海洋环境中,机械传动部件如潜艇尾轴、支撑轴承、齿轮等,长期面临着摩擦腐蚀这一严峻挑战。这是一种由盐水腐蚀和机械摩擦协同作用导致的加速材料退化现象,严重威胁着关键部件的完整性和服役寿命。腐蚀会削弱材料表面,使其更易被磨损掉;而磨损又会不断去除保护性的钝化膜,暴露出新鲜金属表面,加速腐蚀进程。这种“1+1>2”的协同破坏效应,是导致海洋装备部件过早失效的主要原因。在合金表面制备高性能涂层,是提升部件表面性能的有效途径。
氮化铬(CrN) 基涂层以其高硬度、良好的耐磨性和出色的防腐蚀能力而闻名,已广泛应用于切削工具、模具等领域。CrN在摩擦过程中能形成富铬氧化物,起到固体润滑剂的作用,从而降低摩擦系数。HiPIMS与直流磁控溅射相比,具有更高的离化率和离子通量,能够制备出结构更致密、性能更优异的涂层。已有研究指出,HiPIMS技术制备的CrN涂层比DC技术制备的具有更高的杨氏模量和刚度。
涂层的性能并非仅由材料成分决定,更与其微观结构(如晶体择优取向、晶粒尺寸、相组成)密切相关。研究表明,CrₓN涂层的成分和结构强烈依赖于沉积过程中的氮气流量。在 Ar:N₂ = 3:1 时,涂层易形成 Cr + Cr₂N 相。在 Ar:N₂ = 1:1 时,涂层则倾向于形成纯 CrN 相。这两种结构导致性能差异:Cr₂N涂层硬度更高,而CrN涂层抗氧化性更好、摩擦系数更低。然而,由CrN和Cr₂N组成的双相涂层在模拟海水环境下的摩擦腐蚀行为和机械性能,此前缺乏系统性的深入研究。
来自中科院宁波材料所的柯培玲研究员等人采用高功率脉冲磁控溅射(HiPIMS) 技术,通过精确控制 Ar与N₂的进气比例(3:1, 5:2, 1:1),在431不锈钢基底上制备了一系列不同微观结构的CrₓN涂层。研究系统性地揭示了气体比例如何调控涂层的相组成、微观结构、力学性能,并重点评价了其在人工海水环境中的摩擦腐蚀行为。近期,相关成果以“HiPIMS-deposited CrₓN coatings for marine applications: Controllable microstructure and tribocorrosion behavior”为题发表在《Corrosion Communications》。
论文封面
图1. 在不同Ar:N₂比例下沉积在431钢基底上的CrₓN涂层的XRD图谱。
图2. 原始CrN样品的峰拟合图:(a) Cr 2p谱, (b) N 1s谱。
图3. 沉积薄膜的(a-c)截面、(d-f)表面形貌图像和(g-i) AFM图:(a, d, g) Ar:N₂=3:1, (b, e, h) Ar:N₂=5:2, (c, f, i) Ar:N₂=1:1。
图4. Ar:N₂=5:2的CrₓN涂层的概览图及相应的SAED图谱。
图5. (a) 截面TEM图像和(b) hcp与fcc相之间相界的高分辨率晶格图像,(c) 图5(b)中区域A对应的FFT衍射图样,(d) 图5(b)中区域B和(e) 区域C的iFFT条纹图像。
图6. (a) 不同Ar:N₂比例(3:1, 5:2, 1:1)沉积的CrₓN涂层的显微硬度(H)和弹性模量(E)变化,(b) Ar:N₂比例(3:1, 5:2, 1:1)对CrₓN涂层H/E和H³/E²比值的影响。
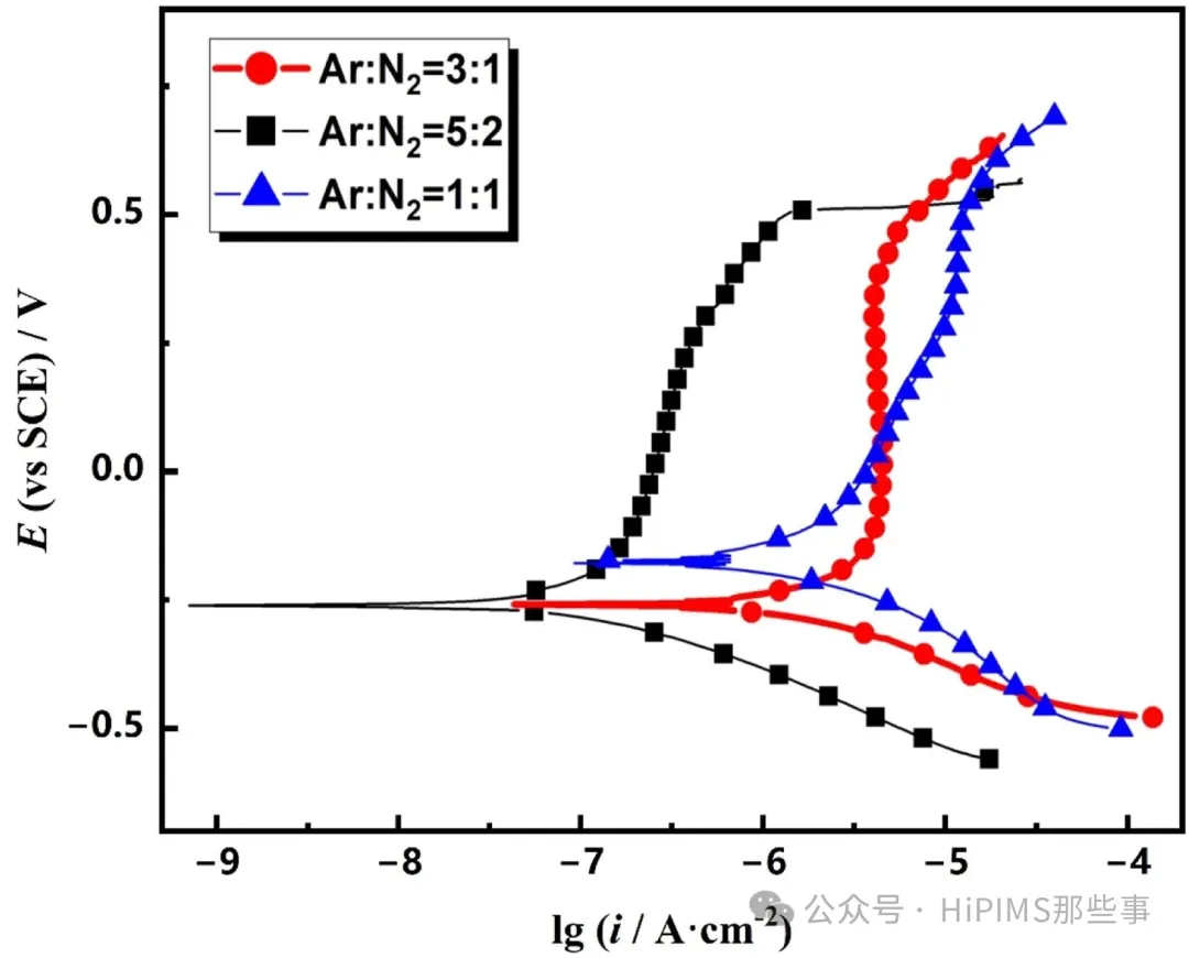
图7. 在人工海水中,不同Ar:N₂比例的CrₓN涂层的动电位极化曲线。
图8. 不同Ar:N₂比例的CrN涂层的(a)开路电位(OCP)、(b)摩擦系数-时间曲线和(c)摩擦系数平均值及标准偏差。
图9. (a-c) 磨损轨迹的3D截面图和(d-f) 截面轮廓:(a, d) Ar:N₂=3:1, (b, e) Ar:N₂=5:2, (c, f) Ar:N₂=1:1。
图10. 不同Ar:N₂比例的CrₓN涂层的平均磨损率。
图11. 摩擦腐蚀测试后,不同Ar:N₂比例CrN涂层的磨损轨迹SEM图像:(a) 3:1, (b) 5:2, (c) 1:1。
总之,该研究通过HiPIMS技术调控Ar:N₂比例,成功制备了不同相组成的CrₓN涂层。研究发现,当Ar:N₂=5:2时,涂层形成CrN/Cr₂N双相结构,具有最致密的微观组织、最高的硬度(14.12 GPa)和最优的H/E、H³/E²比值。该涂层在人工海水中表现出最佳的耐腐蚀性能(腐蚀电流密度最低)和抗摩擦腐蚀能力(磨损率最低、摩擦系数0.50)。双相竞争生长导致的晶粒细化和致密化是性能提升的关键机制。该研究为海洋装备关键部件的高性能防护涂层开发提供了重要理论依据和技术支撑。
论文链接:
https://doi.org/10.1016/j.corcom.2024.05.004
免责声明:本网站所转载的文字、图片与视频资料版权归原创作者所有,如果涉及侵权,请第一时间联系本网删除。
官方微信
《腐蚀与防护网电子期刊》征订启事
- 投稿联系:编辑部
- 电话:010-62316606
- 邮箱:fsfhzy666@163.com
- 腐蚀与防护网官方QQ群:140808415















