【引言】
高熵合金通常希望具有高强度,高延展性,以及高断裂强度等性能的组合。而其结构与高熵合金设计有密切的关系,通过建立结构与力学性能的关系进而进行高熵合金的设计。目前,大多数有关强度的模型都基于经典固溶强度理论—Labusch模型。然而Labusch模型存在两个问题没有解决:一是基于溶质原子的尺寸失配与系数失配导致的弹性相互作用,溶质原子与位错的相互作用并不能解释溶质原子与位错核心的关系;二是虽然元素短程有序影响高熵合金的强度,但不应考虑进溶质强度理论模型。
【成果简介】
今日,香港科技大学Xiang Yang 与香港城市大学David J.Srolovitz(共同通讯作者)在Acta Materialia上发表题为“The Effect of Randomness on the Strength of High-Entropy Alloys”的文章。研究人员提出随机Peierls-Nabarro模型理解随机占位对本质强度的影响。随机PN模型模型包括在位错滑移方向和沿位错线方向上的非均匀成分分布的影响,并考虑了组成中的随机性,其特征在于晶面间电位扰动的标准偏差和空间组成分布内的相关长度。该模型预测HEAs的内在强度作为标准偏差和随机性的相关长度的函数,并发现与纯金属组合的高熵合金相比,成分随机更有利于本质强度。第一作者为香港科技大学Zhang Luchan。
【图文导读】
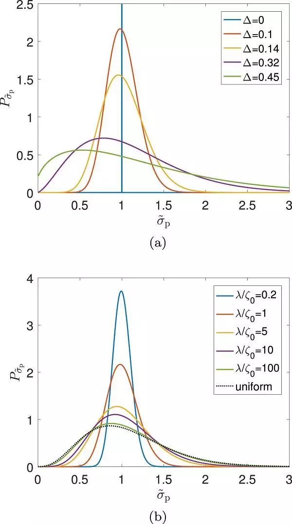
图一 标准化位错核心尺寸概率分布

ζ 为位错核心尺寸;Δ=0时,函数对应经典PN模型核心尺寸;随着晶面间电位振幅随机性的标准偏差增加,位错核心尺寸减小,而平均值增加。
图二 位错在外加应力下的分布

(a) 位错在施加的应力下移动的平均距离;Δ>0时,对于任何施加的应力,位错只能行进一段有限的距离移动;
(b) 外加应力下位错的距离分布。
图三 不同λ/Δ的位错核心尺寸分布

固定Δ,增加λ会扩宽核心宽度ζ 分布。
图四 Peierls应力分布函数

固定Δ,空间相关长度λ导致平均Peierls应力增加,Peierls阻碍发生偏移。
图五 外加应力(“σ” _“a” ) 对位错移动平均距离的影响

通过固定施加应力时位错移动更短的距离或位错移动距离固定,施加更大的外界应力可增加空间相关长度λ。
图六 临界应力与标准偏差Δ和相关长度λ的函数

参考材料:BCC Mo0.2Nb0.2Ta0.2W0.2V0.2 HEA
文献链接:The Effect of Randomness on the Strength of High-Entropy Alloys(Acta Mater., 2018, DOI: 10.1016/j.actamat.2018.12.032)
更多关于材料方面、材料腐蚀控制、材料科普等方面的国内外最新动态,我们网站会不断更新。希望大家一直关注中国腐蚀与防护网http://www.ecorr.org
责任编辑:殷鹏飞
《中国腐蚀与防护网电子期刊》征订启事
投稿联系:编辑部
电话:010-62313558-806
邮箱:fsfhzy666@163.com
中国腐蚀与防护网官方 QQ群:140808414
免责声明:本网站所转载的文字、图片与视频资料版权归原创作者所有,如果涉及侵权,请第一时间联系本网删除。
官方微信
《中国腐蚀与防护网电子期刊》征订启事
- 投稿联系:编辑部
- 电话:010-62313558-806
- 邮箱:fsfhzy666@163.com
- 中国腐蚀与防护网官方QQ群:140808414



