本文介绍了循环伏安法(CV)、线性扫描伏安法(LSV)、电化学阻抗谱(EIS)、起始电位、塔菲尔斜率分析、计时电流/电位法、稳定性测试。这些技术用于研究电极反应的动力学、界面特性、催化性能及材料稳定性,为电化学研究和材料优化提供了重要工具和理论支持。
循环伏安法( CV)是一种基于工作电极电位按设定速率在限定区间内往返扫描的电化学表征技术,其核心在于通过电流–电位响应揭示电极界面电子转移过程的动力学与热力学特征。
在电位以三角波形式连续变化的过程中,体系中氧化还原对的电子转移行为因外加电位的调控而被依次触发,所得伏安曲线反映了电活性物质的氧化、还原过程以及界面双电层结构、扩散传质等因素对电流响应的综合影响。
DOI:10.1039/C9SC01545K
对于可逆、准可逆与不可逆反应体系,CV 曲线在峰形、峰电位间距及峰电流特征上呈现系统性差异,可用于判定电子转移的可逆性、反应机理及传质控制模式。
作为基础电化学研究的重要手段,循环伏安法能够以高时间分辨率捕捉电极过程的关键物理化学信息,为界面电荷行为、活性位点特性与反应路径分析提供理论支持。
DOI:10.1039/c8sc05311c
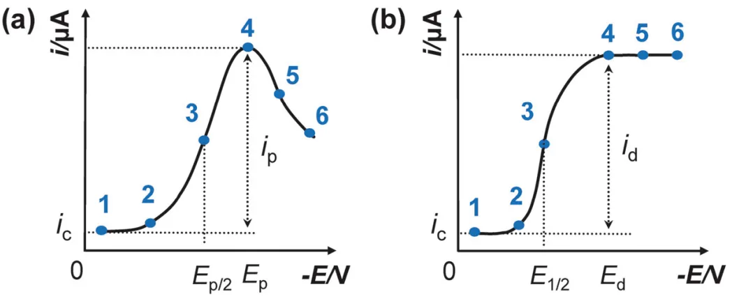
线性扫描伏安法(LSV)是一种常用的电化学测试技术,广泛应用于研究电极反应的动力学、反应机理以及材料的电化学特性。
其基本原理是通过逐渐变化电极电位,并监测由电流响应所得到的伏安曲线。在LSV实验中,电极电位以一定的扫描速率在一个特定的电压范围内进行线性变化,电流则随电位变化而变化,最终获得伏安曲线。
DOI: 10.3866/PKU.DXHX202005071
极化曲线是由LSV测试中所得到的数据反映的电流与电位的关系曲线。通过对极化曲线的分析,能够获取电极的过电位行为、反应动力学以及电极表面的活性信息。
10.1038/s41467-024-46980-8
LSV测试的一个重要应用领域是电催化反应的研究,尤其是在析氢、析氧、氧还原反应等领域中,LSV能够提供重要的定量数据。这些数据包括起始电位、电流密度等,可以反映催化剂的催化效率和动力学特性。
电化学阻抗谱(EIS)是一种通过施加交流电压扰动并测量电流响应,研究电化学系统响应特性的技术。EIS能够揭示电极反应过程中的电荷传输、电荷积累、电解质电导等物理现象。常用于分析电化学系统的阻抗特性、界面电荷传递特性、双电层行为以及电解质传导特性等。
EIS测试通常通过测量不同频率下的电化学阻抗,得到Nyquist图和Bode图等图谱。
DOI: 10.1016/j.ensm.2024.103378
Nyquist图的半圆部分反映了电荷传输阻抗,直线部分则与扩散控制过程相关。通过对EIS数据的拟合分析,可以获得电极过程中的各种电化学参数,如电荷传输电阻、电双电层电容、扩散系数等。这些参数能够帮助研究人员评估电极材料的电导性、界面反应动力学和催化性能。
在电催化和电池领域,EIS技术广泛用于评估催化剂、电极材料的电化学特性及稳定性。EIS能够提供细致的电极反应过程信息,为材料的优化设计提供理论支持。
DOI:10.1016/j.ensm.2024.103378
起始电位是描述电化学反应开始的电位,通常用于分析电催化剂在催化反应中的活性。在电化学反应中,起始电位通常是反应从无反应状态过渡到明显电流产生的最小电位值。
起始电位的大小与催化剂的催化效率和活性密切相关,较低的起始电位通常表示催化剂能够在较低电位下启动反应,因此具有较好的催化性能。
DOI:10.1038/s41467-023-38129-w
对于析氢反应(HER)和析氧反应(OER)等典型电催化反应,起始电位的测量能够提供对催化剂启动效率的评估。起始电位值的低高通常可以用来比较不同催化剂的性能,尤其是那些要求在较低电压下启动的反应。
DOI: 10.1038/ncomms13638
起始电位的测量不仅反映了催化剂表面的催化活性,也能提供反应动力学信息。起始电位的值还受许多因素影响,如电解液的成分、电极表面的状态及催化剂的结构等,因此,准确的起始电位测量对于理解电催化反应的机理至关重要。
塔菲尔斜率分析是一种用于研究电化学反应动力学的分析方法,特别是在催化反应中,塔菲尔斜率的大小可以反映反应的速率决定步骤。塔菲尔斜率是通过在极化曲线上选择合适的电位区域,并拟合电流密度与电位的对数关系,得到的斜率值。
塔菲尔公式表示了电流密度(j)与过电位(η)之间的关系,通常可以表示为:
η=a+b·log(j)
其中,a和b为常数,b即为塔菲尔斜率,通常以mV/dec为单位。塔菲尔斜率的值反映了反应的电化学动力学特性,不同的反应机理对应不同的塔菲尔斜率。通过塔菲尔斜率分析,研究人员可以推测反应的速率决定步骤,并进一步优化催化剂的设计。
DOI: 10.1038/ncomms15437
在电化学催化研究中,塔菲尔斜率是一个重要的表征参数,其数值的变化反映了电极反应的复杂性和动力学特性。塔菲尔斜率分析常用于析氢反应、析氧反应等电催化反应中,是理解反应机理和优化催化性能的重要工具。
DOI: 10.1038/s41467-018-08117-6
计时电流法与计时电位法是基于阶跃式外加扰动来研究电极过程动力学与界面传质行为的瞬态电化学技术。
前者通过在电极上施加恒定电位并记录电流随时间的衰减过程,以揭示界面电子转移速率、扩散层形成及扩散控制规律;后者则在恒定电流条件下监测电位随时间的演化,用以表征电极反应的电化学可逆性、过电势形成机制及电极材料的稳定性。
DOI:10.1038/s41467-018-07975-4
在阶跃扰动作用下,界面浓度梯度的建立与扩散边界层的增长决定了体系的时间依赖行为,所得时间响应可反映反应物扩散、双电层充电与界面电荷转移等多物理过程的耦合特征。
作为研究瞬态界面动力学的重要工具,计时电流/电位法能够提供高时间分辨率的电极过程信息,有助于解析电极—电解质界面的局部反应环境与电化学过程的内在动力学本质。
DOI:10.15541/jim20190107
稳定性测试是电化学测试中不可或缺的一部分,用于评估材料在长时间操作过程中的电化学性能保持能力。电化学稳定性测试通常通过在一定电流密度或电压条件下进行长期的电化学循环测试,以监测电极性能的衰减情况。
稳定性测试能够揭示材料的抗腐蚀能力、催化活性衰减以及电化学稳定性等方面的信息。
DOI: 10.26945/d.cnki.gbjku.2023.000019
在催化剂的稳定性测试中,主要关注催化活性是否会随着使用时间的延长而出现明显衰减。这一过程可能受到材料的表面腐蚀、催化活性中心的损失以及结构变化等因素的影响。
通过对稳定性测试数据的分析,可以评估催化剂或电极材料在实际应用中的可靠性和长周期性能。
DOI:10.1039/D0EE02250K
免责声明:本网站所转载的文字、图片与视频资料版权归原创作者所有,如果涉及侵权,请第一时间联系本网删除。
官方微信
《腐蚀与防护网电子期刊》征订启事
- 投稿联系:编辑部
- 电话:010-62316606
- 邮箱:fsfhzy666@163.com
- 腐蚀与防护网官方QQ群:140808414

















