1、引言
高温超导是20 世纪最伟大的发现之一,这项发现不仅为超导的应用开辟了新的方向,同时也为我们揭示了一个新的微观量子世界,向传统的固体量子理论提出了挑战。其中最具挑战性的问题,就是高温超导机理问题,这也是上个世纪遗留下来,未解决的重要科学问题之一。
超导现象最早是由昂纳斯(Onnes)等在1911 年发现的。第一个超导微观理论是1957 年由巴丁(Bardeen)、库珀(Cooper) 和施里弗(Schrieffer)(BCS)三位科学家建立的。他们的理论对金属或合金超导体的物理性质给出了非常漂亮的解释。
在BCS理论中,超导是由于固体中电子在某种吸引相互作用下形成具有一定玻色子特性的束缚态(也称为库珀对),然后凝聚导致的。因此,超导机理的研究,根本上讲,就是要解决以下三个问题:
1. 电子是在什么相互作用的支配下,形成库珀对的?
2. 库珀对是如何形成位相相干、凝聚变成超导长程相干的?
3. 进入超导相后,如何描述超导电子的物理行为?
对于第一个问题,BCS给出了部分回答。他们指出普通金属超导体里面导致电子配对的相互作用是电声相互作用。但是对于铜氧化物高温超导体,BCS理论没有给出答案,我们现在也不知道答案是什么,这也是高温超导机理研究需要解决的一个关键问题。
对于第二个问题,BCS 没有给出系统的回答。在普通的金属超导体中,由于超流密度很大,电子相干性很强,从配对到形成超导长程相干几乎同时发生,基本上是一配对就超导。所以对金属超导体,这个问题没有受到太大的关注。但对高温超导体,超流密度减小,超导相干性减弱,库珀对的相干过程对超导体的性质有很大的影响。电子有可能形成了配对,但未能形成位相相干进入超导态。
对于第三个问题,也就是如何描述超导态电子的物理性质,BCS给出了非常漂亮的答案,其理论框架是完备的。在超导相,电子形成了超导长程序,由于超导电子的物理性质与电子形成库珀对的过程没有太大关系,因此这部分理论无论是在金属超导体中,还是在铜氧化物高温超导体中都成立。只要知道能隙函数的对称性及其在费米面上随动量变化的函数形式,就可以根据BCS理论,对超导体的性质做非常准确的预测。
高温超导发现后,理论上很快就预测铜氧化物高温超导电子的配对具有d 波对称性。但早期的实验结果并不支持这个理论预测。第一个高温超导具有d 波电子配对对称性的实验证据,是1993 年由加拿大的Hardy 教授等通过微波实验测量磁穿透深度给出的。他们发现磁穿透深度在低温下随着温度线性变化,是d 波超导体的特征行为。随后,基于不同原理和不同方法的大量实验测量也都表明高温超导电子配对的确具有d 波对称性,根据d 波对称对高温超导体在超导相所做的理论预测也基本上都得到了实验的验证。
因此,对于高温超导而言,第三个问题已经得到解决,但前两个问题依然还是个谜。这就是高温超导机理研究所面临的困难。前两个问题之所以难解决,是因为这两个问题不仅和高温超导体的超导性质有关,而且还与高温超导体的正常态(非超导态)的性质有关。而高温超导体正常态的物理性质非常不正常,其中许多性质在已有的固体量子框架下都得不到基本的解释。这就意味着高温超导现象超越了已有固体量子论的理论框架,需要建立新的固体量子理论,也就是所谓的强关联量子理论,才能真正解决高温超导问题。由此可见,高温超导机理的解决,不仅标志着我们对产生高温超导的微观原因,特别是导致高温超导电子配对的机理,有了准确的认识,建立了系统描述高温超导的微观理论;而且预示着一个超越已有量子场论框架的新的多体量子理论的诞生,其重要性要远远超出高温超导研究本身。
2、高温超导带来的挑战
高温超导在超导相的性质与BCS理论的预期是一致的,但正常相的性质却出现了大量反常,无法在已有的固体量子理论框架下得到解释。图1是铜氧化物高温超导体随掺杂浓度p 和温度T 的变化相图,主要包含莫特绝缘体、超导、赝能隙、奇异金属和朗道费米液体5 个相。高温超导体没有掺杂的母体材料是一个反铁磁莫特绝缘体,超导相是通过掺杂完全抑制掉这个反铁磁相后出现的。在超导相之上,欠掺杂区存在一个赝能隙,最佳掺杂区附近存在奇异金属相,在过掺杂区还存在一个与通常金属性质比较相似的朗道费米液体相。这5 个相中,除了超导和朗道费米液体相,其他的3 个相的物理性质都不能在已有的固体量子理论中得到很好的描述和解释。特别是莫特绝缘体中元激发的微观描述、赝能隙产生的物理机理、超导的位相涨落、线性电阻以及电荷—自旋分离等问题,至今不能在一个统一的框架下得到满意的解释,是解决高温超导问题的主要障碍。

图1 铜氧化物高温超导材料的相图
2.1 莫特绝缘体
高温超导体是掺杂的莫特绝缘体,这句话不仅意味着莫特绝缘体是高温超导的母体,而且也意味着莫特绝缘体与高温超导体中观测到的大量反常物理行为具有相同的物理起源。因此,建立准确和系统描述莫特绝缘体的理论框架,是理解和解决高温超导问题的关键。
莫特绝缘体最早发现于1937 年。同年,派尔斯(Peierls)和莫特就指出,莫特绝缘体是由于电子的库仑排斥导致的,是一种由于关联量子效应导致的电子局域化效应。其基本图像是,当同一个晶体元胞内电子之间的库仑相互作用很强时,每个元胞倾向于只有一个电子或没有电子占据。在能带半满填充时,由于每个元胞正好有一个电子占据,电子在不同元胞之间的跳迁就会产生双占据,能量上不利,这种过程被抑制,因此电荷是局域的。这个图像是对的,但要更为系统和定量地描述莫特绝缘体的物理性质就不够了。
近年来,随着对莫特绝缘体研究的深入,理论上发现,在莫特绝缘体中,存在doublon(双占据子)和holon(空穴子)两种新的元激发。双占据子带负电,空穴子带正电。莫特相变是这两种元激发相互作用的后果:如果这两种元激发完全自由运动,系统呈现出金属行为;但如果双占据子与空穴子形成类激子束缚态,电荷运动被抑制,系统呈现绝缘行为。现在理论上还不清楚如何准确描述这两种元激发,也不清楚如何能够在实验上观测到这两种元激发。
在掺杂的莫特绝缘体中,由于强库仑相互作用的存在,增加一个电子要比拿走一个电子(亦即增加一个空穴)所需的能量高,因此电子和空穴激发是不对称的。这个性质体现在扫描电子隧道谱上,就是正偏压下谱线的强度要小于负偏压的强度。这种谱线强度的不对称在超导相中也观测到了,说明导致莫特绝缘体的关联效应对超导的性质也有影响。
2.2 赝能隙现象
赝能隙现象出现在高温超导体的正常相中。当赝能隙出现时,电子的激发在费米面的某些片段上存在能隙,导致元激发态密度的抑制。赝能隙是高温超导体中发现的一个让人非常困惑的物理现象,起源还不清楚。这种现象最早由Alloul等在高温超导材料的核磁共振实验研究中发现,开始被认为是一种“自旋能隙”效应。后来Loram等在电子的比热的测量中也发现存在这种现象,证明这种“能隙”不仅仅只是在自旋激发中存在,因此被称为赝能隙。
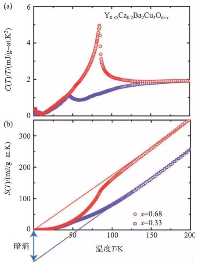
赝能隙有许多表现形式。其中一个最令人困惑的就是在赝能隙相中,电子的费米面不封闭,是一些片状的费米弧,由此造成系统热力学和动力学性质的反常。图2(a)是Y0.85Ca0.2Ba2Cu3O6+x 超导体的比热随温度的变化曲线,对其积分就可得到如图2(b)所示的熵随温度的变化曲线。在最佳掺杂的情况下,赝能隙基本消失,如果把熵从高温向低温做外插,外插曲线(图中的红线)要经过零点。这是态密度或者说状态数守恒的要求,也是所有常规金属超导体所满足的性质。但是对于欠掺杂高温超导体熵,熵从200 K的相对高温的区域做外插并不过零,而是外插到一个负数,表明有很多低能的熵消失了。类比于暗物质暗能量,也可称这个负熵为暗熵。暗熵的存在,当然不是说熵真的消失了,否则就会破坏状态数的守恒条件,而是转移到了比200 K要高得多的能量状态上去了。这是一个我们过去从未见过的物理现象,它意味着发生在低温的低能激发,和非常高温的电子激发是关联在一起的,我们不能简单的认为高能电子对低能物理性质的影响只是重正化一下耦合常数,量子场论的可重正化性假设有可能对高温超导是不适用的。

图2 Y0.85Ca0.2Ba2Cu3O6+x超导体的比热(a)和熵(b)随温度的变化曲线
2.3 预配对
在超导体中,存在两个能量尺度。一个是配对电子形成库珀对的能隙Δ ;另一个就是库珀对之间位相的相干能,也就是破坏库珀对之间相位相干所需要的能量,它正比于超导体的超流密度ρs 。
由于存在这两个能量尺度,破坏超导也存在两种不同的途径:一是拆对,也就是通过激发,把库珀对中的两个电子拆散;二是退相干,扰乱库珀对之间的位相,破坏其相干性。对于绝大多数金属超导体,电子配对的能隙远远小于位相相干能, Δ ? ρs ,拆对是破坏超导的主要原因,超导温度应正比于超导的能隙Δ 。相反,如果位相相干能远远小于超导的能隙, Δ ? ρs,破坏位相相干比拆对更容易,退相干则变为破坏超导主要原因,超导相变温度应正比于超流密度ρs 。这时,在超导转变温度之上,依然存在库珀对,但库珀对之间的位相涨落太强,无法形成长程的超导位相相干,这就是预配对的物理图像。
在欠掺杂高温超导体中,实验发现超导转变温度近似随超流密度ρs 线性变化,说明在超导相变温度之上超导的位相涨落很强。由于赝能隙出现在同样的温度区间,因此也有人认为赝能隙相就是一个预配对相。但有关超导位相涨落的理论还很不完善,什么是超导位相涨落特有的性质目前并不清楚,更不可能根据这种理论对赝能隙性质做出准确的预言。
最近,Bozovic 等发现,过掺杂的镧锶铜氧超导体的超导转变温度也几乎是随超流密度线性变化的。这个结果不能在朗道费米液体理论的框架下得到合理的解释,说明即使是过掺杂的高温超导体中也存在反常。
2.4 电荷自旋分离
电子带有电荷和自旋两个自由度。在固体中,对应就有电荷和自旋两种不同的元激发。如果相互作用与自旋无关,这两种元激发的能量尺度是一样的。但在高温超导材料中,电荷与自旋激发的特征能量尺度是分开的,被称为电荷自旋分离,这也是高温超导体中普遍存在但没有系统的理论能够刻画的一个现象。
事实上,电荷自旋的分离在没有载流子掺杂的莫特绝缘体中就存在。在莫特绝缘体中,电荷激发存在能隙,而自旋激发是无能隙的,因此在低能极限下,电荷被局域化,呈绝缘性质,而自旋激发可以自由运动,不受约束,与能带绝缘体中情况完全不同。
掺杂后,电荷激发也变得无能隙。但电荷与自旋激发的特征能量尺度还是分开的,因此电荷自旋分离依然存在。这两个能量尺度可分别通过角分辨光电子谱测量电子的单粒子谱函数和能量动量色散关系得到,也可通过输运实验测量电子的纵向和横向弛豫率(即弛豫时间的倒数)得到。电子的纵向和横向弛豫率对应的分别是电子电荷和自旋激发的弛豫率。
在最佳掺杂区域附近,实验发现高温超导材料的电阻随温度的变化关系是线性的,不同于在通常金属中观测到的电阻随温度的平方变化的行为。线性电阻也在其他强关联量子材料中观测到,有可能是量子临近涨落导致的,但具体是什么相互作用或散射过程导致这种现象的产生目前并不清楚。根据线性电阻,可以推断纵向弛豫率是温度的线性函数。横向弛豫率可以通过霍尔系数的测量得到。实验发现横向弛豫率是随温度的平方改变的,与纵向弛豫率不一样,说明电荷与自旋的激发是分离的。
3、解决高温超导问题的困难之处
高温超导自1986 年发现以来,经过三十多年的研究,我们对它的性质已经有了非常好的了解,但高温超导的机理这个最重要的问题依然没有解决。可以说,高温超导材料是我们研究的最清楚的,但也是最不清楚的一类材料。
高温超导研究中最为清楚的就是超导电子配对的对称性。高温超导电子配对具有d 波对称性,得到了包括光、电、磁、热等大量实验测量的验证和理论研究工作的支持。超导电子配对对称性的确定,为准确定量预言高温超导材料在超导相的物理性质奠定了基础。但仅从超导电子的对称性,并不能唯一确定导致这种电子配对的相互作用是什么。这是因为超导电子配对对称性不仅与相互作用有关,而且还与费米面在动量空间的位置及几何形状有关。相同的配对相互作用,费米面发生变化,配对对称性也可能发生变化。因此,仅从超导配对的对称性并不能确定超导电子配对的机理。
在文献中,通常有一种观点认为,只要实验上观察到同位素效应就证明是电声相互作用导致的超导电子配对。这个观点缺乏理论依据,同位素效应是电声相互作用起作用的必要条件,但不是充分条件。同样,从理论上讲,超导相变温度也不存在一个特殊的不可超越的极限,不能说因为超导相变温度超过了某个温度就不是电声相互作用导致的。2015 年,Eremets 等发现硫化氢在高压下会变成超导体,相变温度可达近200 K。如果他们的实验结果得到最终的证实,那么高压下的硫化氢将是迄今为止发现的相变温度最高的超导体,这种超导体的超导电子配对就极有可能是电声相互作用导致的。
对于铜氧化物高温超导体,目前流行的观点认为超导电子配对主要是由反铁磁的涨落导致的。原因主要有两点:一是高温超导材料中的确观察到了非常强的反铁磁涨落;二是反铁磁相互作用的特征能量尺度比这类材料的德拜温度要高5 倍左右,由此导致的超导能隙比较大,有利于高超导相变温度的出现。但对于反铁磁涨落的理论描述,目前还很不清楚,还无法基于这种理论对超导性质做出比较系统可靠的预言。
高温超导的实验研究在过去的三十多年积累了大量的数据,为高温超导的研究提供了有力的数据支撑。但就高温超导机理研究而言,实验上还给不出具有判断性的测量数据,缺乏一锤定音的结果。
高温超导机理研究的一个重要目标就是要判定是什么相互作用导致了超导的电子配对,也就是准确判断到底是电声相互作用、电子与磁涨落的耦合、还是电子与其他元激发的相互作用导致了电子的超导配对。目前的实验主要是通过对电磁响应函数、热力学量、电子能谱等物理量的测量来研究这个问题,测量结果提供一些关于超导电子配对相互作用的信息,但实验测量的物理量与电子相互作用的关系通常都非常复杂,很难唯一或比较准确地确定到底是哪种相互作用导致了电子的超导配对。
要解决这个问题,必须发展能够直接调节和探测电子与其他元激发相互作用的实验探测手段。如果是电声相互作用驱动的超导电子配对,那么通过调节电声相互作用,在尽可能不扰动其他物理参量的情况下,就可以有效地改变超导相变温度。反之,如果无论怎样改变电声相互作用,超导相变温度都没有明显变化,也就证明超导电子配对不是来自于电声相互作用。同样,要判断铜氧化物高温超导电子配对与磁涨落的关系,最好方法也是直接调节电子与磁涨落的相互作用。通过掺杂、改变压力等手段也可以改变超导相变温度,但这些方法往往把很多参数都改变了,很难知道哪个量的改变起了主要作用。直接调节和探测电子与其他元激发相互作用就是为了避免这种盲目性。这种新的探测技术的发展,不仅对超导研究具有重要的意义,而且对其他功能材料或器件的开发和研究也会起到极大的推动作用。
理论上讲,高温超导之所以难研究,是因为高温超导的特征能量尺度比普遍金属的特征能量尺度要小两个数量级。表征金属的一个特征能量尺度就是电子的费米能,大概在一个电子伏特的量级,转换成温度,大约是一万多度。也就是说,对于普通金属,我们只要在一个电子伏特的能量分辨率上,把相互作用作为微扰,就可以对它的性质做非常好的预测。高温超导的一个特征能量尺度,就是超导的相变温度,大约在100 K左右,比金属的电子费米能小两个量级。因此,要理解高温超导的性质,我们需要的能量分辨尺度也要高两个量级。已有的固体电子论还达不到这么高的能量分辨的要求。而且,这个能量尺度和电子与其他元激发的相互作用同量级,微扰论不再适用,没有成熟的非微扰量子场论方法可用。
解决这个问题的主要思路有两个。一是基于实验结果的唯象分析,发展非微扰场论方法和理论。这方面包括共振价键理论、U(1)规范理论、位相及反铁磁涨落理论等,但这些理论都不够系统,缺乏预言能力;二是发展新的多体量子计算方法,通过对哈伯德(Hubbard)模型等高温超导基本模型的研究,探索和发现高温超导材料中出现的各种反常现象的物理根源,为解决高温超导的机理问题提供科学依据。
高温超导材料的电子结构非常复杂,要把所有的因素都包括进来研究从现在来看是不现实的。因此模型的研究在强关联量子问题的研究中占据着重要的地位,这方面取得进展的可能性也更大一些。相变问题的研究,就是通过对极端简化的二维伊辛模型的求解取得突破的。
高温超导研究推动了多体量子计算方法的发展,同时这方面的进展,也促进了高温超导的理论与实验研究。密度矩阵重正化群、量子蒙特卡罗、动力学平均场理论以及严格对角化方法相对比较成熟一些,但这些方法在处理二维非半满的电子系统或有阻锉的量子自旋系统存在一些局限性,还不能用于系统解决高温超导材料中的问题。张量重正化群是近年来发展的一种新的多体量子计算方法,这种方法没有量子蒙特卡罗方法遇到的负符号问题,是一种应用范围更广的计算方法,已经在量子自旋问题的研究发挥了其他方法无法替代的作用,也为更广泛解决强关联量子计算问题带来了希望。
4、展望
高温超导机理到目前为止,还是一个没有解决的问题。但高温超导的研究,促进了角分辨光电子谱、扫描隧道电子谱等实验技术的发展,也激发并推动了新的多体量子理论、以及包括密度矩阵及张量重正化群在内的多体计算方法的发展。同时,高温超导的研究也对凝聚态及材料物理的其他领域的发展起到了带动作用,引发并带动了量子临界性、量子自旋液体、庞磁阻、多铁性等问题的研究。
解决高温超导机理问题,可以为寻找新的高温超导体,特别是室温超导体提供理论依据;也对提高高温超导材料的性能,扩大其应用领域具有指导意义。但这不是高温超导研究的唯一,甚至不是最主要的目的。高温超导问题是物理学的一个基本问题,它揭示了大量新的多体量子现象,这些现象不能在已有的多体量子场论框架下得到解释。因此,解决高温超导机理问题,就必须建立新的多体量子理论体系。这个理论的建立,毫无疑问将对全面系统解决强关联量子问题起到关键的作用,同时也将对量子场论及物理学的其他领域的发展产生深远的影响。而高温超导正是提供了启发并检验这个新的量子理论的一个脚本。
高温超导的“前世今生”与未来
周兴江 中国科学院物理研究所研究员、博士生导师, 超导国家重点实验室主任
1、超导是一种神奇的宏观量子现象
超导电性是由荷兰科学家Kamerling Onnes于1911年发现的,是指一些材料在某个临界温度以下电阻为零的现象。超导材料的两个基本特性,零电阻和抗磁性,赋予了超导体许多重要的应用。超导已有了一些重要的实际应用,如用于医院里的核磁共振成像、高能加速器、磁约束核聚变装置等。电源传输、磁悬浮列车、量子计算则代表着超导的重要潜在应用。但长期以来,制约超导体广泛应用的一个主要瓶颈,在于其极低的超导临界温度。
超导研究一直是科学界的热点和重要课题。自1911年发现以来,超导研究始终沿着两个重要的方向发展,一是探索新的超导材料,不断提高超导转变温度,另一个则是阐明超导机理。1911~1986年近70年, 尽管超导临界温度得到逐渐提高,但进展缓慢,长期停留在23.2K的门坎。1957年,3位美国科学家Bardeen,Cooper和Schrieffer提出了著名的BCS超导理论,完美地解决了超导电性的机理问题。BCS超导理论认为,超导电性是两两配对的电子在低温下凝聚而产生的,电子配对则是通过两个电子之间交换声子实现的。基于BCS超导理论,McMillan(麦克米兰)认为,超导转变温度可能存在上限,即所谓的麦克米兰极限,一般认为不超过40 K。
麦克米兰极限能否被打破? 是否存在超导温度超过40 K的“高温超导体”? 是否存在液氮温区(77 K)以上的超导体? 这些问题不仅是一个谜,更是科学家孜孜追求的梦想。在不断探寻的过程中,也不时会出现关于发现高温超导体的报道,但最终就像神秘的UFO一样,被归结为USO之列(Unidentified Superconducting Objects, 无法重复证实的高温超导体)。
2、我国高温超导研究的起步
我国的超导研究起始于20世纪50年代后期,是老一辈科学家先后实现了氢气和氦气的液化之后,才具备了开展超导研究必要的极低温条件。1974年,赵忠贤在剑桥大学进修期间,在导师艾维兹(Jan Evetts)的实验组开展了有关第II类超导体中磁通流动问题的研究并有所发现。1975年9月中旬回国,赵忠贤经过一段时间的考虑和征求中国科学院物理研究所(简称物理所)领导意见后,1976年决定从事“探索高临界温度超导体”研究。
1977年,赵忠贤在《物理》上发表了“探索高临界温度超导体”一文,阐述了他当时对传统超导理论发展趋势的概括和独到的见解。他认为“结构不稳定性有利于高临界温度”,这是他早期探索高温超导的思路。他认为被普遍接受的麦克米兰极限40 K是有可能被突破的。他赞同国际上某些科学家的观点“如果有很强的结构不稳定性又能保持不发生结构相变。超导临界温度能够达到40~55 K”。特别是他认为“复杂的结构或新机制有可能达到80 K临界温度”,在当时是相当大胆的观点。他强调的“超导电性可以来源于不同机制”的观点,至今仍被广泛认同。
赵忠贤作为先驱之一开启了我国高温超导研究。自1976年起他大力推动高温超导研究。作为积极分子积极参与组织全国性的“全国探索高临界温度超导体讨论会”(后改名为高临界参数超导体),每两年一次。截至1986年11月,十年间共举办了6次,促进了学术交流合作。他早期所从事的这些工作及十年的积累(1976~1986年),为后来我国的高温超导研究汇聚了一批人才,为中国学者在第一次国际高温超导热潮中取得成就奠定了基础。使得在20世纪80年代改革开放初期实验条件相当落后的条件下,我国在高温超导领域,特别是材料方面能抓住先机,取得突破并处于国际领先地位。

▲1987年液氮温区铜氧化合物超导研究集体的部分成员(前排左一赵忠贤)
3、铜氧化物高温超导体的发现及其意义
1986年,在国际商业机器公司(IBM)苏黎世研究实验室工作的Bednorz和Mueller, 发表了在Ba–La–Cu–O体系中可能存在35 K超导电性的工作,与赵忠贤探索高温超导的思路发生了共鸣。基于多年形成的学术观点和敏锐的直觉,赵忠贤是国际上最早认识到铜氧化物超导体重要意义的少数科学家之一。他立刻积极组织团队、创造条件,启动了铜氧化物高温超导体的研究工作。在那段激情燃烧的岁月里,赵忠贤带领团队争分夺秒,夜以继日地在实验室工作,困了就以实验桌为床,或坐在椅子上打个盹儿,醒了继续做实验。在最紧张的时刻,赵忠贤曾连续48个小时没有合眼。正是以这种忘我的献身与拼搏精神,他带领团队利用自己现搭的炉子和测量设备,在简陋落后的条件下,取得了举世瞩目的成就。
1986年底,赵忠贤领导的研究小组成功合成了临界温度超过40 K的Sr(Ba)–La–Cu–O超导体,突破超导临界温度40 K麦克米兰极限, 并发现了70 K超导的迹象。 这一突破在国际上引起了高度关注,Science杂志报道了中国小组超过40 K极限和70 K迹象的结果。在复现70 K超导迹象的过程中,赵忠贤注意到受原料纯度和杂质的影响。用Sr取代Ba的尝试没有达到70 K后,在确定新的研究方案时出现了几种建议,最后赵忠贤在综合考虑有关想法的基础上建议并坚持的“在Ba基的、多相的体系中,用Y取代La”的方案取得了基本共识并得以实施。1987年2月19日深夜(20日的凌晨),赵忠贤等发现了液氮温区的超导电性: 转变温度达92.8 K。文章于2月21日投到《科学通报》并被接收。1987年2月24日,中国科学院数理学部召开新闻发布会,宣布在Ba–Y–Cu–O中发现了液氮温区超导电性。这是国际上首次公布液氮温区超导体的元素组成。第二天的《人民日报》刊登了这一新闻,外国通讯社纷纷转载,这条消息立刻传遍了世界,推动了世界范围的高温超导研究热潮。
1987年美国物理学会邀请当时国际上高温超导做得最好的5个小组参加美国物理年会。赵忠贤代表北京小组参加, 并作为5位特邀演讲者之一。在一间能容纳1100人的大厅里曾挤满了太多的人,后不得不疏散部分学者看闭路电视。3000多人参加、场面狂热的会议持续了7个多小时。这就是后来被称作物理学界的摇滚音乐节的三月会议。随后赵忠贤又作为特邀学者出席了有关高温超导的新闻发布会。在当时这是中国科学家非常少有的在国际学术舞台上的亮相,标志着中国科学家在基础物理研究方面走向了世界的前列。
1987年第三世界科学院Salam院长在人民大会堂给赵忠贤颁发TWAS物理奖,奖励他“对高温超导电性基础性的和先驱性的贡献,特别是在Ba–Y–Cu–O体系中实现了液氮温度以上的超导电性”。以赵忠贤为代表的研究集体因发现液氮温区氧化物超导体获1989年度国家自然科学集体一等奖。
液氮温区高温超导体发现30多年来,人们进一步认识到了其重要意义。高温超导体的发现,不仅展现了巨大的应用前景,而且对凝聚态物理中两个最成功的经典理论提出了挑战: 一个是描述金属行为的朗道费米液体理论,另一个是描述传统超导电性的BCS超导理论。高温超导体的发现揭开了“强关联电子体系”研究的全新篇章,为发现新材料、新量子现象和建立新的多体量子理论提供了契机。
1987年,赵忠贤和陈立泉联名向国务院建议成立国家超导实验室(后改名为超导国家重点实验室),赵忠贤担任首届实验室主任,为建设国际上综合实力领先的超导研究基地做出了贡献。
4、铁基高温超导体的发现及其意义
2008年,经过了20年对铜氧化物高温超导体的物理机理研究,赵忠贤在探索新的高温超导体方面逐渐地发展了一种新的思路,即存在多种合作现象的层状四方体系中,有可能实现高温超导。2008年日本Hosono小组报道了层状结构LaFeAsO体系26K的超导电性,我国科学家迅速反应,不断突破,在材料和基础物理方面取得了重要成果。日本小组的报道与赵忠贤团队多年形成的思路产生了共鸣。他们曾在1993年首先将稀土引入该结构并研究过RECuSeO(RE:稀土元素)体系。赵忠贤立刻认识到高温超导有可能孕育着新的发现,并带领团队全力以赴开展研究,抓住了重要的机遇, 再次取得了突破。

▲2008年5月与发现系列50 K以上铁基超导体团队成员在一起(前排左四赵忠贤)
赵忠贤带领团队通过研究LaFeAs(O,F)压力效应的影响,判断超导临界温度有进一步提升的空间。他提出用轻稀土替代,结合高温高压材料合成技术,最先在国际上实现超导转变温度52 K的氟掺杂镨氧铁砷(PrFeAsO)铁基超导体,显著超过了40 K的麦克米兰极限,为确认铁基超导体是第二个高温超导家族提供了重要依据。接着是51 K以上的氟掺杂钕氧铁砷(NdFeAsO)化合物,很快又合成了氟掺杂钐氧铁砷(SmFeAsO)化合物,其超导临界温度提升至55 K,创造了新的记录,这个块材铁基超导体的临界温度记录一直保持至今。他的研究组第一个合成了不含氟的含氧缺位的新的铁基超导体,最先获得掺杂元素和掺杂量对超导转变温度和晶格常数影响的完整相图,并采用高压测量手段,确定了铁基高温超导体的超导温度上限。
Nature, Science, Physics World 等争相报道。Science杂志3次报道与赵忠贤小组有关的工作。赵忠贤小组有4篇论文连续多次被列入世界10篇物理学热门论文,其中2008年发表在《中国物理快报》的文章单篇他引已超过1000次。铁基超导入选Science杂志2008年“十大科学突破”,其中提到的“Pr元素替代La”及“超导温度提高到55 K”均来自赵忠贤小组。
2013年,“40 K以上铁基高温超导体的发现及若干基本物理性质研究”荣获国家自然科学一等奖。2015年,在瑞士召开的第11届国际超导材料与机理大会上,赵忠贤被授予Bernd T. Matthias奖,这是国际超导领域重要的奖项,每三年颁发一次。此次是内地科学家首次获奖,以奖励他“发现临界温度高达55 K的系列RE(O,F)FeAs和REO1-xFeAs (RE为稀土元素)铁基超导体,展现了大块铁基超导体临界温度的上限”。
铁基高温超导体的发现,为人类高温超导的研究,打开了铜氧化物高温超导体之外的另一扇大门。打破了铁元素不利于超导的传统认识,推动了多轨道关联电子系统的研究和发展。与铜氧化物一样,铁基高温超导体研究蕴含着丰富的物理内涵。此外,铁基超导体具有金属性和非常高的临界磁场,材料工艺相对简单一些,有希望用于制备新一代超强超导磁体,有着重大的应用前景。
5、高温超导研究的启示和展望
100多年来,超导研究一直是凝聚态物理最活跃的前沿领域,已有5次1人因为和超导相关的研究而获得诺贝尔物理学奖。这里不乏革命性的思想,如BCS超导理论从单电子的输运行为跳跃到两个电子的配对和凝聚。这里不乏打破传统、独辟蹊径、勇于创新、敢为人先的精神和行动。当人们的目光都关注在金属或合金体系中去寻找新超导体时,在不良导体陶瓷材料和氧化物材料中寻找新超导体显得那么离经叛道,但却导致了铜氧化物高温超导体的发现。当人们普遍认为,磁性和超导是不共戴天时,却有人在最常见的磁性材料——铁作为基本单元的材料中,发现了第二个高温超导体家族。超导100年历史完美地诠释了科学发现和发展的历程。
我国的超导研究,起步比国际上要晚近50年。但目前我国的超导研究,已经跻身国际的先进甚至领先的行列。对一个发展中国家,在一个起步严重落后的领域,能实现后来居上,其中的经验值得总结,这对其他领域发展具有借鉴和启示作用。
超导研究继续充满着惊奇、机遇和挑战。高温超导发现30年,超导机理仍然没有达成共识,解决高温超导机理被Science杂志列为是人类面临的125个重要科学问题之一。探索更高超导临界温度的超导体,特别是室温超导体,是人们孜孜追求的下一个梦想。如果能发现室温超导体,或性能更优越的超导体,将把人类社会带入超导时代。

赵忠贤是我国高温超导研究主要的倡导者、推动者和践行者,在国际上已有的两次高温超导突破研究中都取得了举世瞩目的成就,为高温超导在中国扎根并跻身国际前列做出了重要贡献。在我国高温超导研究从追赶到引领世界的进程中,受他影响的几代优秀人才已成长起来并担负起实现新突破的责任。正如他所说,“如果哪一天发现了室温超导体,应该有中国人”。这里面充满了使命感、信心,也包含着对年轻一代的殷切期望。
更多关于材料方面、材料腐蚀控制、材料科普等方面的国内外最新动态,我们网站会不断更新。希望大家一直关注中国腐蚀与防护网http://www.ecorr.org
责任编辑:王元
投稿联系:编辑部
电话:010-62313558-806
中国腐蚀与防护网官方 QQ群:140808414
免责声明:本网站所转载的文字、图片与视频资料版权归原创作者所有,如果涉及侵权,请第一时间联系本网删除。
官方微信
《中国腐蚀与防护网电子期刊》征订启事
- 投稿联系:编辑部
- 电话:010-62316606-806
- 邮箱:fsfhzy666@163.com
- 中国腐蚀与防护网官方QQ群:140808414



