咪唑啉缓蚀剂分子反应活性的量子化学研究
2014-03-13 16:56:30
作者:郁金华,史瑞莲来源:=$docheckrep[1]?ReplaceBefrom($ecms_gr[befrom]):$ecms_gr[befrom]?>
近年来,随着计算机软、硬件水平的提高和理论知识的不断完善,密度泛函理论(DFT)已经发展成为一种非常重要的计算方法,该方法可以对分子的几何构型和电子分布等信息做出足够精确的判断[1]。自从Vosta[2]于1971年用HMO(Hiickel Molecular Orbital Method)分子轨道近似方法研究有机缓蚀剂以来,量子化学计算方法已成为研究吸附型缓蚀剂分子结构与缓蚀性能关系的有效手段。己有许多学者用不同量子化学计算方法研究了各类吸附型缓蚀剂分子结构与缓蚀效率间的关系[4-7]。
文章以11种同烷基链长咪唑啉类缓蚀剂分子为研究对象(见图1),采用DFT中的GGA/BLYP方法,通过计算分子的前线轨道分布、电荷分布、轨道系数、Fukui指数等量化参数,系统分析分子的反应活性和选择性,确定其吸附活性位点,分析烷基链对缓蚀剂分子反应活性的影响,为进一步开展缓蚀剂分子设计提供参考。

图1 11种咪唑啉缓蚀剂分子在BLYP/DND理论水平优化的几何构型
1 计算方法
使用Material Studio4.0软件中Visualizer模块构建所选择的11种咪唑啉衍生物缓蚀剂的分子结构,结构参数由DMol7模块优化得到。在Kohn-Sham方程求解中,交换相关能采用GGA(Generalized Gradient Approximation,广义梯度近似)泛函,参数选取BLYP。自洽场迭代过程采用DND基组(双ζ数值基组,在非氢原子上加极化d函数),并以ECP赝势将该轨道冻结,收敛精度与轨道截断品质皆取为中等,迭代次数最大为50。为了加速自洽场收敛的速度,计算中采用了DIIS算法和热拖尾法(thermal smearing),电荷密度混合值取为0.2。原子受力由Hellman-Feynman理论进行求解。几何优化采用Baker提出的本征向量跟踪算法,经Lagrange信增算法改进。进行频率分析,确保所得的结构均为势能面上的极小点(即无虚频);在同一基组水平上计算分子的前线轨道分布、电荷分布、轨道系数、Fukui指数等量化参数。全部计算在Pentium Ⅳ微机上进行。2 计算结果与讨论
2.1分子构型设计
11种咪唑啉类缓蚀剂分子在BLYP/DND理论水平上优化的最终构型如图1所示。优化后所得各分子咪唑环中原子之间的键长和键角信息与已报道[8]的咪唑啉衍生物结构参数的实验数据基本相符。此外,红外光谱的实验研究表明:咪唑环中N=C双键的振动频率介于1600-1610cm-1之间[8-9],对11种咪唑啉分子的计算结果为1615-1632cm-1,计算结果与实验结果基本吻合,说明对缓蚀剂分子结构的优化所采用的方法是可靠的。
图2 咪唑啉分子最高占有轨道 (HOMO)的0.02 a.u.等值面图形


图3 咪唑啉分子最低空轨道 (LUMO)的0.02 a.u.等值面图形
2.2 缓蚀剂分子反应活性位点探析
2.2.1前线轨道分析
化学反应中反应物分子间电子的跃迁仅发生在分子的前线轨道即最高占有轨道(HOMO)和最低空轨道(LUMO)之间[11],因此前线轨道对化学反应起着决定性的作用,通过研究前线轨道分布可以得到缓蚀剂分子的反应活性信息。从图2、3中可以看出:(1)B、C、D、K分子的HOMO和LUMO具有相同的活性中心。
(2)A、E、F、G、H、I、J分子的HOMO、LUMO活性中心不同,除J分子,其它各分子的HOMO主要分布在咪唑环上,LUMO离域于亲水取代基。结果分子与金属发生作用时咪唑环和亲水取代基分别作为亲核、亲电活性区发生吸附,形成多中心吸附。
(3)G分子的HOMO主要离域于咪唑环上;J分子的HOMO在咪唑环和亲水基上都有分布;K分子HOMO全部离域于亲水取代基上。因此随着亲水支链上硫脲基个数的增加,此类分子的HOMO逐渐由咪唑环向亲水基转移。
综上可知,11种咪唑啉衍生物分子的活性区域主要离域于咪唑环和亲水取代基上,疏水基(即长烷基链)对分子活性几乎没有贡献。
2.2.2反应活性位点分析
分析过程如下:(1) 将分子中原子进行排序(如表1),方便原子活性进行。
(2) 对所选分子进行Mulliken布局分析:计算各分子的前线轨道系数,得出各原子对前线轨道的贡献,同时计算出各原子的Fukui指数值、综合电荷分布和前线轨道系数,分析缓蚀剂分子的反应活性位。对某种特定分子,各原子对前线轨道贡献可用下式表示[10]:
其中,r代表原子,i代表r原子所有的原子价轨道,
表示分子HOMO(或LUMO)轨道中原子轨道的系数。
则为分子中r原子对HOMO(或LUMO)轨道的贡献,其数值越大贡献越大。采用Fukui指数对分子的局部反应活性进行精确分析。在外加势场
一定的情况下,Fukui函数
定义为电子密度
对电子数N的一阶导数[10]:
应用有限差分近似,Fukui函数
可表示为[9、10]:
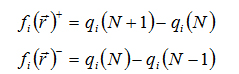
式中qi (N)、qi (N+1)、qi (N-1)分别是分子为中性、阴离子和阳离子时,分子中原子i所带的电量;
和
分别为亲核攻击指数和亲电攻击指数,表示分子中原子i得(失)电子能力的强弱,数值越大,得(失)电子能力越强。
由结果可以看出E分子中羧基上C11、 O12和O13,F中C9、C12、O15,G中N8、N10、C9、S11 ,H分子中C11、C14、 C12、C13、O16和O17,以上原子均带较多负电荷,其对最高占有轨道贡献和亲电Fukui指数
数值都较大,具有较强的亲电活性,与金属发生作用时这些原子通过提供电子与金属形成配位键;A分子中的C9、 O11,G分子的S11,I分子中R2取代基羧基上的O14、O16,G、J、K三分子中与S原子相连的C原子等原子均具有较大的亲核Fukui指数
,同时其对最低空轨道贡献均较大,是各分子的亲核活性位,这些原子通过得到金属反键轨道的电子与金属形成反馈键;此外G、J、K三分子中S原子的
和
数值均较大,同时其对HOMO、LUMO都有显著贡献,因此硫原子同时具备较强的亲核、亲电活性。综上所述,咪唑啉缓蚀剂分子与金属相互作用时,咪唑环上既有大π共轭体系中的电子可以与与金属空d轨道结合形成配位键,同时亦有原子可以接受金属提供的电子而形成反馈键;同样,亲水官能团上除了可以接受金属提供的电子而与其形成反馈配位键外,亦有个别原子可以提供电子与金属空d轨道结合形成配位键。一般来说,杂原子易于提供孤对电子而与金属的空d轨道相结合而形成配位键,在本文研究的分子中,有些杂原子,如N8、O15原子却没有表现出应有的亲电反应活性,这可能是由于分子中其他官能团的引入使得N8、O15原子的反应活性发生了转移。

3 本文小结
(1)分子的反应活性区域和活性位点主要集中在咪唑啉分子的头部,咪唑环和亲水取代基上的杂原子是分子的主要活性位点;
(2)S原子具有很强的活性,其对HOMO、LUMO贡献都比较大,可同时作为亲核、亲电活性位,且随着分子中S原子的增多其反应活性位点随之增多,缓蚀效率也将进一步增加;
(3)烷基尾链对其活性分布基本不产生影响。
(2)S原子具有很强的活性,其对HOMO、LUMO贡献都比较大,可同时作为亲核、亲电活性位,且随着分子中S原子的增多其反应活性位点随之增多,缓蚀效率也将进一步增加;
(3)烷基尾链对其活性分布基本不产生影响。
参考文献
[1] Cruz J., Pandiyan T., Garcıa-Ochoa E. A new inhibitor for mild carbon steel: Electrochemical and DFT studies[J]. J.
Electroanal. Chem., 2005, 583(1): 8-16.
[2] VOSTA J, ELIASEK J. A Quantum chemical study of the corrosion inhibition of iron by means of aniline derivatives in hydrochloric acid [ J ]. Corrosion, 1976, 32 (5) : 183-185.
[3] BEREKET G, OGRETIR C, OZSAHIN C. Quantum chemical studies on the inhibition efficiencies of some piperazine derivatives for the corrosion of steel in acidic medium [ J ]. Journal of Molecular Structure (Theochem), 2003, 663 : 39-46.
[4] 张士国, 杨频. 用量子化学密度泛函理论研究环状含氮化合物分子结构与缓蚀性能的关系[ J ]. 中国腐蚀与防护学报, 2004, 24 (4) : 240-244.
ZHANG Shi-guo, YANG Pin. The molecular structure and corrosion inhibitor efficiency of some cyclic nitrogen compounds: an DFT study [ J ]. Journal of Chinese society for corrosion and protection, 2004, 24 (4) : 240-244.
[5] RODRIGUEZ- VALDEZ L M, MARTINEZ- VILLAFANE A, GLOSSMAN- MITNIK D. Computational simulation of the molecular structure and properties of heterocyclic organic compounds with possible corrosion inhibition properties [ J ]. Journal of Molecular Structure(Theochem), 2005, 713 : 65-70.
[6] ARSLAN T, KANDEMIRLI F, E.EBENSO E, et al Quantum chemical studies on the corrosion inhibition of some sulphonamides on mild steel in acidic medium [ J ]. Corrosion Science, 2009, 51 : 35-47.
[7] Rodriguez-Valdez L. M., Martinez-Villafane A., Glossman-Mitnik D. Computational simulation of the molecular
structure and properties of heterocyclic organic compounds with possible corrosion inhibition properties[J]. Journal of Molecular Structure: THEOCHEM, 2005, 713(1-3): 65-70.
[8] Wang D., Li S., Ying Y. Theoretical and experimental studies of structure an d inhibition efficiency of imidazoline
derivatives[J]. Corrosion Science, 1999, 41(10): 1911-1919.
[9] Martin J. A., Valone F. W. The existence of imidazoline corrosion inhibitors[J]. Corrosion, 1985,
41(5): 281-287.
[10] Yang,W.; Parr,R. G. Proc. Nati. Acad. Sci.USA, 1985, 82: 672
[11] KENICHI F. Chemical reactivity theory- it’s pragmatism and beyond [ J ]. Pure and Applied Chemistry, 1982, 54 (10) : 1825-1836.
作者简介:郁金华,男,汉族,生于1978.7,单位:克拉玛依职业技术学院,
硕士 研究方向:材料物理 助教
电话:18290701361;QQ号:1395290312
邮寄地址:新疆克拉玛依独山子区6区11栋9号 郁金华收 邮编:833600
Electroanal. Chem., 2005, 583(1): 8-16.
[2] VOSTA J, ELIASEK J. A Quantum chemical study of the corrosion inhibition of iron by means of aniline derivatives in hydrochloric acid [ J ]. Corrosion, 1976, 32 (5) : 183-185.
[3] BEREKET G, OGRETIR C, OZSAHIN C. Quantum chemical studies on the inhibition efficiencies of some piperazine derivatives for the corrosion of steel in acidic medium [ J ]. Journal of Molecular Structure (Theochem), 2003, 663 : 39-46.
[4] 张士国, 杨频. 用量子化学密度泛函理论研究环状含氮化合物分子结构与缓蚀性能的关系[ J ]. 中国腐蚀与防护学报, 2004, 24 (4) : 240-244.
ZHANG Shi-guo, YANG Pin. The molecular structure and corrosion inhibitor efficiency of some cyclic nitrogen compounds: an DFT study [ J ]. Journal of Chinese society for corrosion and protection, 2004, 24 (4) : 240-244.
[5] RODRIGUEZ- VALDEZ L M, MARTINEZ- VILLAFANE A, GLOSSMAN- MITNIK D. Computational simulation of the molecular structure and properties of heterocyclic organic compounds with possible corrosion inhibition properties [ J ]. Journal of Molecular Structure(Theochem), 2005, 713 : 65-70.
[6] ARSLAN T, KANDEMIRLI F, E.EBENSO E, et al Quantum chemical studies on the corrosion inhibition of some sulphonamides on mild steel in acidic medium [ J ]. Corrosion Science, 2009, 51 : 35-47.
[7] Rodriguez-Valdez L. M., Martinez-Villafane A., Glossman-Mitnik D. Computational simulation of the molecular
structure and properties of heterocyclic organic compounds with possible corrosion inhibition properties[J]. Journal of Molecular Structure: THEOCHEM, 2005, 713(1-3): 65-70.
[8] Wang D., Li S., Ying Y. Theoretical and experimental studies of structure an d inhibition efficiency of imidazoline
derivatives[J]. Corrosion Science, 1999, 41(10): 1911-1919.
[9] Martin J. A., Valone F. W. The existence of imidazoline corrosion inhibitors[J]. Corrosion, 1985,
41(5): 281-287.
[10] Yang,W.; Parr,R. G. Proc. Nati. Acad. Sci.USA, 1985, 82: 672
[11] KENICHI F. Chemical reactivity theory- it’s pragmatism and beyond [ J ]. Pure and Applied Chemistry, 1982, 54 (10) : 1825-1836.
作者简介:郁金华,男,汉族,生于1978.7,单位:克拉玛依职业技术学院,
硕士 研究方向:材料物理 助教
电话:18290701361;QQ号:1395290312
邮寄地址:新疆克拉玛依独山子区6区11栋9号 郁金华收 邮编:833600
相关文章
无相关信息
官方微信
《中国腐蚀与防护网电子期刊》征订启事
- 投稿联系:编辑部
- 电话:010-62313558-806
- 邮箱:fsfhzy666@163.com
- 中国腐蚀与防护网官方QQ群:140808414
点击排行
PPT新闻
铝合金LDH自修复自抗菌膜层构建
点击数:466
碳钢及合金钢应用与区别
点击数:393


