导读 镁合金作为最轻的结构金属,具有密度低、比强度高、良好的电磁屏蔽性和生物相容性等优点,在航空航天、汽车、电子产品、生物医用等领域应用前景广阔。然而,镁元素化学活性极高,天然表面膜疏松多孔,导致镁合金在氯离子等腐蚀介质中极易发生严重腐蚀,极大限制了其大规模应用。在海洋环境等实际服役场景中,有效控制镁合金的腐蚀速率至关重要。表面防护技术一直是提升镁合金耐蚀性的核心策略,微弧氧化、化学转化膜、水热法生长LDHs、聚合物涂层等方法已被广泛研究。 近年来,层状双氢氧化物 (LDHs) 因其独特的二维层状结构、阴离子交换能力和潜在的自修复特性,成为镁合金腐蚀防护领域的热门材料。LDHs可通过物理屏障作用和Cl⁻捕获机制有效减少界面氯离子浓度,实现短期防护。然而,单一LDHs涂层在长期浸泡中易发生溶解、产生微裂纹,形成腐蚀通道,长期耐久性不足。为解决这一问题,研究者探索将有机缓蚀剂与LDHs结合的复合策略。在此基础上,作者提出将三乙烯四胺 (TETA) 与Li-Al LDHs复合的设计思路:利用TETA分子中富电子氨基基团在LDHs表面的强吸附作用,尤其在涂层缺陷处快速形成致密屏障,实现缺陷补偿与长期防护。通过调控TETA浓度 (23.5–70.5 mM),在AZ31镁合金表面制备TETA改性Li-Al LDHs涂层,并系统研究其在模拟海水 (3.5 wt% NaCl溶液) 中的腐蚀防护性能与机理。
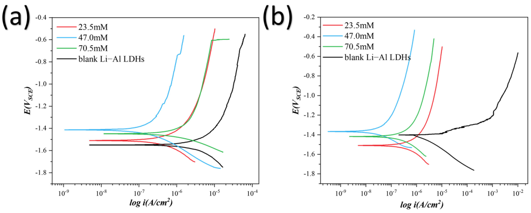
实验方法 作者以AZ31镁合金为基体,采用水热法原位生长Li-Al LDHs涂层。随后将样品浸入含不同浓度TETA (23.5、47、70.5 mM) 的3.5 wt% NaCl溶液中进行改性处理。在3.5 wt% NaCl溶液中进行开路电位稳定后开展EIS (10 mV扰动,1 MHz~0.01 Hz) 和动电位极化曲线 (扫描速率1 mV/s,范围-0.1~+0.8 V vs OCP)。采用FT-IR表征表面官能团,XPS分析元素组成与化学状态,FE-SEM观察表面/截面形貌,3D超景深显微镜分析表面粗糙度与形貌变化。 表征与测试结果 电化学结果显示 (图1),纯Li-Al LDHs涂层在浸泡4 h后低频阻抗模值 (|Z|₀.₀₁ Hz) 显著下降,短期防护失效。而在TETA改性涂层中,最优浓度47 mM TETA样品在浸泡24 h时|Z|₀.₀₁ Hz达到最大值7.56 × 10⁵ Ω·cm²,较纯LDHs涂层 (2.55 × 10² Ω·cm²) 提升三个数量级。浸泡300 h后仍维持在10⁵ Ω·cm²以上,显示出优异的长期稳定性。23.5 mM和70.5 mM样品分别在约60 h和132 h出现阻抗突降,而纯LDHs样品在4 h内即明显劣化。动电位极化曲线表明,47 mM TETA改性后腐蚀电流密度显著降低 (24 h浸泡后icorr降至1.254 × 10⁻⁸ A·cm⁻²),腐蚀电位正移,主要抑制阳极溶解反应。 图1. 不同浓度TETA在3.5 wt% NaCl溶液中的极化曲线:(a) 0 h;(b) 24 h。 FT-IR谱图显示 (图2),TETA改性后保留LDHs的Al-OH (~643 cm⁻¹) 和Mg(OH)₂特征峰,同时出现TETA的-CH₂-对称/不对称伸缩振动 (2845、2940 cm⁻¹) 和N-H面内弯曲振动 (1573 cm⁻¹,相对于游离TETA红移),证实TETA分子通过氨基与LDHs表面配位成功吸附。 图2. 浸泡24 h的TETA改性Li-Al层状双氢氧化物的傅里叶变换红外光谱图。
XPS分析进一步验证 (图3):检测到Mg、Al、N、C、O元素;Mg 2p出现Mg-N键峰,Al 2p中Al-OH峰强度降低,N 1s以-NH/NH₂为主,C 1s和O 1s显示TETA相关化学键,表明TETA在LDHs表面形成致密吸附膜,覆盖缺陷并抑制Li-OH等暴露。 图3. TETA改性的Li-Al层状双氢氧化物的XPS光谱:(a) 全谱;(b) Mg 2p;(c) Al 2p;(d) N 1s;(e) C 1s;(f) O 1s。
SEM形貌观察到 (图4),纯LDHs涂层浸泡24 h后出现腐蚀产物堆积、坑蚀和裂纹;而TETA改性涂层表面层状结构部分保留,覆盖一层均匀致密薄膜,无明显腐蚀坑,显示出优异的阻挡效果。3D超景深显微镜显示,添加TETA后表面粗糙度显著降低 (峰谷高度差从~310 µm降至~40 µm),形成更平整致密的微观结构。 图4. 场图的3D超深度显示TETA对Li-Al LDHs的影响与否:(a) 添加TETA;(b) 未添加TETA。 研究总结 图5. TETA改性Li-Al LDHs的机理图:(a) Li-Al LDHs在AZ31镁合金上的涂层不致密;(b) 浸泡时间延长时,AZ31镁合金发生腐蚀;(c) TETA改性Li-Al LDHs可实现长期保护。
本研究通过水热生长Li-Al LDHs结合TETA溶液改性,在AZ31镁合金表面成功构筑了无机-有机杂化防护涂层。在模拟海水中,Li-Al LDHs发挥层状结构屏障与阴离子交换捕获Cl⁻的作用,而TETA分子富电子氨基基团通过配位键和氢键优先吸附于LDHs边缘活性位点及涂层缺陷处,快速形成致密吸附膜,实现缺陷补偿与自修复式阻挡。电化学测试、浸泡实验及多谱学表征结果表明:最优47 mM TETA改性涂层显著提升了低频阻抗 (三个数量级)、降低了腐蚀电流密度,并实现300 h以上长期稳定防护,远优于单一LDHs涂层的短期局限性。 该工作为镁合金在海洋环境中的腐蚀防护提供了一种简单高效、无需复杂插层工艺的有机-无机协同策略,具有重要的理论意义和工程应用价值。
免责声明:本网站所转载的文字、图片与视频资料版权归原创作者所有,如果涉及侵权,请第一时间联系本网删除。
官方微信
《腐蚀与防护网电子期刊》征订启事
- 投稿联系:编辑部
- 电话:010-62316606
- 邮箱:fsfhzy666@163.com
- 腐蚀与防护网官方QQ群:140808415








