唐聿明 苗永法 张国栋 左禹1
北京化工大学材料科学与工程学院,北京100029
[1]联系人:E-mail: zuoy@mail.buct.edu.cn,
Tel: 86-10-64423795, Fax: 86-10—64423795

作者简介:
唐聿明 博士,副教授,1971年生。1994年、1997年分别获得北京化工大学腐蚀与防护学工学学士及硕士学位。1997年8月北京化工大学任教,2004年获得材料学博士学位。2006年~ 2008在美国Florida Atlantic University海洋工程系作博士后访问研究。主要从事金属材料局部腐蚀电化学研究,钢筋混凝土腐蚀研究,材料表面的强化处理,以及材料腐蚀领域中计算机软件的设计与开发。负责和参加国家自然科学基金、军工配套项目、省部级科研项目十余项,在国内外核心刊物上发表文章80余篇,申请专利5项。
摘要:通过溶胶凝胶法合成水化硅酸钙,利用氯离子含量标定法、极化曲线、交流阻抗和挂片失重等方法,研究了不同添加量(1%、3%和6%)的水化硅酸钙对不同pH值的混凝土模拟孔隙液及孔隙液中钢筋电化学行为的影响。结果表明,水化硅酸钙能使孔隙液中的氯离子含量大幅下降。当孔隙液pH=12.5时,水化硅酸钙对钢筋腐蚀起促进作用,促进作用随着其含量的增加逐渐加大。当孔隙液pH=9.7时,水化硅酸钙减缓孔隙液中钢筋的腐蚀,其抑制作用随着含量的增加呈现出先增大后减小的趋势,并对此现象进行了初步探讨。
关键词:混凝土模拟孔隙液,pH值,钢筋,水化硅酸钙,腐蚀
1 前言
资助信息:感谢国家自然科学基金(50731004)对本项目研究支持。
钢筋混凝土是当今世界应用最广泛的建筑结构材料之一,而钢筋锈蚀是影响混凝土耐久性的最主要原因。造成钢筋锈蚀的主要因素是氯离子侵蚀,因此,降低钢筋所处环境中的氯离子浓度,对于减轻钢筋锈蚀,提高混凝土耐久性具有重要意义。水化硅酸钙(CSH)是混凝土中硅酸盐水泥的主要水化产物之一(含量在70%左右),其组成、结构对水泥浆体和混凝土的性能起着非常重要的作用。Reardon[1]认为表征水化硅酸钙化学组成的主要指标是C/S(钙硅摩尔比),可用xCaO·SiO2·xH2O表示。水化硅酸钙是一种多孔性、高比表面积物质(2.35×106 cm2/g),对氯离子等具有很强的吸附能力[2-3]。王春梅[2]等将水化硅酸钙浸泡在不同浓度、不同种类氯化物溶液中4h后,发现,水化硅酸钙对氯离子产生了明显吸附。耿健[3]通过Stern双电层理论解释了水化硅酸钙对氯离子的吸附。Hong等[4]研究发现,水化硅酸钙对碱也有一定的吸附性,其吸附能力与水化硅酸钙的组成和化学结构有关,C/S比增加其对碱的吸附量低。
水化硅酸钙对Cl-和碱的吸附,前人研究较多,而对混凝土中Cl-及pH的综合影响,以及对混凝土中钢筋的电化学行为的影响,前人鲜有报导。因此,本文研究不同添加量的水化硅酸钙对两种pH值的混凝土模拟孔隙液中Cl-及pH的作用,以及对钢筋电化学腐蚀行为的影响,并对原因做了初步探讨。
2. 实验方法
pH为9.7和12.5的混凝土模拟孔隙液组成分别为0.04 mol·L-1 Na2CO3 + 0.03 mol·L-1 NaHCO3,以及饱和Ca(OH)2溶液。Q235光圆钢筋,其成分为(wt. %):C 0.15,S 0.02,P 0.026,Si 0.17,Mn 0.42,Fe余量。将钢筋切割为φ1.4×1 cm试样,一端圆柱面焊接铜导线,用环氧树脂镶嵌,另一端面用水砂纸逐级打磨至1000#,水洗,丙酮除油,用914胶涂封,留出0.28 cm2中心面供电化学测试用。挂片失重试样为20×10×3 mm,砂纸打磨至1000#,水洗,丙酮除油,干燥。
通常,波特兰水泥完全水化后,水化硅酸钙的C/S比为1.4~1.6,故本实验C/S取1.5。水化硅酸钙制备方法[5]:将分析纯Ca(NO3)2·4H2O和Na2SiO3·9H2O分别配成饱和溶液,然后将两种溶液按C/S比1.5混合均匀后,在常温下密封静置15~20天,得到白色凝胶。用去离子水反复洗涤白色凝胶并真空抽滤4次,将抽滤产物恒温干燥,研磨。
向两种pH值的孔隙液中分别加入0.08 mol·L-1 NaCl,然后分别添加水化硅酸钙(C/S=1.5),添加量为1%、3%和6%,然后将孔隙液搅拌8h,真空抽滤,测量抽滤后孔隙液的pH值及Cl-含量。将制备好的钢筋试样于水化硅酸钙处理前后的孔隙液中浸泡0.5h后,进行极化曲线和交流阻抗测试。同时,对钢筋试样进行挂片失重实验。采用PCl-1型氯离子选择性电极测量孔隙液中氯离子含量。
极化曲线测试采用CS300电化学测试系统,扫描速率0.6 mV/s。交流阻抗测试采用普林斯顿Parstat 2273电化学测试系统,激励信号为正弦波,振幅5 mV,频率范围10-2~105Hz。采用三电极体系,工作电极为钢筋试样,参比电极为饱和甘汞电极,辅助电极为铂电极。测试在室温下进行。
3 结果与讨论
3.1 不同添加量的水化硅酸钙对pH=12.5的孔隙液的影响
pH=12.5的孔隙液经三种添加量(1%、3%和6%)的水化硅酸钙处理后,其pH值和Cl-浓度变化见图1。
图1a可见,与未经水化硅酸钙处理的孔隙液相比,经水化硅酸钙处理后,pH值均有所下降,下降幅度随水化硅酸钙含量的增加而增大;Cl-浓度亦均大幅下降,下降幅度可达90%,但下降的量与水化硅酸钙添加量不成线性关系。经水化硅酸钙处理前后孔隙液中Cl-浓度和OH-浓度的比值[Cl-]/[OH-]见图1b。可见,孔隙液的[Cl-]/[OH-]随着水化硅酸钙含量的增加而升高。通常[Cl-]/[OH-]可作为衡量混凝土中钢筋开始腐蚀的一个重要参数[6],其值越高,表明钢筋受Cl-侵蚀的风险越高。储炜等[7]通过实验得出混凝土模拟孔隙液中钢筋腐蚀的临界[Cl-]计算公式(ln [Cl-] = 0.804 pH – 9.72,pH > 9,其中[Cl-]为质量百分比浓度)。由式计算出pH=12.5孔隙液中钢筋发生腐蚀的[Cl-]/[OH-]临界值为7.6。本实验中,经水化硅酸钙处理前,孔隙液的[Cl-]/[OH-]为2.53,经1%、3%和6%添量的水化硅酸钙处理后,[Cl-]/[OH-]分别为2.79、108和160。因此,pH=12.5孔隙液经水化硅酸钙处理后,钢筋的腐蚀风险增大,且风险随水化硅酸钙含量的增加而增大。其中,添加量为1%时,[Cl-]/[OH-]虽有所增大,但没有超过临界值,当添加量为3%时和6%时,孔隙液的[Cl-]/[OH-]大大超过钢筋发生腐蚀的临界值。
图1. 不同添加量(1%、3%、6%)的水化硅酸钙对pH=12.5孔隙液的影响. (a) pH值和[Cl-],(b) [[Cl-]/[OH-]值
3.2 不同添加量的水化硅酸钙对pH=12.5的孔隙液中钢筋腐蚀行为的影响
pH=12.5的模拟孔隙液经三种添加量的水化硅酸钙处理后,将钢筋浸泡其中0.5h后进行极化曲线测试,结果见图2。可见,孔隙液未经硅酸钙处理前,钢筋的极化曲线有明显的钝化区间;经过水化硅酸钙处理后,钢筋的钝化区间减小,且添量增大,极化曲线的活化特征明显。说明,在pH=12.5孔隙液中,水化硅酸钙处理后,钢筋表面的钝性减弱,水化硅酸钙含量增大,钢筋更易发生腐蚀。#p#副标题#e#

图2. 不同添加量的水化硅酸钙处理前后孔隙液(pH=12.5)中钢筋的极化曲线1-0%,2-1%,3-3%,4-6%

图3. 不同添加量的水化硅酸钙处理前后pH=12.5孔隙液中钢筋的(a)EIS图和(b)Rp值1-0%, 2-1%, 3-3%, 4-6%
图3为钢筋在pH=12.5的孔隙液中的交流阻抗测试结果,经水化硅酸钙处理后,钢筋的容抗弧半径明显下降,且含量增加半径减小(图3a)。采用图4所示等效电路[8]对阻抗数据进行模拟(其中R1为孔隙液电阻,Rp为电荷转移电阻,CCPE为恒相角元件),得到不同添加量的水化硅酸钙处理前后钢筋的电荷转移电阻Rp(图3b)。可以看出,水化硅酸钙含量增加,Rp逐渐减小。说明,在pH=12.5的孔隙液中,水化硅酸钙含量越大,钢筋表面形成稳定钝化膜越困难,钢筋抵抗氯离子侵蚀的能力越弱,越易腐蚀。与极化曲线测试结果一致。
依据ASTM G31-72标准,将钢筋试样浸泡于经水化硅酸钙(添加量1%、3%和6%)处理后的孔隙液中168 h,取出,用180g·L-1CrO3 + 10 g·L-1AgNO3清洗液去除表面腐蚀产物,计算试样腐蚀速率V,结果如图5所示。可以看出,经水化硅酸钙处理后,孔隙液中钢筋的腐蚀速率增大,且随水化硅酸钙含量的增加而逐渐增大。说明,水化硅酸钙处理使pH=12.5孔隙液中钢筋的腐蚀得到促进,且促进作用随着水化硅酸钙含量的增加而增大。

图4. 等效模拟电路

图5 不同添加量(1%、3%、6%)的水化硅酸钙处理前后pH=12.5孔隙液中钢筋试样的腐蚀速率
3.3 不同添加量的水化硅酸钙对pH=9.7孔隙液的影响
pH=9.7的孔隙液经不同添加量(1%、3%和6%)的水化硅酸钙处理后,孔隙液的Cl-浓度均大幅下降; pH值均有所增加,增加幅度呈现先增大后减小的趋势(图6a)。

图6. 不同添加量的(1%、3%、6%)水化硅酸钙对pH=9.7孔隙液的影响. (a) pH值和[Cl-],(b) [Cl-] / [OH-]
[Cl-] / [OH-]均有一定程度的下降(图6b),但是呈现先减小后增大的趋势,由未经水化硅酸钙处理前的1596分别下降到58.14、39.31和110.94。而pH=9.7孔隙液中钢筋腐蚀的[Cl-] / [OH-]临界值为498,因此,经过水化硅酸钙后,孔隙液的[Cl-] / [OH-]皆降至临界值以下,其中水化硅酸钙含量为3%时,[Cl-] / [OH-]值最小。说明,水化硅酸钙的处理使pH=9.7孔隙液中钢筋的腐蚀风险大大降低,但降低程度随着水化硅酸钙含量的增加呈现出先增大后减小的趋势,当含量为3%时,钢筋的腐蚀风险最小。
3.4 不同添加量的水化硅酸钙对pH=9.7的孔隙液中钢筋腐蚀行为的影响
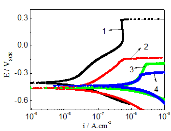
将钢筋浸泡在经水化硅酸钙(添加量为1%、3%和6%)处理后的孔隙液中0.5 h后,进行极化曲线测试和交流阻抗测试,图7为极化曲线测试结果。对阻抗数据进行等效电路(图4)模拟,电荷转移电阻RP随水化硅酸钙添加量的变化见图8。
图7可看出,水化硅酸钙处理后,钢筋腐蚀电位正移,表明其热力学稳定性有所减小;同时钢筋的腐蚀电流也有所减小,其中当水化硅酸钙含量为3%时,极化曲线上的钝化区间明显。图8显示,RP均增大,说明添加水化硅酸钙后孔隙液中钢筋的钝性增强,添加量为3%时,钝性最强。因此,经水化硅酸钙处理后,pH=9.7孔隙液中钢筋的腐蚀得到一定的抑制,其抑制作用随水化硅酸钙含量增加,呈现先增大后减小的趋势,在添加量为3%时,抑制作用最大。

图7. 不同添加量的水化硅酸钙处理前后pH=9.7孔隙液中钢筋的极化曲线:1-0%, 2-1%, 3-3%, 4-6%

图8. 不同添加量的水化硅酸钙处理前后pH=9.7孔隙液中钢筋的Rp值(1-0%, 2-1%, 3-3%, 4-6%)
将钢筋浸泡在孔隙液中24h后,对其进行光学显微观察(图略)。发现,经水化硅酸钙处理后,钢筋的腐蚀得到很好的改善,改善程度随着水化硅酸钙含量的增加呈现先增大后减小的趋势,其中,含量为3%时,钢筋表面腐蚀最轻,与电化学测试结果一致。#p#副标题#e#
对钢筋进行挂片失重实验,腐蚀速率V随水化硅酸钙含量的变化见图9。可见,水化硅酸钙处理后,腐蚀速率减小至原来的1/3。减小程度随孔隙液中水化硅酸钙含量的增加,呈现先减小后增大的趋势,当含量为3%时,腐蚀速率最小。说明添加3%的水化硅酸钙对pH=9.7孔隙液中试样腐蚀的抑制作用最好,钢筋抵抗氯离子侵蚀的能力最强。

图9不同添加量的(1%、3%、6%)水化硅酸钙处理前后pH=9.7孔隙液中钢筋试样的腐蚀速率
水化硅酸钙结构中含有呈酸性的硅烷醇(Si-OH)[9],它可与溶液中的碱发生中和反应,使水化硅酸钙具有一定的固碱能力。当孔隙液pH=12.5时(组成为Ca(OH)2),经水化硅酸钙处理后,溶液中的OH-可与酸性的Si-OH反应,导致孔隙液pH值下降;水化硅酸钙含量增加(1%、3%、6%),酸性Si-OH也增加,可与溶液中更多的碱反应,使得孔隙液pH值大降幅度增大,使钢筋的钝化性能减弱,更易腐蚀。Viallis等[10]通过高分辨率核磁共振研究了NaCl与水化硅酸钙之间的相互作用,指出Na+可以取代水化硅酸钙表面上的一部分H+,从而使溶液中含有呈酸性的H+。
在pH=9.7的孔隙液中,酸性硅烷醇与碱的中性化反应仍然可以发生。但是,水化硅酸钙处理后,孔隙液pH值上升,可能是因为C-S-H部分脱钙造成。据报导[11],当溶液pH值降低至12以下时,C-S-H会释放出Ca2+,正电荷的钙离子的释放和溶液中的酸(H+)进入C-S-H同时发生,因此会导致pH=9.7孔隙液的pH上升。俞泓霞等[12]研究也发现,C-S-H可以把水的pH值从7.95提高至9.3。由于在pH=9.7的孔隙液中,有这两种相反的作用存在,因此,水化硅酸钙处理后,孔隙液pH值升高,但升高幅度与水化硅酸钙含量的增加不呈直线关系,而是随水化硅酸钙含量增加(1%、3%、6%)呈现先增大后减小的趋势。
4 结论
(1)pH=12.5和9.7两种孔隙液经水化硅酸钙处理后,溶液中Cl-浓度均大幅下降,下降幅度达90%。
(2)pH=12.5的孔隙液经水化硅酸钙处理后,pH值下降,水化硅酸钙含量(1%、3%、6%)增加,pH值下降幅度增大,钢筋的钝化区间消失,电荷转移电阻Rp逐渐减小,腐蚀速率逐渐增大。可能是因为溶液中大量OH-与水化硅酸钙结构中呈酸性的Si-OH反应,导致孔隙液pH值下降,钢筋的钝化性能减弱。
(3)pH=9.7的孔隙液经水化硅酸钙处理后,pH值升高,水化硅酸钙含量增加,pH值升高幅度、钢筋Rp增加幅度均呈现先增大后减小的趋势,即水化硅酸钙对pH=9.7孔隙液中钢筋腐蚀的抑制作用随着水化硅酸钙含量的增加先增大后减小,其中含量为3%时,抑制作用最大。
References(参考文献)
[1] Reardon E. J. Problems and approaches to the prediction of the chemical composition in cement/water systems, Waste Manage 1992, 12: 221-239.
[2] Chun mei Wang, Xiu ling Lv, Cai wen zhang. Distribution characteristic of Cl- ions on the surface of C-S-H [J]. Journal of Hebei Insitute of Technology, 2006, 28(1): 85-89.
王春梅, 吕秀玲, 张彩文. C-S-H表面上吸附态Cl-离子的分布特点[J]. 河北理工学院学报, 2006, 28(1): 85-89.
[3] Jian Geng. The research on the deteriorated mechanisms of reinforced concrete in stray currents and chloride ion coexisted corrosion environment [D]. Wuhan: Wuhan University of Technology, 2008.
耿健. 杂散电流与氯离子共存环境下钢筋混凝土劣化机理的研究[D]. 武汉: 武汉理工大学, 2008.
[4] Sung-Yoon Hong, F. P. Glasser. Alkali binding in cement pastes Part I. The C-S-H phase [J]. Cement and Concrete Research, 1999, 29: 1893-1903.
[5] Xin ping Gan. Study on pore structures of CSH gel [J]. Journal of the Chinese Ceramic Society [J]. 1996, 24(6): 629-634.
甘新平. CSH凝胶结构的探讨[J]. 硅酸盐学报, 1996, 24(6): 629-634.
[6] L.Li and Sagues A.A. Chloride Corrosion Threshold of Reinforcing Steel in Alkaline Solutions-Cyclic Polarization Behavior [J]. Corrosion. 2002, 58 (4): 305-316.
[7] Wei Chu, Yuan xiang Shi, Bao ming Wei.Electrochemical corrosion behavior of rebar in simulated pore solution and Portland cement paste [J]. Journal of Nanjing Institute of Chemical Technology. 1995, 17 (3): 14-19.
储炜, 史苑芗, 魏宝明. 钢筋在混凝土模拟孔溶液及水泥净浆中的腐蚀电化学行为[J].南京化工学院学报.1995, 17 (3): 14-19.
[8] Rong gang Hu. Electrochemical study on corrosion process of steel rebar/concrete system [J]. Xiamen: Xiamen University. 2004
胡融刚.钢筋-混凝土体系腐蚀过程的电化学研究[D].厦门:厦门大学,2004.
[9] Xiao xin Feng, Nai qian feng. Investigation of the binding forms of the alkalis in C-S-H [J]. Journal of Building Materials. 2004,7: 1-7.
封孝信, 冯乃谦. 碱在C-S-H凝胶中的存在形式[J]. 建筑材料学报,2004,7: 1-7.
[10] Viallis H, Faucon P, Petit J C. Interaction between salts (NaCl, CsCl) and calcium silicate hydrate (C-S-H). J Phys Chem B 1999, 103: 5212-5219.
[11] Shi C, Stegemann JA. Acid corrosion resistance of different cementing materials. Cem Concr Res 2000, 30: 803-808.
[12] Yu HX, Chen G, Li CJ, Chen XC, Zhang HC, Kong HN, Study on phosphorus uptake from sediment by myriophyllum spicatum enhanced by calcium silicate hydrate, China Water & Wastewater 2009, 25(1): 5-8.
俞泓霞,陈纲,李春杰等,水化硅酸钙强化穗状狐尾藻对底泥磷吸收能力的研究,中国给水排水,2009, 25(1): 5-8.
官方微信
《中国腐蚀与防护网电子期刊》征订启事
- 投稿联系:编辑部
- 电话:010-62313558-806
- 邮箱:fsfhzy666@163.com
- 中国腐蚀与防护网官方QQ群:140808414


