TEM作为一种常用的微观结构表征技术已经在材料科学、生物等学科被广泛应用,而作为材料人的你又怎能不对TEM做深入的了解。今天来我们一起来看看如何利用三步法搞定TEM透射电镜衍射斑点标定。不过在此之前我们先要搞清两个重要的问题。
01标定目的
这是大家首先遇到的问题。以笔者的角度来看,目前通过衍射标定可以达到以下两个目的:提高格调和辅助进行物相鉴定。
1提高格调
提高格调是很容易理解的,因为凡涉是比较有档次的研究,TEM可谓是必不可少,目前的文章要是少了透射实验品质会降低不少,审稿人也没有兴趣,这样的情况下要想引起业界关注怕也是也不太容易。当然,这并不是最主要的,第二个目的才是大家真正关心的。
2辅助进行物相鉴定
注意这里说的是“辅助”进行物相鉴定,之所以是“辅助”是由于物相鉴定是一个相当复杂的且技术含量高的工作。鉴定的难度来源于以下几个方面:
(1)、微观层面的物相太小,如果用打能谱分析元素的办法,很可能打到的区域会有偏离或区域偏大,能谱的结果不够准确。
(2)、物相太小又无法做XRD。
(3)、通过形貌观查判断,这个太主观,而且经验要求极高,不从事个十来年的研究很难做出准确的推断。
所以物相鉴定非常困难,不能凭借上面一种手段给出有说服力的证明,所以利用多种手段辅助联合证明提升说服力就势在必行,TEM就是其中之一。
但是TEM也不能作为鉴定物相一招制敌的法宝,因为标定过程中会引入多种误差(拍摄系统误差,测量误差,计算误差),没法百分百保证标定的精度,所以结果也就是在误差范围内参考。
不过有误差也没关系,圈内人士都会有一个约定俗成的共识,只要你从多个方面联合这证明物相,达到80%的说服力,也就默认你的证明是对的了。审稿人也一般确实这么做的。
02怎样标定
这是一个大问题,可以先从宏观上对这个问题进行把握。
打一个简单的比方,警察要查找犯罪嫌疑人是谁,在犯罪现场找到了作案者的小拇指指纹,要查到此人的信息就需要将该小拇指指纹拿到公安局的数据库中进行比对,一旦该小拇指与其中一个人的小拇指指纹对上了,很可能就是这个人作案。
衍射斑点标定的过程与此相同,也是利用物相留下的衍射斑点得到晶面数据,再与标准物相库进行对比,在物相库里面如果有比较吻合的晶面数据,就很可能是这个物相了。

03标定三步法
在搞清楚上面我们提到的两个问题后,接下来的工作就可以简单的归结为3个步骤:1、计算晶面数据;2、得到物相的晶面间距数据库;3、开始比对。
1计算晶面数据
第一步虽然简单,但我们还是有必要详细说明一下晶面间距如何计算。现在我们手中只有一张衍射斑点图,图上有几个圆点,这些衍射斑点是晶体的倒易点阵。此外,还有一个标尺,标尺单位为1/nm(1/nm是倒空间的长度单位)。
这样说可能有点生涩,形象点说,每个人在阳光下一站就会有影子,这个人就好比是晶体本身,而影子就好比是倒易点阵。人是立体的,人的影子是平面的。
同理,晶体是立体的,映射出来的倒易点阵我们也只能看到一个平面。影子反映的是人的轮廓,通过测量影子的长度和影子和人的比例尺,就可以得到人的实际高度。同样倒易点阵反映的是晶体的晶面间距,通过测量倒易点的距离,再借助标尺就能得到真实晶体的晶面间距。

由衍射斑点计算晶面间距d有这么一个公式:

l1、l0的长度是下面图中量出的实际长度,不管你是用米尺还是游标卡尺测量,只要l1、l0的单位一致就可以了,而“标尺”就是图中的51/nm。图片可以等比例放大测量,并不影响结果。由此计算出的晶面间距d的单位就是nm。

通常我们不仅仅计算一个晶面间距,而是计算出一个平行四边形所对应的晶面数据信息。这包括两条边、一条对角线所对应的晶面间距,以及各边相互之间的夹角对应的正空间中晶面的夹角。这些信息在一起才相当于一个指纹的信息。为了方便表示,我们就用矢量R1、R2、R3来表示平行四边形的各条边。

由尺子我们可以测量l1、l2、l3、l4的长度,由量角器我们可以测量各边对应的夹角。由此我们可以得到这样六个数值:

2获取物相数据库
现在我们终于进行到第二步了。我们先以Al为例来说明如何获得晶面数据库。
通过查找PDF中Al的点阵参数,我们得到Al是面心立方晶体,6个点阵参数是a=0.4049nm,b=0.4049nm,c=0.4049nm,α=90°,β=90°,γ=90°。所有Al的晶面数据库都是通过这6个参数计算得到的,即晶面指数所对应(h,k,l)的晶面间距。
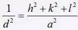
因为大多数是低指数的衍射斑点,所以-5≤h≤5、-5≤k≤5、-5≤l≤5,且通常取整数。这个数据库是不是瞬间变得非常大了,也就是(h,k,l)组合有11×11×11=1331种。莫要慌,这次你还得静下心来慢慢计算。立方晶系的晶面间距计算公式为:

通常计算出来的结果会是:

这个数据库有1331条。然后,注意是然后,再计算每两个晶面之间的夹角。立方晶系夹角的计算公式为:

这有多少个组合呢?相信大家都学过排列组合,两两组合是C21331= 8851115,现在这个数据库有多大了看明白了吧。

3比对数据库将我们之前计算的d1、d2、d3,<R1,R2>、<R2,R3>、<R1,R3>拿到数据库中比对,如果误差较小就挑选出来,挑出来晶面指数还要满足另外一个条件,就是R3=R1+R2,矢量的加法法则。如果能够从数据库里面找到这样的晶面指数满足了以上所有条件,那么恭喜你,你已经可以标定你的衍射斑点图了。


标定是终于完成了,可是大家一定会觉得相当不轻松,计算量大到万万想不到。不过,标定的原理就是这样的过程,而实际我们在标定的过程总会通过已有的数据来简化一部分计算。
PDF卡片上已经将部分晶面指数对应的晶面间距列举出来了,相当于一个小型数据库。你算出来的d值在里面查找就好了,运气好的话很可能就找到了接近d值的指数。
此后,将你挑选出来的指数代入公式进行晶面夹角计算(文末附有所有类型的晶体的晶面间距公式和晶面夹角公式)。
接下来就是根据夹角条件和矢量加法条件再进行筛选。这样也完成了衍射斑点的标定过程。计算量减少了不少,不过工作量还是不少!
总结一下,衍射斑点标定的过程就是这三步,1通过图片计算出晶面数据,2找到相应的数据库,3进行比对,把符合条件的指数标定在图片上。
在标定过程中会用到很多晶体学公式,我们列举如下:


— END —
更多关于材料方面、材料腐蚀控制、材料科普等方面的国内外最新动态,我们网站会不断更新。希望大家一直关注中国腐蚀与防护网http://www.ecorr.org
责任编辑:王元
《中国腐蚀与防护网电子期刊》征订启事
投稿联系:编辑部
电话:010-62313558-806
邮箱:fsfhzy666@163.com
中国腐蚀与防护网官方 QQ群:140808414
免责声明:本网站所转载的文字、图片与视频资料版权归原创作者所有,如果涉及侵权,请第一时间联系本网删除。
官方微信
《中国腐蚀与防护网电子期刊》征订启事
- 投稿联系:编辑部
- 电话:010-62313558-806
- 邮箱:fsfhzy666@163.com
- 中国腐蚀与防护网官方QQ群:140808414



