魏木孟1)* 杨博均1) 姚敬华1,2) 王晶晶1,2)
1) 中国船舶重工集团公司第七二五研究所厦门材料研究院,厦门, 361101,中国
2) 中国船舶重工集团公司第七二五研究所 海洋腐蚀与防护重点实验室,厦门, 361101,中国
*通讯作者, E-mail:syamm2011@163.com.
摘 要 文章阐述了灰色关联分析方法的基本理论、典型的关联度模型及数据处理方法。采用B10铜合金在青岛、厦门、三亚、舟山4个试验站分别投样暴露,获取材料暴露1年、2年和4年的平均腐蚀速率数据,并收集4个试验站的环境因素数据,通过灰色关联分析方法,对B10铜合金腐蚀速率随温度、溶解氧、盐度、pH值和海水流速5个因素的敏感性进行了分析。结果表明,在海水自然环境中,B10铜合金的腐蚀是温度、盐度、PH值和溶解氧交互作用的结果,盐度、PH值和溶解氧对B10铜合金的腐蚀影响呈先增大后减小的趋势,温度在整个暴露周期内的影响逐渐减弱。
关键词 B10铜合金;灰色关联分析;敏感因素;海水腐蚀
分类号 TM 172.2
B10铜镍合金是国际上公认的耐海水腐蚀性能优良的铜合金,在国内外海洋工程中得到广泛应用。由于海洋环境错综复杂,影响铜合金海水腐蚀的因素也很多,而其影响程度往往无法量化。通过开展金属材料在天然海水中的长期腐蚀试验,能反映材料在不同海域的耐蚀性并总结其腐蚀规律。我国自1983年建立了全国海水腐蚀网站,投放了大批的铜合金试样,获得了大量B10铜板、铜管在各海域的中长期腐蚀数据。采用有效的方法分析所获得的数据,建立模型,总结出海水环境因素与B10铜镍合金腐蚀速率的相关性,为后续室内模拟加速试验的设计、实施以及影响显著的环境因素对B10腐蚀速率的影响的定性及定量分析有着重要的作用。灰色关联分析是一种新颖的环境因素分析方法,它对系统动态过程进行量化分析以考察系统诸因素之间的相关程度,是一种定量与定性相结合的分析方法,即根据事物或因素的序列曲线的相似程度来判断其关联程度。本文系统收集了B10铜合金在国内四大水试验站天然暴露试验数据,采用灰色关联分析,对铜合金海水腐蚀的敏感因素进行了研究,总结各环境因素对腐蚀速率的影响程度并进行比较与分析。
1灰色关联分析基础理论及方法
1.1灰色关联理论
灰色关联分析是通过灰色关联度来分析和确定系统诸因素间的影响程度或因素对系统主行为的贡献程度的一种方法[1]。灰色关联度是灰色关联分析的基础和工具,是灰色系统的“细胞”。灰色关联度描述了系统发展过程中,因素间相对变化的情况,也就是变化大小、方向和速度的相对性,相对变化基本一致,则认为两者关联度大;反之,两者关联度就小。关联度是事物之间、因素之间关联性的“量度”,它通过从随机性的序列中找到关联性,从而为因素分析、预测的精度分析提供依据,为决策提供基础,为主要因素的判断提供方法途径。因此,关联度模型及其计算方法的研究具有十分重要的意义,自然成为灰界学者广为关注的焦点,成为灰色系统研究领域最为活跃的分支之一[2-4]。
1.2灰色关联模型
系统序列间关系的密切程度,表现为二者量级大小变化的相近性和发展趋势(曲线形状)的相似性,这便是灰色关联中两种既有区别而又互相制约的表现形式[5-6]。而量级大小的变化可以用位移差(点间距离)来衡量,发展趋势可用一阶或二阶斜率来度量。因此可以利用位移差和斜率差(速度、加速度)来表示关联度,这便是目前许多关联度模型的基本思路。
在众多关联度模型中,几种典型的关联度模型是邓氏关联度、广义绝对关联度、T 型关联度、灰色斜率关联度、B 型关联度、改进关联度[7]。邓氏关联度、广义绝对关联度利用位移差反映了两序列间发展过程或量级的相近性;除 T 型关联度利用速度比外,斜率关联度、改进关联度均是利用速度差反映两序列发展趋势或曲线形状的相似性,即主要是刻划序列曲线间相对变化趋势的接近程度,而 T 型关联度还可以反映正负相关关系;B 型关联度则综合利用了位移差、速度差、加速度差来反映两序列曲线的相近性和相似性。可以看出,邓氏关联度模型可以用于分析材料海水腐蚀与海水环境因素的相关性。
1.3邓氏灰色关联分析的数据处理方法
1.3.1正确确定母系列和子系列
母系列为主行为因子(),子系列为各因素因子(),即:

1.3.2数据预处理
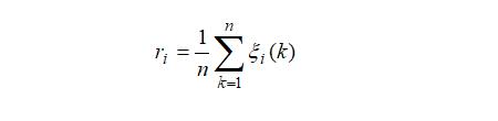
数据的无量纲化处理。对于非时间序列的数据,本文采用归一化处理。求出和,按照下式计算:

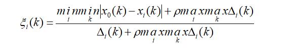
1.3.3计算关联系数
经过无量纲化处理后的母系列和子系列分别为:

求两级的最大差与最小差:

计算关联系数:
(8)
其中分辨系数取0.5。
1.3.4计算关联度
(9)
为灰色关联度。根据计算所得关联度大小排序评定各个环境因素对材料腐蚀性能影响的强弱,排第一者为影响最大因素,排第n者为影响最小因素。
2 基于铜合金海水腐蚀敏感性因素的邓氏灰色关联分析
海洋是一个富有挑战性的、维持着物理、化学和生物的动平衡体系。海水环境极为复杂,它不仅含有地壳中大多数元素,而且还拥有无数有机分子和海洋生物,此外季节、潮汐和阳光等的介入进一步增加海水环境的不确定性。材料在海水中的腐蚀行为实际上是材料与海水环境相互作用的过程,海水的诸多因素直接或间接参与该过程,同时,这些因素相互作用和协同效应使腐蚀过程更加复杂[8-10]。
影响铜合金海水腐蚀的环境因素很多,但有些因素的影响程度却无法准确地量化,灰色关联分析方法比较适合用于这种不确定性关系的分析。B10铜管分别在青岛、厦门、三亚、舟山四个水试验站暴露1年、2年和4年的平均腐蚀速率数据如表1所示,四个水试验站的环境因素种类及环境因素检测值汇总如表2所示。
表1 B10铜合金在四个水试验站暴露不同时间的腐蚀速率

表2 我国海水试验站的海水环境因素

以B10铜管在不同环境地区的平均腐蚀速率数据作为母系列,各个环境因素作为子系列,计算得到各海水环境因素的关联度见表3所示。
表3 各种海水环境因素与B10铜板腐蚀速率的灰色关联度

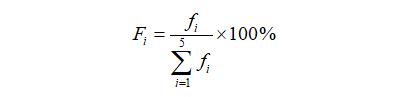
根据灰色关联分析结果,通过公式(10)分别计算海水温度、溶解氧、盐度、PH值和海水流速5个因素对于B10铜板海水腐蚀速率的影响权重Fi,不同的环境因素对B10铜合金海水腐蚀的影响权重随时间的变化如图1所示。
(10)

图1 海水环境因素对B10铜板腐蚀速率的影响程度随时间的变化
从图1可以看出,环境因素对B10腐蚀的影响权重明显分两个梯队,温度、盐度、PH值和溶解氧在第一梯队,而流速在第二梯队,说明B10铜合金腐蚀是一个多因素交互作用的结果,温度、盐度、PH值和溶解氧是影响B10铜合金腐蚀的主要环境因素。

图2 主要海水环境因素对B10铜板腐蚀速率的影响程度随时间的变化
将第一梯队的环境因素权重细化观察,如图2所示。可以看出不同的环境因素在B10铜合金腐蚀的不同阶段的权重不同,PH值、溶解氧和盐度在1.5-2年的区间形成了明显的峰,影响权重呈先增大后减少的趋势,而温度的权重随时间延长持续减小。整体上环境因素的作用逐渐呈逐渐减小的趋势,这是由于腐蚀产物膜不断形成增厚,对环境因素的作用起到了物理隔离。从图2还可以发现,在暴露前期(<2年),影响B10铜合金腐蚀的环境因素敏感性排序为PH值>溶解氧>温度≈盐度,而暴露中长期(>3.5年),随着产物膜的形成,对环境因素的隔离作用变强,温度的影响开始超过PH等环境因素,环境因素敏感性排序变为温度>PH值>溶解氧≈盐度。
3 结论
(1)B10铜合金的海水暴露腐蚀是一个多因素交互作用的结果,温度、盐度、PH值和溶解氧是影响B10铜合金腐蚀速率的主要因素。
(2)盐度、PH值和溶解氧对B10铜合金的海水暴露腐蚀影响呈先增大后减小的趋势,温度在整个暴露周期内的影响逐渐减小。
(3)暴露前期(<2年),影响B10铜合金腐蚀的环境因素敏感性排序为PH值>溶解氧>温度≈盐度,而暴露中后期(>3.5年),环境因素敏感性排序变为温度>PH值>溶解氧≈盐度。
参 考 文 献
[1]Sun Yugang. Research on grey correlation analysis and its application[ D] .Nanjing: Nanjing University of Aeronautics and Astronautics, 2007:1.(孙玉刚。 灰色关联分析及其应用的研究 [D]. 南京: 南京航空航天大学, 2007:1.)
[2]Liuxianglan, Dongguigang, Zhu Jiming. The application of grey correlation analysis in the statistical analysis of coal mine casualties[ J] . Coal Works, 2012(02): 66-68.(刘香兰,董桂刚,朱纪明。 灰色关联分析在煤矿伤亡事故统计分析中的应用[J]. 煤炭工程,2012,2:66-68.)
[3]Zhouxiuwen. Research and Application of Grey Relativity[ D] . Changchun: Jilin University, 2007:5 -6.(周秀文。 灰色关联度的研究与应用 [D]. 长春: 吉林大学, 2007:5-6.)
[4]Jayaraman P, Kumar L M. Multi-response optimization of machining parameters of turning AA6063-T6 aluminum alloy using grey relational analysis in taguchi method[J]. Procedia Engineering, 2014, 97: 197-204.
[5]Xinping, Zhongmin Peak. Grey Technology Foundation and Its Application[ M] . Science Press, 2005:3.(新平, 中民峰。 灰技术基础及其应用[M]. 科学出版社, 2005:3.)
[6]Rajesh R, Ravi V. Supplier selection in resilient supply chains: a grey relational analysis approach[J]. Journal of cleaner production, 2015, 86(1): 343-359.
[7]Caomingxia. Research on grey correlation analysis model and its application[ D] . Nanjing. Nanjing University of Aeronautics and Astronautics, 2007:18.(曹明霞。 灰色关联分析模型及其应用的研究 [D]. 南京。 南京航空航天大学, 2007:18.)
[8]Zhuxiaolong, Leiting right. Research Progress on Seawater Corrosion Behavior of Cu-Ni Alloy[ J] . Corrosion Science and Protection Technologies, 1997, 9(1): 48-55.(朱小龙, 雷廷权。 Cu-Ni 合金海水腐蚀行为研究进展[J]. 腐蚀科学与防护技术, 1997, 9(1): 48-55.)
[9]Chenhaiyan, Lixia, Zhangxueyun, etc Aluminum alloy corrosion behavior under the action of marine microorganism SRB[ J] . Chinese Journal of Nonferrous Metals, 2015, 25(4): 1080-1085.(陈海燕,李霞,张雪云等。 铝合金在海洋微生物SRB作用下的腐蚀行为[J]. 中国有色金属学报, 2015, 25(4): 1080-1085.)
[10]Xingshibo, Li Lixiaogang, Li Li, etc 7A04 Aluminum alloy corrosion behavior in the sea atmosphere of Xisha[ J] Corrosion and Protection, 2013, 34(9): 796-799.(邢士波,李晓刚,李丽等。 7A04铝合金在西沙海洋大气中的腐蚀行为[J]. 腐蚀与防护, 2013, 34(9): 796-799.)
免责声明:本网站所转载的文字、图片与视频资料版权归原创作者所有,如果涉及侵权,请第一时间联系本网删除。
官方微信
《腐蚀与防护网电子期刊》征订启事
- 投稿联系:编辑部
- 电话:010-62316606-806
- 邮箱:fsfhzy666@163.com
- 腐蚀与防护网官方QQ群:140808414



