金属与所处环境介质发生化学、电化学或物理的作用,引起金属的变质和结构的破坏,称为金属腐蚀。钢铁材料中电化学腐蚀占所有腐蚀的90%以上,其余极少数为化学腐蚀和物理腐蚀。发生电化学腐蚀需满足3个条件,即:阳极、阴极和腐蚀介质,通常腐蚀介质为水。
超疏水表面因其独特的微-纳结构,可以将空气“包裹”于其中,形成空气膜,将腐蚀介质与金属基材隔离,从而有效地减少金属发生氧化还原反应,防止腐蚀,因此,超疏水表面有望广泛应用于金属防腐蚀领域,在近20年受到了学者及科学家的广泛关注。通常获得超疏水表面需满足的条件为:制备具备微-纳尺度的粗糙表面和使用低表面能的物质修饰。目前制备超疏水表面的方法有:化学刻蚀法、相分离法、模板法、电化学方法、水热合成法、溶胶-凝胶法 (sol-gel法)、自组装法、气相法 (即化学气相沉积技术)等。
化学气相沉积技术(CVD)是利用气相反应物在基材表面沉积形成固态膜的技术,具有薄膜组成可控、成本低、操作简单、制备膜层重复性好、膜层均匀、适用范围广、不受基材形状限制以及对基体材料无损害等优点,是改变表面性能和微观结构的有效方法。本文综述了超疏水膜层的防腐蚀机理和气相法制备超疏水膜层在防腐蚀领域的研究进展,以及对超疏水膜层未来的展望。
1 超疏水膜层防腐蚀机理
1.1 气垫效应
Wenzel和Cassie分别就超疏水表面与液体的接触类型建立了数学模型,分别称为Wenzel模型和Cassie模型。使表面获得超疏水性能的必要条件之一为在表面上构筑具备一定粗糙度的微-纳米维度的阶层结构,因此,Wenze认为固液相之间接触的实际面积要大于表观几何上观察到的面积,并对杨氏模型进行了修正,引入了粗糙度因素r,其模型公式为:
![]()
其中,θ ‘为Wenzel模型下的接触角,r为粗糙度因素,σSV、σSL和σLV分别为固-气、固-液和液-气的界面张力,θ为理想平滑表面的接触角。
但在实际中,液体与超疏水表面的接触通常为复合接触,即在液滴与界面之间“包裹”有空气,由此,Cassie从热力学角度推导建立了Cassie模型,其方程为:

其中,θ*为Cassie模型下的接触角,f1和f2分别为两种介质在表面的面积分数,θ1和θ2分别为这两种介质上的本征接触角。
具备Cassie模型的超疏水表面,均有气垫效应的存在,而气垫效应是指超疏水表面特有的微-纳米二元结构,将空气“包裹”在其中,使基材表面形成一个个的“气袋”,如气垫一般,将腐蚀介质与基材隔开,达到防腐蚀的效果。Quéré等研究发现,对于疏水表面,陷入粗糙表面的空气处于亚稳状态的条件为:
其中,φs为液滴下固-液界面所占的比例。由此可知,当θ>90°时,空气将被“包裹”于表面微-纳米二元结构中。Ishizaki等和He等的电化学测试结果表明,只要满足该亚稳态条件,空气膜即可稳定存在于超疏水表面的粗糙结构中。
1.2 毛细效应
超疏水表面具有大量微-纳尺度的突起和孔状结构,这些结构“包裹”了大量空气,构成毛细管体系,在液、气界面,由于毛细作用,形成凸圆形界面,在毛细压力作用下,阻止液体渗入超疏水表面。毛细管中曲面压差可用下式表示:
![]()
其中,Pc为毛细压力,R为毛细管半径,γ为液/气界面表面张力。对于超疏水表面,水接触角>150°,根据上式可知,Pc<0,即曲面压差为负值,使腐蚀介质不仅不会通过间隙渗入到材料表面,还有被排出的趋势,从而减小金属基体发生腐蚀的可能性,这种效应就称为毛细效应。同时,液/气界面还承受着由液体重力产生的压力Pg:
![]()
其中,ρ为溶液密度,g是重力加速度,h为试样浸入深度。液、气界面在Pc和Pg共同作用下,平衡条件为:Pc+Pg=0由此可得:
![]()
因此,当超疏水表面浸入腐蚀介质中时,能有效将金属基体与腐蚀介质隔离开的浸入深度与液/气界面表面张力、空隙半径、腐蚀介质性质及表面疏水性密切相关;当浸入深度超过hc时,Pg>Pc,腐蚀介质渗入峰谷之间,将“包裹”的空气排出,渗入膜层,加速金属基材的腐蚀进程。同时,结合公式分析可得出,当表面粗糙度一定时,选用可有效降低界面表面能的低能物质,可有效增大液/气界面表面张力 (γ),从而提高表面疏水性能。
1.3超疏水膜层防腐蚀机理研究
张盾等采用多种方法成功制备了超疏水膜层,并对超疏水膜层的防腐蚀性能和防腐蚀机理进行了大量研究。他们制备超疏水膜层(图1a)接触角(WCA) 达到152.5°。对未经处理的锌片(BS)、“包裹”有空气的超疏水膜(SS)和没有“包裹”空气的超疏水膜(DS)3种典型试样电化学测试结果显示 (图1b),DS和BS电位稳定在-1.2 V左右,而SS电位较DS和BS更正,在-0.7~-0.6之间波动。由此可见,超疏水表面的防腐蚀性能与表面能否“包裹”空气有关。为了验证上述结论,他们还用电解法在锌表面制备了超疏水薄膜,研究了空气垫在超疏水表面防腐蚀应用中的作用,证明了空气垫对于提高超疏水表面的防腐蚀效果至关重要。
图1 超疏水膜层微观形貌场发射扫描电镜像及3.5%NaCl溶液中试样不同处理后的电位-时间曲线

Liu等把豆蔻酸熔覆于Cu表面形成超疏水表面,WCA达到158°,并认为超疏水表面的隔绝作用是气垫效应和毛细效应协同作用的结果,一方面,超疏水表面的微-纳结构将空气“包裹”在其峰谷之间,在表面形成空气膜,凭借空气的阻塞效应,隔绝腐蚀介质;另一方面,由于毛细管效应的存在,当毛细作用力大于水自身重力时,超疏水表面微孔里的水将会在拉普拉斯压力的作用下被排出,阻止了Cl-的进入,其防腐蚀模型如图2所示。
图2 超疏水表面与水的接触界面模型

文献的研究结果也验证了超疏水表面的防腐蚀机理是毛细效应和气垫效应的协同作用的结果。
1.4 超疏水膜层腐蚀破坏机理研究
由于超疏水膜层在制备过程中,产生的裂纹、气孔等缺陷,致使膜层致密性降低,采用气相法制备的超疏水膜层,虽然可以保证膜层的均匀性,但由于其膜厚较薄,在外界机械冲击或摩擦等情况下,极易产生缺陷,腐蚀将优先在这些缺陷处发生,随着腐蚀的发生、扩展,最终导致超疏水膜层失效;截至目前,仅少数学者开展了气相法制备的耐磨损、耐机械损伤超疏水膜层的研究。Ishizaki等进行了带缺陷超疏水膜层的腐蚀机理研究,由于裂缝的存在使膜层局部区域的疏水性降低,腐蚀介质通过裂缝渗入,从而发生腐蚀,伴随着腐蚀产物的积累,膜层被进一步破坏,使表面由超疏水状态变为超亲水状态,腐蚀扩展,最终超疏水膜层彻底破坏。因此,如何避免或减轻这些缺陷带来的不利影响,是超疏水膜层的研究课题之一。
2 气相法制备超疏水膜层的研究进展
目前用于制备超疏水膜层的CVD方法包括常温常压化学气相沉积 (常温常压CVD)、等离子体增强化学气相沉积 (PECVD)、气溶胶辅助化学气相沉积 (AACVD) 等。
2.1 常温常压化学气相沉积
常温常压CVD不需要复杂精密设备,沉积薄膜组成及结构可控,具有成本低、操作简单、制备膜层重复性好、膜层均匀、适用范围广以及对基体材料无损害等优点。
Rollings等研究了甲基三氯硅烷(TCMS)合成纳米纤维的影响因素,包括反应物浓度和配比、反应物分布均一性、合成时间和催化剂用量;相关学者还研究了反应温度对制备膜层疏水性的影响;Karla等采用拉曼原位监测技术研究了CVD制备碳纳米管 (CNT) 的形成和生长过程。他们的研究成果推动了气相法制备超疏水膜层的基础研究和工艺优化。
Georg等采用CVD技术,利用TCMS沸点低以及与水反应迅速的特点,在铝合金、棉花、玻璃等材料表面,沉积形成一层透明且具有超疏水性能的聚甲基硅倍半氧烷膜层 (图3),其中铝合金表面制备的超疏水膜层的WCA为 (168±1)°,滚动角 (SA) 为(8±1)°,大气自然环境暴露1 a后 (图4),仍然保持优异超疏水性能,并且通过热处理可显着提高膜层的环境耐久性;同时,该膜层在有机溶剂、中性溶剂、弱酸溶液以及弱碱性清洁剂溶液中仍具有优良的化学稳定性。表明CVD法制备的硅烷纳米线超疏水膜层具有优异的环境耐久性和化学稳定性。
图3 硅烷纳米线膜层的SEM像

图4 硅烷纳米线超疏水膜层WCA和SA与暴露时间的关系

Rezaei等采用常温常压CVD技术,在玻璃、硅片和铝片上成功制得了超疏水膜层。CVD技术和sol-gel法制备超疏水膜层的超疏水性能的对比研究显示:CVD法制备膜层的疏水性优于sol-gel法。吴俊升等采用CVD技术改性1 h即获得了液相法改性7 d的超疏水性能,膜层的超疏水稳定性能更稳定,在3.5%NaCl溶液中浸泡21 d时,WCA仍高达135°,且膜层完整。Ebert等[46]在经过O2/CF4等离子刻蚀的PDMS表面,分别采用C4F8等离子改性和常温气相沉积PFOTCS进行改性制备了超疏水表面,并对其超疏水性能进行了鉴定。
综上所述,采用常温常压CVD技术改性制得的超疏水膜层相较于sol-gel法等液相法改性制得的膜层疏水性、均匀性、化学稳定性和环境耐久性均更优异。但该方法制得的超疏水膜层的疏水层很薄,通常为单分子或几个分子层厚度,耐冲击和磨损能力弱,仅能用于不受力的场合。
2.2等离子增强化学气相沉积
PECVD是指借助外部所加电场的作用引起放电,使原料气体成为等离子体状态,变为化学上非常活泼的激发分子、原子、离子和原子团等,促进化学反应,在基材表面形成薄膜。PECVD具有常温常压CVD技术的绝大多数优点,并且由于等离子体的作用及等离子体参与反应,使反应物和基材表面均产生大量离子、自由基和亚稳态物质等活性基团,降低反应发生的温度,缩短反应时间,使热力学上难以发生的反应变为可能,促进化学反应的进行。目前已采用PECVD技术在多种材料表面制备获得超疏水膜层。
文献首先用微波等离子增强化学气相沉积技术(MPECVD),成功制备了超疏水膜层,该膜层WCA随反应物分压的升高而增大,最大接触角约160°。Ishizaki等运用MPECVD技术在AZ31镁合金上制备了超疏水膜层,其表面粗糙度随沉积时间的延长而增大,其WCA大于150°。腐蚀性能试验结果显示,超疏水处理使AZ31的阳极和阴极电流密度显着降低、阻抗显着增大 (图5),并且在酸性和碱性溶液中表现出良好的化学稳定性 (图6),显着改善了镁合金防腐蚀性能。
图5 AZ31和超疏水膜层在3.5%NaCl溶液中的电化学测试结果

图6 超疏水膜层WCA与浸泡时间的关系

PECVD虽然相较于常温常压CVD在制得超疏水膜层的膜厚、膜层致密性、疏水性等方面有一定优势,但其需要借助昂贵的专业设备和严苛的制备条件,以至于在大规模工业生产中推广不具备优势。
2.3 气溶胶辅助化学气相沉积
气溶胶是指任何物质的固体微粒或液体微粒悬浮于气体介质中所形成的具有特定运动规律的整个分散体系。气溶胶科学在工业卫生、环境保护以及核工业的辐射防护等领域有着举足轻重的作用,但将气溶胶用于制备超疏水膜层的研究却很少报道。AACVD采用黏度很低的溶胶,使胶体粒子在气相条件下发生聚合反应,并在基材表面自组装形成微观粗糙结构,以获得超疏水表面。AACVD法是基于常温常压CVD法开发的新方法,可在任何基材表面制得超疏水膜层。
Colin等采用AACVD技术,将SYLGARD?184硅烷弹性体沉积到基体表面,使表面获得超疏水性能。其原理是:SYLGARD®184硅烷弹性体由两部分组成∶弹性体和固化剂,将这两种成分以10∶1的比例溶于氯仿中快速搅拌5 min,配成溶胶,将配制的溶胶以气相导入反应室,形成气溶胶,随着氯仿的挥发,弹性体与固化剂在基体表面发生交联反应和固化反应,形成热阻性能优良的聚合物。膜层疏水性与沉积温度有关,平均WCA和最大WCA均随沉积温度的升高而增大(见表1),SA随沉积温度的升高而减小。目前,利用AACVD技术已在多种基材上制备了超疏水涂层,获得超疏水表面其最大WCA高达170°,SA低至1~2°。

Colin等还通过AACVD技术与常温常压CVD技术的结合,以酸催化正硅酸乙酯气溶胶水解,形成SiO2微粒,沉积在玻片上,形成微观粗糙的SiO2膜层,并用六甲基二硅烷进行表面改性,获得超疏水性能,WCA最高达180°,滚动角小于1°。
Philip等采用中子反射技术研究了AACVD技术制备的超疏水涂层下基材的腐蚀进展情况,其膜层厚度及分布见图7a。图7b为腐蚀产物层厚度随浸泡时间的变化,随着在5%NaCl D2O溶液中浸泡时间的延长,超疏水膜层下的腐蚀产物缓慢增加,其基体腐蚀速率约为未施加保护的铝腐蚀速率的十分之一。结果表明,超疏水膜层有效阻止了腐蚀介质的渗入,显着减缓了铝合金基材的腐蚀。
图7 超疏水膜层厚度及分布及铝膜层厚度随时间变化曲线

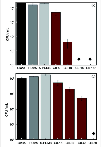
Ekrem等借助AACVD技术制备的超疏水抗菌镀铜聚合物膜层的WCA超过150°,SA低至1°,对革兰氏阴性菌、革兰氏染色阳性细菌、大肠杆菌和金黄色葡萄球菌等4种细菌具有优异的杀灭效果 (如图8),接种大肠杆菌15 min后,PDMS和气相沉积制备PDMS表面细菌数量相对于玻璃表面略有降低或持平,但超疏水抗菌镀铜聚合物膜层表面金黄色葡萄球菌数量随着时间的延长呈指数型降低,15 min后即低至检测极限;接种大肠杆菌1 h后,PDMS和气相沉积制备PDMS表面细菌数量增加,但超疏水抗菌镀铜聚合物膜层表面杆菌数量随着时间的延长逐渐降低,1 h后即低至检测极限。同时,表面抗附着性能与表面的疏水性能密切相关,疏水性越好,细菌的附着率越低。该抗菌超疏水膜层的成功制备,是AACVD技术在舰船船体等表面制备抗污、抗菌、防腐蚀超疏水膜层方面的有力探索。
图8 不同样品表面接种细菌, 细菌数量随时间的变化

相较于常温常压CVD和PECVD,AACVD法具有成本低、工艺简单和无需复杂昂贵设备等优点,更具备工程化应用的潜力。
2.4 其他
Ignasi等采用离子刻蚀和启动化学气相沉积(iCVD)相结合的两步法,使铜表面获得超疏水性能,并采用原子力显微镜(AFM)、扫描电镜(SEM)、原子探针(XPS)、极化曲线测试等方法研究分析了超疏水膜层的形貌、化学成分和防腐蚀性能,结果表明,铜表面WCA高达163°,迟滞角低至1°。通过极化曲线分析(图9)可知,裸铜、自组装氟硅烷改性铜和超疏水铜的腐蚀速率分别为51,2.5和0.077 μm/a,超疏水铜具备优异的防腐蚀性能。
图9 裸铜、自组装氟硅烷改性铜和超疏水铜在3.5%NaCl中的塔菲尔极化曲线

3 结束语
综合分析气相法制备超疏水膜层在防腐蚀领域的研究进展可知,超疏水膜层对腐蚀介质具备优异的隔绝作用,可以有效地避免或减缓基材金属的电化学腐蚀;同时,气相法制备的超疏水膜层相较于液相法,在疏水性、化学稳定性、环境耐久性、工艺流程、成本以及环境友好等方面具有更为突出的优势。但气相法制备超疏水膜层的厚度薄,耐磨损和耐机械损伤的能力差,严重阻碍了气相法制备技术在超疏水膜层制备中的工程化应用。截至目前,仅少数学者就气相法制备超疏水膜层的耐磨损、耐机械损伤等性能开展系统研究。
因此,为推动气相法制备超疏水膜层在防腐蚀领域的工程化应用,还需要进一步加强3个方面的研究:
(1)将CVD技术与其他先进工艺深度结合,进一步加强耐磨、耐冲击超疏水膜层的研究。为解决CVD技术制备膜层薄,耐磨、耐机械损伤能力弱等方面的不足,优先采用物理或化学的方法,提高表面的机械强度,再结合CVD技术对表面进行改性,以获得具备高机械强度、高耐腐蚀性能的超疏水表面。
(2)进一步加强“自修复”超疏水膜层的研究。超疏水表面自修复途径包括:(1) 通过疏水成分的迁移;(2) 微-纳二元粗糙结构的再生。应围绕以上两个途径加强研究。
(3)加强“超双疏”表面 (既疏水又疏油) 的研究。通常超疏水表面由于油性物质的污染,导致其疏水性持久性不强。因此,加强超双疏表面的制备可有效提高表面的化学稳定性和耐久性,有利于工程化应用。
免责声明:本网站所转载的文字、图片与视频资料版权归原创作者所有,如果涉及侵权,请第一时间联系本网删除。
官方微信
《中国腐蚀与防护网电子期刊》征订启事
- 投稿联系:编辑部
- 电话:010-62313558-806
- 邮箱:fsfhzy666@163.com
- 中国腐蚀与防护网官方QQ群:140808414



