,在YB/T2008-2007《不锈钢无缝钢管圆管坯》中也仅仅列出了1个双相不锈钢牌号,我国标准在双相不锈钢牌号数量、质量指标等方面已经不能满足实际需要。为了适应双相不锈钢生产及应用在中国的快速发展,有必要制订及拓展双相不锈钢专业标准。
为此,在充分了解国内外奥氏体-铁素体双相不锈钢的生产现状、技术水平、使用要求的基础上,根据国内生产企业的生产能力和用户的使用需要,参照、对比了ISO、美国、日本、欧洲等标准资料,在规格尺寸方面则主要参照了中国国家标准和实际国情,开展了中国双相不锈钢专业标准的制订工作,目前已经发布的标准有《奥氏体-铁素体双相不锈钢无缝钢管》(GBT21833-2008)及《奥氏体-铁素体双相不锈钢焊接钢管》(GBT21832-2008),已经通过审定、待发布的标准有《奥氏体-铁素体型双相不锈钢棒》(GBT31303-2014)。
在所制订的几个国家标准中,根据实际品种及发展时期的不同,收入了不同的双相不锈钢牌号,其中,《奥氏体-铁素体双相不锈钢无缝钢管》(GBT21833-2008)及《奥氏体-铁素体双相不锈钢焊接钢管》(GBT21832-2008)分别列入12和7个双相不锈钢牌号,其中包括2个超级双相不锈钢牌号022Cr25Ni7Mo4N(相当于S32750)及022Cr25Ni7Mo4WCuN(相当于S32760),《奥氏体-铁素体型双相不锈钢棒》(GBT31303-2014)标准列入15个双相不锈钢牌号。根据双相不锈钢的发展及实际生产、应用需要,增加了超级双相不锈钢022Cr29Ni5Mo2N(相当于S32950)及经济型双相不锈钢03Cr21Ni1MoCuN(相当于S32101)、022Cr20Ni3Mo2N(S32003)等牌号。
5中国双相不锈钢未来发展方向设想结合双相不锈钢在国际及中国的发展,根据中国实际情况(产能过剩情况,市场竞争激烈),探讨未来发展几个方向:
1)高品质化,通过提高钢的纯净度及产品质量,不断提高市场竞争力;2)低成本化,通过工艺优化及成分的精细化控制,控制成本,提高市场竞争力;3)钢种设计的多元合金化及定制化;4)研究更加深入与精细。在前期研究基础上,进行更加深入的第二相析出及控制研究,逐步实现相比例及形态精细化控制;5)根据国家战略,不断拓展中国双相不锈钢的应用。
(作者:钢铁研究总院宋志刚 不锈钢分会整理)参考阅读:
近年中国双相不锈钢的发展(上)
参考文献
[1]索科尔。双相不锈钢。北京:原子能出版社,1979:56-57
[2]L.Dupret,B.C.DeCooman,N.Akdut,LISm,MechanicalBehaviourofDuplexStainlessSteelatHighTemperatures.Ghentuniversity,OCASNV,SIDMARGROUP,Belgium
[3]LodeDuprez,BrunoC.DeCoomanandNuriAkdut.Deformationbehaviourofduplexstainlesssteelduringindustrialhotrolling.Steelresearch73(2002)No.12
[4]NAkdut,DiplMinandJFoct,prof,drlng,Deformationof(high)nitrogenalloyedausteniticferriticduplexstainlesssteels,thefourthduplexconference
[5]JanOlofNilsson,SandvikMaterialsTechnology,Sweden,ThePhysicalMetallurgyofDuplexStainlessSteels,2003年北京国际双相不锈钢大会[6]Bousequet,Roch.LimitationofFerriteDecompositioninSuperDuplexStainlessSteelsbyOptimizationofAlloyChemistry.ApplicationtotheControlofToughnessinHeavySectionForgings
[7]吴玖。双相不锈钢。北京:冶金工业出版社,1999
[8]Nilsson,SuperDuplexStainlessSteel.MaterialsScienceandTechnology,1992,8:685
[9]宋志刚,郑文杰,丰涵,李树健,吴忠忠,黄盛,郭海生。双相不锈钢关键有害相的析出特点及其对力学性能的影响。2012年北京国际双相不锈钢大会
[10]余永宁。金属学原理,北京:冶金工业出版社,2000,1:300
[11]方俊鑫。固体物理,上海科学技术出版社,1980,3:59
[12]王鑫武。18-5Mo双相不锈钢在炼油装置中的应用。石油化工设备,31(2002)No.5:54-55
[13]刘福伦。双相不锈钢管在大型石化装置中的应用。石油化工设计,20(2003)No.1:39-42,67
[14]高娃,罗建民,杨建君。双相不锈钢的研究进展及其应用。兵器材料科学与工程,28(2005)No.3:61-64
[15]李春树。双相不锈钢及其在炼油工业中的应用。全面腐蚀控制,17(2003)No.5:12-14
[16]陈彰兵,宋德琦,汤晓勇,张强。双相不锈钢在克拉2气田中的应用。天然气与石油,24(2006)No.3:1-6,11,73
[17]黄立。浙江久立集团双相不锈钢管应用于西气东输工程,国内企业动态。世界金属导报,第010版,2004,7,13
[18]陈国虞,周金鸿。高速船用高强度双相不锈钢,(2006)No.4
[19]石鹰,康劲林。太钢双相不锈钢装备“重庆号”,一线报道。世界金属导报,第020版,2009,4,7
[20]李庆光,冯江猛,袁明德,郑东宏。S32101双相不锈钢的焊接特性及在AP1000核电站的应用。电力建设,34(2013)No.7:85-88[21]陈强,王永泽。太钢双相不锈钢板用于内陆核电站建设。中国冶金报,第A01版,2010,12,7
免责声明:本网站所转载的文字、图片与视频资料版权归原创作者所有,如果涉及侵权,请第一时间联系本网删除。
官方微信
《中国腐蚀与防护网电子期刊》征订启事
- 投稿联系:编辑部
- 电话:010-62313558-806
- 邮箱:fsfhzy666@163.com
- 中国腐蚀与防护网官方QQ群:140808414



