这篇文章会介绍一些电化学阻抗谱(Electrochemical Impedance Spectroscopy,EIS)的基础知识。
1. 核心逻辑
一个电化学反应和一个电路,有什么共同点呢?二者,
外加一个电压信号,就会产生一个电流信号。
因为同样具备这种“输入-输出”关系,我们可以把电化学反应和电路联系起来。
一个电路中,直流电受到阻碍,我们称之为电阻。将这个概念延伸到交流电中,我们就可以得到阻抗(impedance,Z)。
阻抗:电路中的交流电所遇到的阻碍。
阻抗(Z)与电压(E), 电流(I)的关系,在形式上就是电阻的欧姆定律:

因为交流电具有频率,因此,阻抗也会随着频率而改变。不同频率下,阻抗会更接近于某种器件,如电阻或电容等。
综合以上两点,得到EIS技术的核心:整个电化学反应可以表示为一个阻抗。
输入细微扰动,输出不同频率下的阻抗信息。
2. 基础概念与原理
EIS输入输出信号
EIS的测试中,输入信号往往是小幅度正弦交流信号,进而测量系统的阻抗,从而进行等效电路的分析。阻抗的输入信号有三个特征,振幅,频率。输出信号也是。
EIS谱图特征
阻抗是一个复数,可表示为实部ZRe和虚部ZIm的两部分,
![]()
因此,所得到的EIS谱图也是以这两部分为x,y轴。
举两个最简单的例子:当电路中仅存在电容C时,EIS图谱是一条重合于Y轴的直线,即只有虚部的阻抗Z。

当电阻R与电容C串联时,阻抗的实部ZRe有了数值,得到一个垂直于X轴的直线,与X轴交于R。

然而,文献中很多EIS结果是“半圆+尾巴”的曲线,如下图所示,

那么,这种EIS结果是如何造成的呢?这可通过电化学反应的基本模型来进行解释。
典型电化学反应模型与其等效电路
典型的电化学过程包含一些基本构成,比如双电层和法拉第反应等,这些可有下图模型近似表示:

与之对应,该过程的总阻抗可以抽象为三种电学元件,分别为:
内阻RΩ,双电层电容Cd,法拉第阻抗Zf
其中,
内阻:电解液和电极的内阻。
双电层电容:源自电解液中的非活性离子,无化学反应发生,仅改变电荷分布。
法拉第阻抗:源自电解液中的活性离子,有氧化还原反应发生,有电荷转移。
抽象的电路图如下:

法拉第过程可以进一步分成两个过程:
电荷转移(charge transfer)和物质转移(mass transfer)
这两个过程可分别抽象为:
电荷转移电阻(Rct)和 Warburg阻抗(Zw)

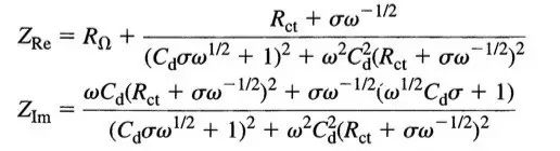
对于如上电路,所对应阻抗的实部ZRe和虚部ZIm可由如下公式表示:

其中,σ是一个与物质转移有关的系数。
这个公式太复杂,作为基础,我们只考虑两个极端的趋势。

(2)当ω很大时(高频),变化的时间周期太短,以至于物质转移来不及发生,也就是 Warburg阻抗(Zw)的作用消失,等效电路可以简化成如下:

对于这个模型,ZRe和ZIm二者关系为:

以这一公式作图,得到如下半圆。其中圆心为RΩ+Rct/2,半径为Rct/2。

(3)基于以上两种趋势,就可以对一张EIS图谱进行基本的分析:低频区为物质转移(Mass-transfer)控制,高频区为电荷转移(Charger-transfer)主导。

高低频的数值没有统一标准,一般的经验划分为:高频范围为103~104Hz;中低频范围为10-3~103Hz
需要注意的是:对于同一组抗谱,可以找到不止一个电路能够进行拟合分析,因此依靠等效电路来推测电化学反应过程的是一个主观性较高的方法。
3. 实例:超级电容器中的EIS分析
接下来让我们以超级电容器为例,来展示EIS在电化学体系中的具体应用。
典型超电容EIS谱图
超电容的实际测试中,所得到EIS往往如下图所示(JACS, 2008, 2730-2731)

得到如上形状谱图的具体理论可参见(DeLevie, 1963),简单来说:一个超电容可视作很多微小电容和电阻组成的集合电路,是随着测试频率升高,电阻R作用加大;频率降低,电容C作用加大。因此,我们可以抽象出一个具有代表性的EIS谱图,如下图所示:

在这个结果中,我们可以得到许多有用的信息:高频区域(HF),阻抗Z表现为电阻R的特征;低频区域(LF),阻抗Z表现为R与C的串联特征。此外, HF处,所对应的内阻R,整个高频区域所反映的electode ionic resistance,这段弧形反应了电解质与电极微观界面处的特征。而在低频区,通过近似线性区域中的数据,可以计算电极的近似容量。
电容与频率的分析
除了上述这些定性分析外,我们还可以对EIS的原始数据进行进一步处理,得到更为深入的数据。比如,为了更精细表示电容C与频率f间的函数关系,我们可以用C(jw)表示不同频率下的容量。计算公式推导如下,具体参见文献(Simon,JECS, 2003, A292)。

提炼出实际容量(Capacitance)C‘和容量损失(Losses)C'’,二者相对于频率f(Hz)作图如下


这两张图中有两处的数值比较重要:其一,在C‘中,低频LF处的数值,代表着电极所能达到最大容量Cmax;其二,在C'’中,在最高点处所对应的时间t(通过Hz=1/s进行转换)。当C'‘达到最大值,也就是容量损失最大时,所对应的时间在超电容的实际应用中十分重要。这个时间t意味着:当充放电时间短于t时,超电容的能量效率低于50%。所以t越小,器件的高倍率性能越优良。
文献实例:不同溶剂对电容性能的影响
因为较大的电压窗口(>2.7V),所以很多材料选择有机电解液(TEMA BF4)作为测试体系,但不同的溶剂对与有机电解液性能的发挥却有着很大影响。
常用的溶剂有AN和PC两种,它们的不同之处在于AN中的离子迁移速率较高。选取碳化物衍生碳(CDC)作为活性材料,经过EIS测试,二者的结果如下:

数据来源(Simon, JECS,2003, A292)
将结果转化为C’与C'‘与f关系图

基于如上两项数据,我们可以做出如下分析:
(1) C’与f的关系:CDC在AN与PC溶剂中的最大容量是一样,因为这一数值由活性材料本身属性决定。但在相同频率下,AN溶剂中,CDC表现的容量更高(如图中箭头所示)
(2) C'‘与f关系:可以看到响应时间t这一参数上,AN(10s)远小于PC(48s),也就是说,在快速充放电的要求下,AN溶剂的表现将优于PC。
这些现象的深层原因是:PC溶剂的黏度比较大,不利于电解质的迁移。
4. 小结
(1)EIS将电化学过程抽象为一个电路模型;
(2)模型中主要包括内阻RΩ,双电层电容Cd和法拉第阻抗Zf三个部分;
(3)Zf可进一步分为电子转移和物质转移两个部分,分别对应谱图中“高频区”和“低频区”;
(4)具体问题具体分析,需要结合相应领域知识,才能让EIS发挥更大作用。
参考文献
[1] Bard, A. J., Faulkner, L. R., Leddy,J., & Zoski, C. G. (1980)。 Electrochemical methods: fundamentals andapplications (Vol. 2)。 New York: wiley.
[2] Largeot, C., Portet, C., Chmiola, J.,Taberna, P. L., Gogotsi, Y., & Simon, P. (2008)。 Relation between the ionsize and pore size for an electric double-layer capacitor. J. Am. Chem.Soc., 130(9), 2730-2731.
[3] De Levie, R. (1963)。 On porouselectrodes in electrolyte solutions: I. Capacitanceeffects. Electrochimica Acta, 8(10), 751-780.
[4] Taberna, P. L., Simon, P., &Fauvarque, J. F. (2003)。 Electrochemical characteristics and impedancespectroscopy studies of carbon-carbon supercapacitors. J. Electrochem. Soc., 150(3),A292-A300.
更多关于材料方面、材料腐蚀控制、材料科普等方面的国内外最新动态,我们网站会不断更新。希望大家一直关注中国腐蚀与防护网http://www.ecorr.org
责任编辑:王元
《中国腐蚀与防护网电子期刊》征订启事
投稿联系:编辑部
电话:010-62313558-806
邮箱:fsfhzy666@163.com
中国腐蚀与防护网官方 QQ群:140808414
免责声明:本网站所转载的文字、图片与视频资料版权归原创作者所有,如果涉及侵权,请第一时间联系本网删除。
官方微信
《中国腐蚀与防护网电子期刊》征订启事
- 投稿联系:编辑部
- 电话:010-62313558-806
- 邮箱:fsfhzy666@163.com
- 中国腐蚀与防护网官方QQ群:140808414



