纳米材料是指三维空间尺寸中至少有一维处于纳米数量级 (1~100 nm),或由纳米结构单元组成的具有特殊性质的材料,被誉为“21世纪最重要的战略性高技术材料之一”。当材料的粒度大小达到纳米尺度时,将具有传统微米级尺度材料所不具备的小尺寸效应、量子尺寸效应、表面效应等诸多特性,这些特异效应将为新材料的开发应用提供崭新思路。
目前,纳米材料已成为材料研发以及产业化最基本的构成部分,其中纳米材料的粒度则是其最重要的表征参数之一。本文根据不同的测试原理阐述了8种纳米材料粒度测试方法,并分析了不同粒度测试方法的优缺点及适用范围。
1.电子显微镜法
电子显微镜法是对纳米材料尺寸、形貌、表面结构和微区化学成分研究最常用的方法, 一般包括扫描电子显微镜法(SEM) 和透射电子显微镜法(TEM)。对于很小的颗粒粒径, 特别是仅由几个原子组成的团簇,采用扫描隧道电镜进行测量。计算电镜所测量的粒度主要采用交叉法、最大交叉长度平均值法、粒径分布图法等。

模板剂聚苯乙烯球的SEM图

硅微球的TEM图
优点:该方法是一种颗粒度观测的绝对方法, 因而具有可靠性和直观性。
缺点:测量结果缺乏整体统计性;滴样前必须做超声波分散;对一些不耐强电子束轰击的纳米颗粒样品较难得到准确的结果。
2.激光粒度分析法
激光粒度分析法是基于Fraunhofer衍射和Mie氏散射理论,根据激光照射到颗粒后,颗粒能使激光产生衍射或散射的现象来测试粒度分布的。因此相应的激光粒度分析仪分为激光衍射式和激光动态散射式两类。一般衍射式粒度仪适于对粒度在5μm以上的样品分析,而动态激光散射仪则对粒度在5μm以下的纳米、亚微米颗粒样品分析较为准确。所以纳米粒子的测量一般采用动态激光散射仪。

纳米激光粒度仪结构图
优点:样品用量少、自动化程度高、重复性好, 可在线分析等。
缺点:不能分析高浓度的粒度及粒度分布,分析过程中需要稀释,从而带来一定误差。
3.动态光散射法
动态光散射也称光子相关光谱,是通过测量样品散射光强度的起伏变化得出样品的平均粒径及粒径分布。液体中纳米粒子以布朗运动为主,其运动速度取决于粒径、温度和黏度系数等因素。在恒定温度和黏度条件下, 通过光子相关谱法测定颗粒的扩散系数就可获得颗粒的粒度分布,其适用于工业化产品粒径的检测,测量粒径范围为1nm~5μm的悬浮液。

动态光散射法绘制的核壳粒径增长速率坐标图
优点:速度快,可获得精确的粒径分布。
缺点:结果受样品的粒度大小以及分布影响较大, 只适用于测量粒度分布较窄的颗粒样品;测试中应不发生明显的团聚和快速沉降现象。
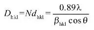
4.X射线衍射线宽法(XRD)
XRD测量纳米材料晶粒大小的原理是当材料晶粒的尺寸为纳米尺度时,其衍射峰型发生相应的宽化,通过对宽化的峰型进行测定并利用Scherrer公式计算得到不同晶面的晶粒尺寸。对于具体的晶粒而言, 衍射hkl的面间距dhkl和晶面层数N的乘积就是晶粒在垂直于此晶面方向上的粒度Dhkl。试样中晶粒大小可采用Scherrer公式进行计算:
![]()
式中:λ-X射线波长;θ-布拉格角 (半衍射角) ;βhkl-衍射hkl的半峰宽。

X射线衍射法(XRD)表征材料晶相结构
优点:可用于未知物的成分鉴定。
缺点:灵敏度较低;定量分析的准确度不高;测得的晶粒大小不能判断晶粒之间是否发生紧密的团聚;需要注意样品中不能存在微观应力。
5.X射线小角散射法 (SAXS)
当X射线照到材料上时,如果材料内部存在纳米尺寸的密度不均匀区域,则会在入射X射线束的周围2°~5°的小角度范围内出现散射X射线。当材料的晶粒尺寸越细时,中心散射就越漫散,且这种现象与材料的晶粒内部结构无关。SAXS法通过测定中心的散射图谱就可以计算出材料的粒径分布。SAXS可用于纳米级尺度的各种金属、无机非金属、有机聚合物粉末以及生物大分子、胶体溶液、磁性液体等颗粒尺寸分布的测定;也可对各种材料中的纳米级孔洞、偏聚区、析出相等的尺寸进行分析研究。

微聚焦X射线小角散射显微层析成像原理示意图
优点:操作简单;对于单一材质的球形粉末, 该方法测量粒度有着很好的准确性。
缺点:不能有效区分来自颗粒或微孔的散射,且对于密集的散射体系,会发生颗粒散射之间的干涉效应,导致测量结果有所偏低。
6.X射线光电子能谱法(XPS)
XPS法以X射线作为激发源,基于纳米材料表面被激发出来的电子所具有的特征能量分布(能谱)而对其表面元素进行分析,也称为化学分析光电子能谱(ESCA)。由于原子在某一特定轨道的结合能依赖于原子周围的化学环境,因而从X射线光电子能谱图指纹特征可进行除氢、氦外的各种元素的定性分析和半定量分析。

石墨烯类多孔碳纳米板样品的XPS光谱
优点:绝对灵敏度很高,在分析时所需的样品量很少。
缺点:但相对灵敏度不高, 且对液体样品分析比较麻烦;影响X射线定量分析准确性的因素相当复杂。
7.扫描探针显微镜法(SPM)
SPM法是利用测量探针与样品表面相互作用所产生的信号, 在纳米级或原子级水平研究物质表面的原子和分子的几何结构及相关的物理、化学性质的分析技术,尤以原子力显微镜 (AFM)为代表, 其不仅能直接观测纳米材料表面的形貌和结构, 还可对物质表面进行可控的局部加工。

氧化石墨烯的AFM图片
优点:在纳米材料测量和表征方面具有独特性优势。
缺点:由于标准物质的缺少,在实际操作中缺乏实施性。
8.拉曼光谱法
拉曼光谱法低维纳米材料的首选方法。它基于拉曼效应的非弹性光散射分析技术, 是由激发光的光子与材料的晶格振动相互作用所产生的非弹性散射光谱, 可用来对材料进行指纹分析。拉曼频移与物质分子的转动和振动能级有关, 不同的物质产生不同的拉曼频移。拉曼频率特征可提供有价值的结构信息。利用拉曼光谱可以对纳米材料进行分子结构、键态特征分析、晶粒平均粒径的测量等。

单晶电极表面ORR过程的原位拉曼光谱图
优点:灵敏度高、不破坏样品、方便快速。
缺点:不同振动峰重叠和拉曼散射强度容易受光学系统参数等因素的影响;在进行傅里叶变换光谱分析时,常出现曲线的非线性问题等。
小结
纳米材料粒度的测试方法多种多样,但不同的测试方法对应的测量原理不同,因而不同测试方法之间不能进行横向比较。不同的粒度分析方法均有其一定的适用范围以及对应的样品处理方法,所以在实际检测时应综合考虑纳米材料的特性、测量目的、经济成本等多方面因素,确定最终选用的测试方法。
参考资料
1.汪瑞俊,《纳米材料粒度测试方法及标准化》;
2.谭和平等,《纳米材料的表征与测试方法》;
3.王书运,《纳米颗粒的测量与表征》。
更多关于材料方面、材料腐蚀控制、材料科普等方面的国内外最新动态,我们网站会不断更新。希望大家一直关注中国腐蚀与防护网http://www.ecorr.org
责任编辑:王元
《中国腐蚀与防护网电子期刊》征订启事
投稿联系:编辑部
电话:010-62313558-806
邮箱:fsfhzy666@163.com
中国腐蚀与防护网官方 QQ群:140808414
免责声明:本网站所转载的文字、图片与视频资料版权归原创作者所有,如果涉及侵权,请第一时间联系本网删除。
官方微信
《中国腐蚀与防护网电子期刊》征订启事
- 投稿联系:编辑部
- 电话:010-62313558-806
- 邮箱:fsfhzy666@163.com
- 中国腐蚀与防护网官方QQ群:140808414



