机械振动与噪声是航空航天、高端装备与汽车工程等领域重点关注的现象,因为振动和噪声不仅影响使用的舒适性,也会威胁结构服役的安全性和稳定性,因此理想的工程材料应当在具有高承载能力的同时具备高阻尼能力(tanδ>0.02)。然而,传统阻尼材料往往依赖位错滑移或相界面运动耗散能量,这与强化机制本身存在内在冲突,导致高阻尼材料通常强度较低。钛合金因其低密度与高比强度被视为潜在候选,但经典的Ti-6Al-4V合金其阻尼能力仅有tanδ≈0.012;而通过β稳定元素或氧掺杂提升阻尼,又会导致塑性降低,甚至会让合金的失效由韧转脆,因此,研究人员们开始研究如何在钛合金中同时实现高阻尼、高强度与适用的塑性。
材料领域的国际权威期刊《Journal of Materials Science & Technology》于2025年11月在线发表了一篇题为“Engineered chemical heterogeneity overcomes the strength and damping trade-off in titanium alloys”的研究论文,本论文的研究团队通过化学非均匀性设计,在Ti-36Nb-0.9O(wt.%)合金中成功实现了在具备GPa级强度的同时兼具超高阻尼能力,且这一突破并未牺牲塑性,合金在约500 K时的阻尼峰值tanδ高达0.104,同时在室温下仍保持1090 MPa的屈服强度与23%的拉伸延伸率。通讯作者为北京航天航空大学的肖文龙副教授。
文章链接:
https://doi.org/10.1016/j.jmst.2025.11.027
【核心内容】
团队通过层级α相析出诱导合金内部的化学非均匀性,在同一合金中构建“功能分区化”的β相稳定性梯度结构,这种设计不仅在微观尺度上突破了Snoek型高阻尼钛合金体系的传统极限,同时在宏观力学响应中激活了TRIP/TWIP与HDI强化的协同作用。
图形摘要
【研究方法】
研究团队制备了Ti-36Nb-0.9O合金,并通过热加工+亚β转变温度短时退火,获得由条带状(α+β)区域与单一β区域交替分布的层级结构。随后系统结合SEM/TEM/原位EBSD、原位HE-XRD拉伸、原位加热XRD、DMA阻尼测试和第一性原理DFT计算,从组织演化、阻尼机制、变形行为与强化贡献等多个层面,对该结构-性能关系进行了完整解析。
【研究成果】
① 层级α相析出诱导的化学非均匀结构构建
短时退火处理后Ti-36Nb-0.9O合金中形成了沿轧制方向分布的条带状层级组织,该组织由(α+β)区域与单一β区域交替构成。在(α+β)区域内,α相以超细等轴颗粒形式析出,平均尺寸约为600 nm,且呈现明显的取向特征。α相的非均匀析出显著促进了合金中Nb与O元素的再分配:氧元素富集于α相晶格中,使得该区域残余β相呈现明显的贫O特征;而在单一β区域中,Nb与O含量则接近名义成分。
Ti-36Nb-0.9O合金分层结构的微观结构表征
② 强度与阻尼协同突破的宏观性能表现
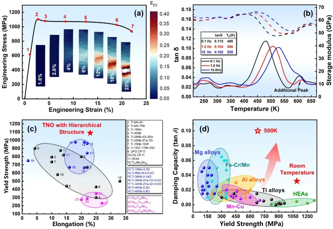
Ti-36Nb-0.9O合金首先具有优异的强塑性组合,室温下,合金的屈服强度达到1090 MPa,延伸率为23%,在强塑适配的基础上,合金还表现出了极高的阻尼性能,室温下tanδ维持在0.03左右,而在450-500 K的服役温度区间内,合金依然能够保持约700 MPa的屈服强度,同时在约506 K、1 Hz条件下合金出现超高阻尼峰,tanδ高达0.104。
Ti-36Nb-0.9O合金的力学与阻尼性能对比
③ 自旋分解驱动的超高阻尼机理
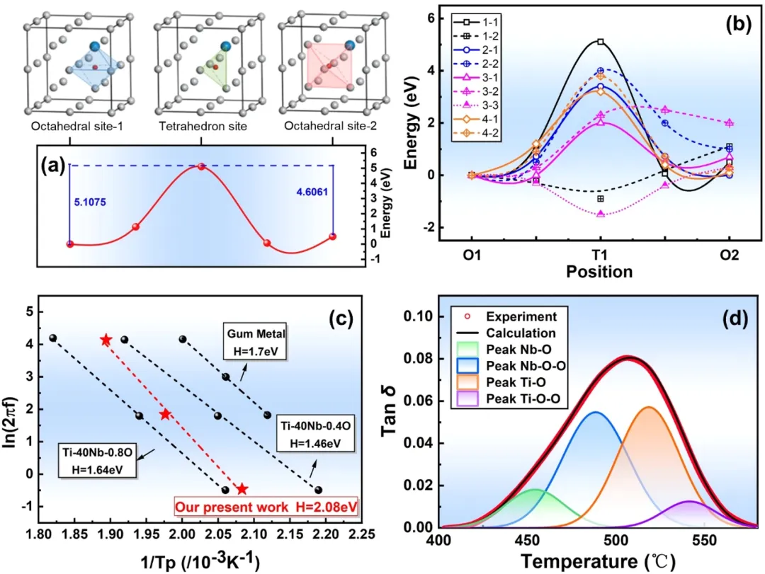
超高阻尼行为的本质来源于富氧单一β区域中发生的热动力学调控自旋分解过程:温度升高→β相发生β/β’成分调制分解→形成尺度约10 nm的海绵状纳米结构。该结构的特征在于富Nb贫O的β’区域与贫Nb富O的β区域交替分布,这种化学波动降低了氧原子在体心立方晶格中跨八面体间隙迁移的扩散能垒,大幅增强传统Snoek弛豫效应,同时自旋分解诱导的O-O相关弛豫在整体阻尼中也占据着重要贡献。
自旋分解驱动的超高阻尼机制原位XRD分析
Snoek松弛过程的原子迁移与能垒计算
④ 层级结构调控下的分区变形与强塑协同机制
化学非均匀性导致合金在变形过程中呈现出明显的区域化响应特征,在(α+β)区域内,由于β相稳定性降低,材料在塑性初期即优先发生应力诱发α’’马氏体转变与ω相转变,从而有效吸收外加载荷并延缓应变局部化;相比之下,单一β区域因Nb与O含量较高而具有更高的β相稳定性,其变形初期以位错滑移为主,随着应变累积进一步激活{112}<111>β机械孪生。不同区域之间的结构异质性伴随着力学性能不相容性,从而诱发高密度的几何必要位错,从而在界面处形成持续增强的背应力,产生强烈的HDI强化效应。
拉伸变形过程中相变与晶格应变的原位HE-XRD监测
异质结构硬化机制的纳米压痕与位错密度分析
分层结构中两区域在不同应变下的TEM比较
⑤ 层级化学非均匀结构的强化贡献定量解析
层级结构与完全由均匀β相组成的对照状态合金样品的相比,合金屈服强度由870 MPa提升至1090 MPa,增幅约为25%,而延展性仅有小幅降低,该强度提升并非来源于单一机制,而是由氧间隙固溶强化、α相析出强化以及HDI强化三者协同贡献,其中HDI强化在中后期变形阶段占据主导地位,与此同时,阻尼性能并未因少量α相析出而受到显著削弱。
断裂后分层结构的微观形貌与变形机制
均质与分层结构合金的性能比较
【总结与展望】
该研究通过化学非均匀性工程设计,在钛合金中系统性地打破了强度、阻尼与塑性之间的固有权衡,构建了一种兼具结构承载与振动耗散功能的新型材料范式。这种设计理念为高阻尼钛合金提供了可推广的微结构调控路径,也为多功能结构材料设计开辟了新方向的参考思路。
免责声明:本网站所转载的文字、图片与视频资料版权归原创作者所有,如果涉及侵权,请第一时间联系本网删除。
官方微信
《腐蚀与防护网电子期刊》征订启事
- 投稿联系:编辑部
- 电话:010-62316606
- 邮箱:fsfhzy666@163.com
- 腐蚀与防护网官方QQ群:140808414














