【引言】
材料中的氢吸附对储氢和氢净化膜至关重要。吸附的氢还起着表面催化反应至关重要的作用,例如烃的氢化和H-D交换反应。这些应用需要有效吸附大量氢的材料。钯(Pd)被称为吸氢材料。在Pd表面的氢-吸附过程中,从表面到次表面区域的氢渗步骤是公认的限速步骤。由于表面控制渗透过程,因此可通过改变表面来控制,如其原子结构或与其他材料合金化,来控制渗透动力学。尽管纯的金(Au)不吸附氢气,但已知Pd-Au合金显示出比纯Pd更高的氢溶解度。然而,到目前为止,Au对从表面到次表面区域的氢渗透的影响尚未阐明。
【成果简介】
近日,在日本东京大学Shohei Ogura(通讯作者)带领下,与哈佛大学合作,通过热解吸光谱(TDS)和核反应分析(NRA)的氢深度剖析研究了Pd(110)上Pd-Au表面合金的氢吸附。证明了Pd(110)表面与亚单层量的Au合金化显著加速了氢的吸附。通过密度泛函理论(DFT)计算,这种动力学增强的原因主要是化学吸附表面氢的不稳定性导致渗透屏障减少。另外,通过角分辨光电子能谱(ARPES)观察到的表面电子态的变化,也表明了化学吸附表面氢的不稳定性。这些发现将有助于改善和控制吸氢材料表面的氢传输。相关成果以题为“Acceleration of hydrogen absorption by palladium through surface alloying with gold”发表在PNAS上。
【图文导读】
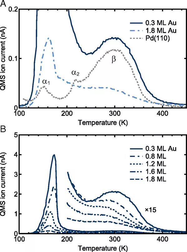
图1. 不同Au覆盖率下H2 TDS光谱图

(A)在120 K下,100-Langmuir H2暴露后,从0.3-1.8 ML不同的Au/Pd(110)表面和Pd(110)获得的H2 TDS光谱图;
(B)在Au/Pd表面不同Au覆盖率下,Pd(110)表面获得的H2 TDS光谱图。
图2. Pd(110)和0.3-ML Au/Pd(110)的NRA曲线图

在120 K下暴露于1000-Langmuir H2后,从纯Pd(110)和0.3-ML Au/Pd(110)中获取的NRA曲线图
图3. Au覆盖率-标准峰面积图

图4. 0.5-ML Au/Pd(110)的DFT研究

(A)DFT计算的0.5-ML Au/Pd(110)的模型示意图。
(B)0.5-ML Au/Pd(110)(实线)和Pd(110)(虚线)表面的单个H原子的势能图。
图5. 不同条件下ARPES强度变化曲线图

(A)纯Pd(110)的ARPES强度变化曲线图。
(B)0.48-ML Au/Pd(110)在退火后的ARPES强度变化曲线图。
(C)2.4-ML Au/Pd(110)在生长后的ARPES强度变化曲线图。
(D)Pd70Au30(110)在600K退火的ARPES强度变化曲线图。
【小结】
总之,团队研究了合金Pd/Au(110)表面的氢吸附,发现亚单层Au的加入显著加速了氢的吸附。这种动力学增强的原因是化学吸附表面氢的不稳定性和渗透过程的过渡状态下与表面相比,能量水平的较小增加,这导致了穿透屏障从表面到次表面的减少。研究结果表明,仅添加少量Au可以增强氢吸附动力学,这对于氢存储和氢纯化是重要的。该发现将有助于改善和控制Pd相关合金和吸氢材料的表面上的氢传输,并且还可以控制这些表面反应的催化活性和选择性。
文献链接:Acceleration of hydrogen absorption by palladium through surface alloying with gold(PNAS, 2018, DOI:10.1073/pnas.1800412115)
更多关于材料方面、材料腐蚀控制、材料科普等方面的国内外最新动态,我们网站会不断更新。希望大家一直关注中国腐蚀与防护网http://www.ecorr.org
责任编辑:殷鹏飞
《中国腐蚀与防护网电子期刊》征订启事
投稿联系:编辑部
电话:010-62313558-806
邮箱:fsfhzy666@163.com
中国腐蚀与防护网官方 QQ群:140808414
免责声明:本网站所转载的文字、图片与视频资料版权归原创作者所有,如果涉及侵权,请第一时间联系本网删除。
官方微信
《中国腐蚀与防护网电子期刊》征订启事
- 投稿联系:编辑部
- 电话:010-62313558-806
- 邮箱:fsfhzy666@163.com
- 中国腐蚀与防护网官方QQ群:140808414



