金属材料的高温碳化腐蚀与防护研究现状
沈晨1,2, 黄锦阳,2, 张醒兴2, 胡新元2, 朱明1, 鲁金涛2
1.西安科技大学材料科学与工程学院 西安 710054
2.西安热工研究院有限公司 高效灵活煤电及碳捕集利用全国重点实验室 西安 710054
Research Progress of Carbonization-corrosion and Protection of Alloy Steels
SHEN Chen1,2, HUANG Jinyang,2, ZHANG Xingxing2, HU Xinyuan2, ZHU Ming1, LU Jintao2
1.College of Materials Science and Engineering, Xi'an University of Science and Technology, Xi'an 710054, China
2.National Key Laboratory of High-Efficiency Flexible Coal Power Generation and Carbon Capture Utilization and Storage, Xi'an Thermal Power Research Institute Co., Ltd., Xi'an 710054, China
摘要
能源化工领域多使用合金钢作为结构材料,在服役过程中遇到碳含量较高的工作气氛,常常会出现碳化腐蚀的情况。由于现有的研究多为深入研究腐蚀现象,对碳化腐蚀的整体综述较少,因此本文从国内外碳化腐蚀研究现状、碳化腐蚀机理综述和碳化腐蚀的防护3个维度对碳化腐蚀的现有研究进行了讨论,主要分析了易出现碳化腐蚀的高温乙烯裂解管、超临界CO2机组等不同服役环境下碳化腐蚀的机理研究,综合了碳化对钢材合金组织及力学性能影响方面的研究,讨论了改善合金服役环境、优化合金成分配方、制备合金耐蚀涂层等防护措施,展望了碳化腐蚀与防护的发展方向。目前,碳化腐蚀仍是能源化工领域的研究重点,尤其是超临界CO2和高温气冷堆等新型能源装备系统存在的碳化腐蚀现象还有待进一步研究;高温金属防护涂层作为比较适合应对碳化腐蚀的有效措施之一,其抗碳化腐蚀的能力需进一步深入研究。
关键词: 高温腐蚀 ; 碳化 ; 高温气冷堆 ; 奥氏体耐热钢 ; 晶界腐蚀 ; 涂层防护
Abstract
Alloy steels are widely adopted as structural material in the field of energy and chemical industries, which may encounter atmospheres of high carbon content during service at high temperatures, as a subsequence, often suffer from carbonization-corrosion. Due to the fact that although the existing research covers many common corrosion phenomena, however the overall review of carbonization corrosion is less. Therefore, this paper tries to review the topic of carbonization-corrosion from three aspects : the current research status of carbonization corrosion at home and abroad, the mechanism of carbonization-corrosion, and the counter measures against carbonization-corrosion. The relevant mechanism of carbonization-corrosion encountered in different service environments, such as high-temperature ethylene cracking pipe and supercritical CO2 unit etc., and the influence of carbonization on the microstructure and mechanical properties of alloy steels were mainly reviewed and analyzed. The counter measures such as adjusting the service environment, optimizing the composition of alloy steels and preparing corrosion resistant coating were discussed. The further research directions related with carbonization-corrosion and protection measures were prospected. At present, carbonization is still the focus of research in the field of energy and chemical industries, especially the carbonization related phenomena existing in new energy equipment systems such as supercritical CO2 and high-temperature gas-cooled reactors need further study. Protective coating composed of high temperature alloys is one of the effective measures suitable for resisting carbonization corrosion, nevertheless its ability to resist carbonization needs further research.
Keywords: high temperature corrosion ; carburization ; high temperature gas cooled reactor ; austenitic heat resistant steel ; grain boundary corrosion ; coating protection
PDF (12066KB) 元数据 多维度评价 相关文章 导出 EndNote| Ris| Bibtex 收藏本文
本文引用格式
沈晨, 黄锦阳, 张醒兴, 胡新元, 朱明, 鲁金涛. 金属材料的高温碳化腐蚀与防护研究现状. 中国腐蚀与防护学报[J], 2025, 45(3): 589-601 DOI:10.11902/1005.4537.2024.194
SHEN Chen, HUANG Jinyang, ZHANG Xingxing, HU Xinyuan, ZHU Ming, LU Jintao. Research Progress of Carbonization-corrosion and Protection of Alloy Steels. Journal of Chinese Society for Corrosion and Protection[J], 2025, 45(3): 589-601 DOI:10.11902/1005.4537.2024.194
钢材作为金属材料中应用最广泛的一种,多用于建筑、工业、能源等领域。除了研究如何提高钢材及合金力学性能参数,学者们还对延长钢材使用寿命开展了大量探索,以期降低成本提高效率,其中腐蚀防护作为延长钢材使用寿命的重点研究方向之一,受到国内外学者的广泛关注。然而对于高温高碳环境下合金材料的腐蚀与防护研究,大多学者常常停留在腐蚀失效分析、逆向溯源、阻断、减缓、监控腐蚀行为的阶段,对合金在高温环境下的碳化腐蚀规律、失效机制及机理研究较少。开展高温碳化腐蚀与防护研究将有助于完善能源领域高温材料的推广应用,使高参数火电、新生代核电等先进能源机组的发展应用更加安全和高效。
核能作为一种清洁能源,是我国寻求替代化石能源的必经之路,发展核能对我国实现“碳达峰,碳中和”意义重大。现阶段第四代核电技术的高温气冷堆因其安全性较高、性能较好、结构较为简单且易于商业化等特点[1],已成功开展商业化示范应用。然而在高温气冷堆的工作过程中燃料球外层石墨摩擦作用易产生石墨粉尘,由氦气作为动力驱动石墨粉尘扩散,除可能导致放射性物质辐射泄漏风险外,还可能沉积在循环设备上影响设备性能并对检修维护造成影响,长时间沉积在服役金属表面还会造成腐蚀失效。目前已有多位学者对石墨粉尘的产生、运动和沉积开展了分析研究,其中以数值模拟和实验模拟角度的分析居多[1~3],但对高温气冷堆服役过程中石墨粉尘沉积导致的碳化腐蚀现象研究较少。奥氏体耐热钢因具有优异的高温持久强度、良好的抗氧化、耐腐蚀性和加工性能,被广泛应用于核电、高参数火电等现役的高温部件[4,5],在面临石墨粉尘堆积导致的碳化腐蚀问题方面相关研究较少,需进一步研究其腐蚀机理,提升奥氏体耐热钢抗碳化腐蚀能力。
早期对于含碳环境造成的腐蚀研究来自于油气管道运输,研究环境温度较低的碳酸化,提出了防护措施[6~9]。而后出现的较高温度下的含碳环境腐蚀则是发生在石油化工中乙烯裂解管的腐蚀失效,在学界一般将之称为碳化腐蚀,开始了对碳化腐蚀行为的深入研究。随着能源领域科技的再一次进步,先进能源领域的部分学者则开展了对超临界CO2气氛中服役的奥氏体耐热钢的碳化腐蚀研究,并分析了碳化腐蚀机理,分析气氛多为CO/H2/H2O以及S-CO2等气态碳腐蚀介质中,但对高温气冷堆He气氛下石墨粉尘堆积碳化腐蚀的研究还存在一定的空白。
本文将从高温金属材料在应用过程中受到的碳化腐蚀情况出发,基于现有的碳化腐蚀方面研究内容,讨论碳化腐蚀对组织和力学性能的影响,重点讨论碳化腐蚀机理与防护,并展望碳化腐蚀与防护未来的研究方向。
1 国内外研究现状
1.1 石油化工领域国内外研究进展
研究表明,能源化工领域石油裂解制备原料时在管路的高温环境下,原料和载气形成的碳气氛会对裂解炉管造成高温碳化腐蚀。谭家隆等[10]对乙烯裂解管常用的6种奥氏体耐热钢进行了抗碳化腐蚀性能的分析,主要研究了成分对耐蚀性的影响。李处森和杨院生[11]研究了乙烯裂解管结焦和渗碳现象,给出了二者联系以及防护措施,并进一步总结了乙烯裂解管常用材料HP耐热钢的催化结焦行为[12],并研究其催化结焦和渗碳的相关性。Grabke[13]在Corrosion in Refineries一书中总结了炼油厂常见的腐蚀现象,研究了不同服役情况下裂解管和反应釜的碳化腐蚀行为,将不同的失效情况进行了归纳,如图1为裂解管内壁由于高温渗碳导致碳化物向内生长产生的裂纹。由于乙烯裂解管的正常服役对石油裂解工艺环节至关重要,已有大量学者开展了裂解管服役过程中的应力应变、氧化渗碳损伤、蠕变-渗碳等方面的研究,并对裂解管的服役寿命进行了预测。例如Shen等[14]和金沛斌[15]结合高温渗碳实验获得边界条件以及裂解反应的各项参数,使用ABAQUS有限元软件模拟了乙烯裂解管候选材料在高温高碳势下的蠕变-渗碳损伤,并预测了损伤达到临界时的服役时长。国内外学者对石油裂解管碳化腐蚀的研究相对较多,研究也更加深入。
图1 裂解炉管的渗碳现象及渗碳微观结构的显微照片呈现内部裂纹,在1100 ℃左右形成了较大的内部碳化物[13]
Fig.1 Carburization of a tube from a cracking furnace, optical micrograph of the carburised microstructure with internal crack, coarse internal carbides formed at about 1100 ℃: (a) sectional internal cracks, (b) optical micrograph of the carburised microstructure[13]
1.2 电力能源领域国内外研究进展
随着电力能源领域的进一步发展,金属材料的服役温度也逐渐增高导致腐蚀问题加重,腐蚀导致的生产事故后果也越发严峻,使得学者增加了对相关腐蚀现象的研究。例如使用超临界CO2 (S-CO2)作为工质的布雷顿循环时,金属服役温度较高,且S-CO2提供高压且饱和的含C、O气氛直接与服役金属表面接触,易发生反应造成C、O元素向内扩散,产生碳化腐蚀现象。
S-CO2布雷顿循环系统因其工质成本低、环境污染小、循环效率较高的特点成为近些年能源领域学者们的研究热点之一。学者们在S-CO2布雷顿循环系统设计过程中发现,系统中包含涡轮、换热器、高温调节阀和高温高压管路等多个高温、高压环境工作的热端零部件,图2为应用于S-CO2的紧凑型换热器[16]。同时,刘桂秀等[17]研究了自然循环铅冷快堆耦合S-CO2布雷顿循环发电体系,研究表明S-CO2自然循环铅冷快堆热端服役温度为400~500 ℃,服役温度较高,需选择合适的耐热金属作为热端服役材料。为提高系统寿命满足工程使用要求,需进一步研究低成本和高性能的新材料,并突破热端零件的加工制备技术以降低生产成本,肖博等[5]从材料方面研究,分析了铁素体/马氏体耐热钢、奥氏体不锈钢及镍基高温合金等超临界工质发电候选材料的高温腐蚀性能,并深入研究了多种备选电站耐热金属在S-CO2的工况下的腐蚀情况[18,19],结果表明其腐蚀情况以氧化为主,渗碳情况则和氧化膜形成相关。还有学者[20]同样研究了不锈钢和镍基高温合金在S-CO2中的服役情况,判断AL-6XN不锈钢的耐蚀性优于其余3种金属。He等[21]则研究了新型含铝奥氏体钢(AFA)在S-CO2中的腐蚀情况,AFA在腐蚀后形成了多层氧化膜结构。Xu等[22]对S-CO2布雷顿循环的高温部件现存的腐蚀情况进行了综述,主要分析了组织、元素、外部条件等对腐蚀的影响,同样发现S-CO2的高温腐蚀一般为氧化结合碳化,并指出该领域还需深入研究的内容。
图2 应用于S-CO2的紧凑型换热器[16]
Fig.2 Compact heat exchangers used for closed S-CO2 Brayton cycles system[16]
高温气冷堆是目前最有望商用并具有固有安全性的第四代先进堆芯结构,目前相关材料技术研究方向主要包括:核燃料、高温金属、核石墨、压力容器、气冷堆制氢等[23]。球床式高温气冷堆结构如图3所示,由于采用球形燃料以及石墨作为缓冲剂,相互摩擦易产生石墨粉尘扩散沉积,导致碳化腐蚀。有学者[4]从气流模拟角度研究了高温气冷堆蒸汽发生器中的石墨粉尘沉积,给出重点沉积区域和预测沉积量。而鲁金涛等[2,24]从材料服役情况出发,对在超临界CO2下的碳化腐蚀及在石墨粉尘沉积饱和碳势下的碳化腐蚀进行了机理研究,较为合理地解释了碳化腐蚀作用。Cerullo和Lomonaco[25]综述了高温气冷堆的发展过程,并研究了高温气冷堆在应用中出现的腐蚀情况,其腐蚀原因主要是气态冷却剂He的杂质气体H2、H2O、CO和CH4等,以及石墨缓冲剂导致高温气冷堆出现氧化和碳化腐蚀。虽然目前高温气冷堆仍是能源领域学者们的研究热点,但相关腐蚀问题涉及较少,仍需后续学者继续补充研究。
图3 高温气冷堆燃料球结构及球床式气冷堆工作示意图
Fig.3 One of HTGR fuel balls structure and working diagram of Sphere-Bed HTGR
1.3 其他方面的碳化腐蚀
高炉冶矿过程中也存在碳化腐蚀现象(图4),布料滑槽部位出现腐蚀裂纹,王猛等[26]对高炉中的布料滑槽在饱和碳气氛及较高温度下的碳化腐蚀现象进行了失效分析。同样的在高参数高温锅炉服役过程中也可能发生热腐蚀,方旭东等[27]研究了超超临界锅炉烟气下奥氏体耐热钢的热腐蚀行为,结果表明其腐蚀失效主要以氧化和硫化为主。同理高参数火电机组在工作时,在锅炉炉壁承受燃烧烟气以及煤灰腐蚀,可能导致氧化-硫化腐蚀而碳化腐蚀较少,黄锦阳等[28]研究了多种组织状态下镍铁基高温合金对烟气/煤灰的耐蚀性,研究表明腐蚀产物多为氧化产物,还有少量的钛钼内硫化产物,热处理态后合金耐蚀性高于原始态。在新型绿色可再生能源领域中储能研究是其中一个重点,由于熔盐储能温度较高且使用碳酸盐时[29],熔融状态下的碳酸盐内存在O2-和CO
从而会产生电化学腐蚀,故其应归为碳酸化。由于其余领域发生的碳化腐蚀现象研究较少,且腐蚀不占主要因素,不作讨论。
图4 布料滑槽腐蚀失效情况[26]
Fig.4 Diagram of chute feeder macrograph and failure figure: (a) cracks appeared in carbonization-corrosion, (b) location of macroscopic fracture[26]
2 碳化腐蚀行为研究
2.1 碳化腐蚀特征及基本原理
石油化工和核电等领域的学者们通过实验研究温度、流速、碳源气体、载气种类、材料种类及表面状态等各种因素对结焦状况的影响,提出催化结焦行为是造成材料表面大量积碳的重要原因之一。Lahaye等[30],Baker[31]以及Snoeck等[32]都通过Fe、Co、Ni等金属粉粒对催化结焦的产生及生长机理进行研究,提出碳纳米管制备过程。其过程学界一般认为过渡金属粒子Fe、Co、Ni能与含C、N、O、H等元素的载气在高温下发生催化结焦[33,34],形成多种多样的丝状焦炭,又在高温下分解为碳和金属颗粒,碳继续向粒子内部扩散,而分解得到的金属颗粒继续与碳反应形成碳化物,由此形成不稳定的过渡态碳化物膜,其不断地吸收碳并形成碳扩散梯度。图5展示了Young[35]在研究中构建的催化结焦的传质模型,结合SEM及TEM分析催化结焦过程,发现暴露的Fe3C与含碳气体接触并催化,将碳扩散到Fe3C-石墨界面,使得碳纳米管继续生长,从而总结出催化结焦过程中Fe3C的3种机制:催化产生含碳气体、溶解并运输碳元素、为丝状石墨提供形核和长大条件。但Young在研究中提出Fe3C颗粒如何形成的解释存在争议:若以扩散理论来解释,其一无法解释Fe3C的分解反应生成的Fe原子的运动,其二无法确定不同条件下Fe原子在石墨中的溶解度和扩散系数,故其机理仍需学者们进一步研究[35]。结焦是一种渗碳现象,学者们研究了各种变量对结焦现象的影响,同时探寻了结焦过程的机理,对碳化腐蚀的研究也更加深入。
图5 丝状焦炭顶部存在Fe3C颗粒:SEM图像,TEM亮场图像SAD模式及传质模型[35]
Fig.5 Coke filaments with Fe3C particles at their tips (thin): (a) SEM view, (b) TEM bright field image, (c) SAD pattern and mass transfer model[35]
在服役环境温度更高,载气活性成分更低时,金属材料表面发生的碳化腐蚀主要表现为内部渗碳和金属粉化两种情况。内部渗碳主要指的是在1000~1150 ℃下的高温渗碳,造成材料硬度提高,塑性降低,多用于材料表面强化。金属粉化则常指的是在450~800 ℃下,碳活度αc ≥ 1的渗碳行为,其造成材料表面坑蚀和脱落,影响材料一体化[36~39]。同时学者们研究表明材料内部结构、表面状态及微量元素添加均会对渗碳行为造成影响。气氛对渗碳的影响可用碳活度αc公式表示:
式中,K为反应平衡常数,PCO、
、
分别为气体分压。
高温下,活性碳原子产生的化学式如下:
当材料种类是常用Fe-Cr-Ni合金,在碳活度αc ≤ 1和800℃的实际工况下,表面会形成致密的Cr2O3保护膜来阻止碳的渗透,所以研究保护膜的破坏机理可以更好地解释金属渗碳和粉化。合金在高温碳气氛中长时间服役时,保护膜持续消耗并生成脆性Cr x C y,并且由于热应力使得Cr x C y 不断脱落并逐层破坏氧化层。再者Cr扩散较慢,在服役材料中形成贫Cr层,导致抗碳化抗氧化能力下降。材料表面结焦和渗碳起因不同,腐蚀过程不同,但在乙烯裂解管的腐蚀现象中可能同时出现,有学者将二者联合分析并论述了相互影响的可能性,提出了结焦促进渗碳以及催化结焦本身就是一种微观渗碳行为这一观点[11]。
除此以外,学者们还基于S-CO2实际应用工况考虑,以不同的方式对碳化腐蚀机理进行了探索。学者[5]在进行S-CO2发电系统候选材料的高温腐蚀性能研究的同时,对3种常用耐热钢材的腐蚀机理进行了简要论述。如图6所示,当铁素体/马氏体耐热钢在S-CO2介质下发生腐蚀时,基体Fe向外扩散,最外层氧化形成疏松的Fe3O4柱状晶,Fe与Cr在内氧化层形成致密的氧化层,同时还原所得C在基体内形成碳化层,总结得到氧化和碳化同时进行,二者具有相关性。CO2通过双层氧化层扩散到内氧化层/碳化层界面,发生氧化反应生成Fe3-x Cr x O4尖晶石内层和CO,再发生布杜阿尔反应(Boudouard Reaction):
图6 铁素体/马氏体耐热钢碳化腐蚀原理[5]
Fig.6 The principle of carbonization on ferritic-martensitic steel[5]
从而生成单质碳,C向内扩散形成碳化区。当部分奥氏体不锈钢及镍基合金在S-CO2介质下腐蚀时,氧化和渗碳都不显著,金属表面形成致密Cr2O3,仅有CO和CO2通过纳米通道、裂纹等方式穿过Cr2O3层,在晶界处生成碳化物[40]。在对S-CO2高温碳化腐蚀的总结中发现,对于奥氏体耐热钢和镍基合金的高温碳化腐蚀研究较少,机理方面存在一定的不足。综上所述,镍基合金抗碳化腐蚀能力最强,其次是奥氏体耐热钢,最差是铁素体/马氏体耐热钢。
随着研究进一步深入,有学者开始从原子尺度对碳化腐蚀进行模拟研究,进一步验证碳化腐蚀机理。基于分子动力学的模拟研究是对碳化腐蚀机理的有力补充,Qi等[41]结合MD模拟和ReaxFF力场研究了高温CO2中Fe-Cr表面碳化物生长过程,模拟了CO2在Fe-Cr表面的Fe原子和Cr原子吸附和脱氧过程(图7),使得氧化-碳化产物在Fe-Cr表面积累生长。研究表明Fe-Cr表面的S-CO2碳化腐蚀主要由3个主要步骤构成:第一阶段,表面的Cr原子作为CO2化学吸附的活性位点,随后通过C-O键断裂进行连续脱氧;第二阶段,氧化触发表面重构,使Cr原子从合金表面向外分离,在腐蚀过程中形成链状的氧化物,在合金表面形成均匀的氧化-碳化物后,反应过程就会发生变化,随后以较低的速率进行;在第三阶段,C原子和O原子渗透到合金中,导致氧化碳化物的生长,在氧化反应引起的内应力的驱动下,一些不稳定的表面铁原子向外移动,导致外层氧化物的生长。此外他们还发现Cr原子难以通过氧化-碳化物扩散,在表面形成双层氧化物,所以在初始快速氧化阶段,腐蚀过程与CO2浓度无关,而较高的温度可以加速腐蚀,图8给出了Fe-Cr表面均匀氧化后的渗碳机理。
图7 Fe-Cr合金表面CO2的反应模型[41]
Fig.7 Snapshots of CO2 on the Fe-Cr alloy surface: (a) chemisorption of CO2 around the chromium atom, (b) chemisorption of CO2 around the iron atom, (c) the desoxygenation of CO2, (d) the desoxygenation of CO[41]
图8 均匀氧化层的Fe-Cr合金氧化渗碳机理示意图[41]
Fig.8 Schematic diagram of oxidation and carburization mechanism of Fe-Cr alloy with a uniform oxide layer: (a) deoxidation and carburizing of CO2 in the surface, formed average oxide layer and internal carbide, (b) oxygen and carbon atoms diffused inward, (c) metal atoms diffused from the FeCr alloy to the gas side driven by the oxidation-induced internal stress[41]
还有学者[42]深入分析了S-CO2材料腐蚀的动力学和热力学过程,使用分子动力学计算了CO2在Fe-Cr表面的吸附过程,模拟了T92钢在初始氧化阶段的原子迁移和分布规律,并基于腐蚀热力学原理分析了氧化层和碳化物的分布,最后通过高温腐蚀实验进行了验证。研究表明氧化层外侧主要为Fe3O4,氧化层内侧主要是FeCr2O4层,氧化层内部主要为Cr23C6型碳化物,并且CO2优先吸附于Cr原子(111)表面发生反应,一部分生成氧化物和碳化物,另一部分生成游离C原子沉积在氧化层表面,以离子的形式向基体内扩散,腐蚀过程主要由离子扩散控制,扩散速率随着温度升高而增大。构建T92钢S-CO2环境下初始氧化阶段反应力场分子动力学模型如图9a,并给出了600 ℃下反应时间为5000 ps的4种原子沿z方向的面分布和线分布模拟规律。如图9b,通过模型模拟并统计化学键成键数,给出了T92钢在S-CO2中的碳化腐蚀动力学过程。
图9 T92钢在600 ℃下S-CO2环境下的初始模型以及600 ℃下反应时间为5000 ps时沿z方向的面分布及线分布规律[42]
Fig.9 Initial model for T92 steel in S-CO2 at 600 ℃ (a) and the mapping and lining distribution of four kinds of atoms in z direction at 600 ℃ for 5000 ps (b)[42]
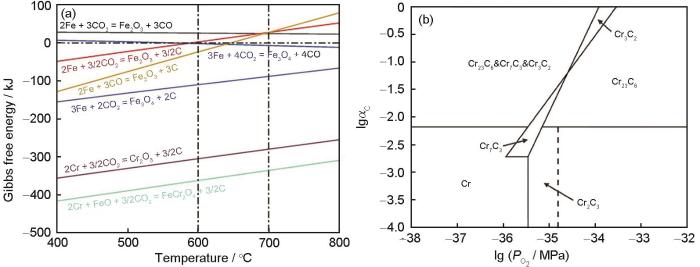
以腐蚀热力学来研究T92在S-CO2的碳化腐蚀情况时,首先通过JMatPro软件计算该温度下的平衡相成分,以热力学第二定律为基准,使用FactSage软件计算15 MPa下的S-CO2的Gibbs自由能ΔG随温度变化(图10a)。通过图10a判断Cr与O亲和力更强,则CO2与Cr优先反应,并通过FactSage软件计算反应所需的临界氧分压,并以平衡氧分压和临界碳活度构建了碳化物分布模型(图10b)。
图10 T92钢在15 MPa下S-CO2环境下Gibbs自由能随温度变化的关系和T92钢在600 ℃下S-CO2的Cr-C-O平衡相图[42]
Fig.10 The relationship between Gibbs free energy and temperature in S-CO2 environment at 15 MPa (a) and Cr-C-O equilibrium phase diagram of T92 steel in S-CO2 environment of 600 ℃ (b)[42]
以上分别为T92在S-CO2的碳化腐蚀的动力学分析过程和热力学分析过程,学者研究过程多依靠软件计算和构建模型模拟。若变更金属材料,动力学分析则需要更正边界条件重新计算,热力学分析则需要重新计算平衡相,构建ΔG随温度的变化关系和M-C-O平衡相图,还需进行高温实验模拟。分析该学者研究过程表明,其并未以动力学方式来区分氧化、碳化及氧化结合碳化,而是以热力学的Gibbs自由能ΔG来判断反应的是否发生,研究方法可对后续碳化腐蚀的进一步研究提供一定的参考。
2.2 渗碳对合金组织的影响
合金材料的碳化使其获得更多的碳元素,将会导致受碳化腐蚀部分成分发生变化,从而影响合金的组织结构。合金材料的碳化对组织的影响一般分为两种:合金材料的表面改性和碳化腐蚀合金材料失效。
随着服役环境变得越发严苛,合金钢材同时被要求了更高的耐磨性和强度[43]。学者们从改变近表面组织成分的角度出发研究出表面改性技术:表面渗氮、表面渗碳及碳氮共渗等,其中表面渗碳技术是在特定条件下对合金材料进行表面渗碳,即碳化处理,使得碳原子进入合金材料表层,以达到增强性能的要求。表面渗碳在合金材料表层的晶格形成了过饱和的C原子固溶体,获得“膨胀α相”“膨胀γ相”等,暂记为αc和γc相。石宇[44]研究了等离子渗碳技术在1Cr17和1Cr17Ni2两种不锈钢上的强化机理,确定形成了“αc相”,耐蚀性耐磨性均有增强,研究表明渗碳层增厚符合抛物线规律,提出了渗碳过程的强化作用来自固溶碳原子导致晶格畸变形成的位错阻碍,以及金属碳化物本身的析出强化。王津[45]研究了低碳钢碳氮共渗结合奥氏体化+时效处理,使得强度高于碳氮共渗+保温处理,研究表明二者结合提高了样品的屈服、抗拉强度以及抗疲劳性能。Li等[46]研究了Fe-Cr-2Ni-Mo-V的渗碳过程中的组织和力学性能变化,研究表明渗碳的过程提高了样品中的马氏体梯度含量,渗碳样品的硬度变化与样品含碳量正相关,并进一步研究得到渗碳后进行二次淬火+低温回火可显著提高力学性能。程茹等[47]研究了真空低压渗碳对304和316L奥氏体不锈钢的组织和性能的影响,分析了两种合金的碳化物析出情况,研究表明316L不锈钢由于强碳化物形成元素Mo含量更高,M23C6型碳化物形成范围更大,并减少了奥氏体中碳的固溶量,延缓了M7C3型碳化物的产生,从而导致316L不锈钢渗碳后力学性能强于304不锈钢。
对合金的渗碳处理作为表面改性技术的一种,拥有着较低的成本和较高的收益,被大量应用于实际的生产中以提升合金材料表面性能,故有研究对其过程中的组织及性能变化进行了分析。合金材料在实际应用中会遇到更复杂的碳化情况,与严格控制渗碳条件的表面改性不同,服役产生的碳化腐蚀情况更为多样,温度、压力、含碳气氛等条件各有不同,且对合金材料服役过程中产生的渗碳腐蚀多以失效分析为主,对组织演变研究较少,故可以基于合金表面的渗碳处理,以调整处理气氛等方式即控制变量进行碳化腐蚀的组织演变研究。
2.3 碳化腐蚀对合金力学性能的影响
合金微观组织对合金力学性能影响不容忽视,微观组织的变化是合金力学性能变化的源头,从而碳化腐蚀对力学性能的影响也需要深入研究。
材料碳化腐蚀会对合金部件造成严重的灾难性损伤,是高碳活度气氛下材料部件失效的主要因素之一。普遍研究[48~50]认为合金碳化部位体积增大,膨胀系数低于基体而造成较高的内应力,从而引起部件过早发生断裂,同时由于合金表面及晶界大量碳化物的形成,降低了材料的冲击韧性,脆化倾向明显,严重影响了材料力学性能。王猛等[26]通过对35CrMo合金碳化腐蚀失效研究指出了合金因碳化导致的失效原因在于高温碳化诱发表层金属内部产生的孔洞和缺陷,在热冲击及自重载荷应力作用下表面产生开裂,高温碳化在裂纹两侧继续进行,最终导致合金部件失效甚至断裂;Aramide等[51]对低碳钢在不同碳化温度下的拉伸性能开展测试,结果表明合金中碳化物体积分数和含量增多引起晶界微孔洞和裂纹是导致碳化样品冲击韧性出现明显降低的关键因素。Sudha等[52]对AISI 316LN奥氏体不锈钢碳化行为研究表明,晶界和择优晶面分布的高密度富Cr碳化物析出时会在晶格中引入相当大的应变,是导致材料变形、裂纹萌生进而造成合金失效的诱因之一。也有研究认为[53],渗碳后的钢会产生残余压应力,虽然提高了钢的抗疲劳性能,但却导致了裂纹的形成,对于碳化对合金造成的性能损伤,温度和时间也是造成渗碳样品脆性提高、极限抗拉强度下降不可忽视的主要因素。另外,西安热工研究院项目团队在无碳-高纯氦气环境下对Fe-Cr-Ni系合金Incoloy800H的长时效性能研究表明,时效3000 h后合金屈服强度(Rp0.2)、抗拉强度(Rm)以及断后延伸率虽满足ASME SB163-2015给出的≥ 30%的要求[54],但在研究中观察到碳化腐蚀对降低合金强度、加快合金脆性倾向的不良作用。
除此之外,碳化腐蚀对合金蠕变性能的影响也受到了多数研究学者的关注[55]。如Han等[56]研究了服役态下HP40Nb合金不同温度段(低温段873 ℃、高温段925 ℃)试样的退化、脆化机制,结果表明高温段样品晶界出现微蠕变裂纹,晶界碳化物以粗化的块状M23C6为主,低温段样品晶界以骨架状碳化物和蠕变空洞为特征,且部分碳化物骨架溶解并破碎成蠕虫状和块状组织,合金管材出现了严重的时效蠕变损伤积累。研究表明,在Ni-Cr-Fe系合金[57,58]中,晶界与相界是蠕变裂纹形成的优先位置,也是造成合金蠕变损伤积累与拓展的源头,归因于尺寸粗大的沿晶碳化物M23C6和较高含量的大尺寸析出相如G相,蠕变裂纹的扩展导致合金表现出了更高的脆化水平。对于低温下合金的碳化,虽然可以在晶界处析出细小碳化物以提高蠕变阻力,但是碳化物的形成会造成合金基体贫Cr,降低合金表面氧化膜保护性,这反而加剧了合金的碳化,在长期服役过程中同样将表现出明显的蠕变性能下降现象[59]。
综上所述,金属材料在含碳环境中的腐蚀现象是必然发生的,尤其在高温高碳势以及表面保护性氧化膜失效情况下,碳化腐蚀的进程会急剧增加;同时,对合金的力学性能也会造成灾难性破坏,严重制约了合金的安全服役及使用。
3 碳化腐蚀的防护策略
在碳化腐蚀研究取得一定进展的同时,学者们也对不同领域的碳化腐蚀的防护进行了探索。通过防护原理来讨论,一般分为3种方式:服役环境改良、合金成分改良及表面涂层防护。
3.1 改善合金服役环境
碳化腐蚀出现在特定工况下的特定材料,故除了需要服役金属满足成分要求外,还可以对服役环境进行一定的改良以缓解碳化腐蚀。有学者在石油裂解管腐蚀防护方面提出[11]在碳气氛中添加硫化物、磷化物、硼化物和有机硅烷等物质来钝化金属表面,但其成本较高,并还要考虑添加剂的腐蚀。如在裂解管的防护方面,Young[35]总结到在工业气体中引入H2S以阻止碳扩散进入金属,提到该方法已得到广泛的工业实践,图11为硫分压应用范围。其存在的问题是需要控制H2S的分压不能超过限制,否则将导致灾难性的硫化腐蚀,需谨慎应用。
图11 硫分压对金属粉化的影响[35]
Fig.11 Effect of Sulphur partial pressure on metal dusting[35]
3.2 改善合金成分
合金元素对碳化腐蚀的影响是显而易见的,在碳化腐蚀的研究过程中,Cr、Al等易形成致密氧化膜的元素均有利于抵抗碳化腐蚀。不同的组织抗碳化腐蚀的能力也不同,研究表明奥氏体比铁素体-马氏体更耐碳化腐蚀,且奥氏体的C原子溶解度低,更抗腐蚀。若调整服役金属结构及成分,或者在不影响主要成分的条件下添加微量元素以抵抗碳化腐蚀,前者使晶体结构改变,增加Cr、Si、Al等元素扩散到材料表面的速度,有利于形成和修复保护膜,后者则是凭借微量元素特性来增强抗腐蚀性能。黄志荣和尤一匡[59]在研究中发现,钢中添加Al的含量超过8%时,钢脆性大幅度提升,不具备工程实用性。除He等[21]所研究的AFA钢在S-CO2中形成多层氧化膜结构,马赵丹丹等[60]将20Cr-25Ni合金和AFA钢在S-CO2中的腐蚀情况做了对比,同样得出了AFA钢比20Cr-25Ni合金抗超临界CO2腐蚀的能力更强的结论,而且其实验所用AFA钢含Al量为3.5%。陈灵芝等[61]研究了应用于铅冷块堆包壳材料的AFA钢的腐蚀行为,研究表明热腐蚀会使得AFA钢内部析出3种析出相NbC/Fe2Nb及NiAl相,析出相的生成可能会影响AFA钢的耐蚀性,并且合金氧化随着Al含量的升高而降低,故而改变合金成分会对合金结构产生一定影响,需进行实验才能判断如何改变成分才能获得更强的抗碳化腐蚀性能。
3.3 合金表面防护涂层
在合金表面制备涂层是材料研究常用的抗腐蚀手段,为防护碳化腐蚀,提高服役寿命,学者们开展了合金防护涂层抗碳化腐蚀研究。黄志荣等[59,62]进行了HK40钢的表面渗铝新工艺研究,研究表明渗铝层有NiAl相和Ni3Al相组成时,抗碳化腐蚀能力明显提高。
西安热工院鲁金涛等团队[2,24,63~65]研究了多种高温性能钢的抗碳化腐蚀性能,并研究了渗Al涂层在高温合金上的性能。首先,Lu等对P92马氏体耐热钢分别应用了粉末包埋法和气相沉积法,分别研究了两种涂层方式产生的结构和组织[63],并对其进行了热老化实验,深入研究涂层的保护性能;其次,使用粉末包埋法和两步法沉积在镍基高温合金K417G上制备Al-Cr涂层,研究表明两步法涂层含Cr量高,更抗热腐蚀[64];除此以外,还对Super304H进行了涂层改性处理,并与HR3C钢进行了热腐蚀性能对比,研究表明改性后Super304H耐腐蚀性能提高,但与高铬含量的HR3C钢还有一定差距[2,65]。经过学者们的研究,初步验证了渗铝涂层抗腐蚀的可行性。
Young[35]同样提出了多种防护措施,其中包括使用表面预氧化的方式形成表面MCr2O4尖晶石层,有助于抵抗碳化腐蚀,但需要确保工作气氛氧势不能过低,否则可能导致金属粉化破坏防护层。Young还提到可以在材料表面制备抗反应涂层,例如不会产生催化反应的Cu层和Ni3Sn2层等。李宇旸[66]研究奥氏体钢抵抗超临界CO2腐蚀时,考虑了激光冲击强化奥氏体钢表面,使得抗蚀性增加,经研究激光强化分为两个方面:一是因为激光冲击在表面形成薄的压应力层,降低了空位浓度,有效降低了金属粒子和CO2在该层的扩散;二是由于激光强化层内容易形成具有保护性的Cr2O3层,增强了耐蚀性。Ropital[67]研究金属在工况下发生的性能退化问题时表明Al2O3的抗碳化腐蚀能力优于Cr2O3,原因在于Cr2O3在高温下(900 ℃以上)可能会产生分解反应,应注意服役温度,以应对碳化腐蚀可能造成的安全问题。Ropital还研究了腐蚀防护通用手段,提出多种检测手段来监控碳化腐蚀的损伤,如挂片监测、联网监测、电阻探头监测、超声监测等。Fadhil等[68]使用热喷涂技术在应用于原油蒸馏塔的不锈钢表面制备了多种陶瓷涂层,对比研究发现涂层的防护性能与涂层厚度和孔隙率有关,其中Al2O3涂层最强,SiO2次之,ZrO2最差。
综上所述,金属表面涂层防护方法对比改变服役环境方法考虑整体因素较少,对比改变金属成分方法使用成本更低,可用于增加已规模应用的管道钢材的抗腐蚀性能,故金属涂层防护是较为有效的防护碳化腐蚀的方式。目前国内外学者在低温碳化腐蚀防护、渗碳渗铝表面改性等方面已有深入且全面的研究,但在新兴能源领域,即高参数火电、超临界S-CO2布雷顿循环和第四代高温气冷堆传热管等出现的碳化腐蚀的防护仍缺乏深入的研究,未来在能源领域防护涂层的进一步研究将有望助力高参数火电和第四代气冷堆提高服役寿命和性能参数。
在综合碳化腐蚀的相关研究过程中,能源领域的不断前进发展在要求更高效率、更高利用率、更高参数以及更环保的同时,对金属材料服役的环境要求更加严苛,从而更易发生碳化腐蚀。例如新能源熔盐储能中应用碳酸盐可能导致高温电化学腐蚀;高参数火电应用时,因为温度增高更易出现煤灰腐蚀;应用S-CO2布雷顿循环体系时,又因为存在高温以及饱和CO2气氛更易出现碳化腐蚀;在高温气冷堆的发展过程中,也因石墨粉尘使得传热管发生碳化腐蚀现象等。碳化腐蚀导致催化结焦可能会使管壁增厚,传热能力下降出现超温风险,若碳化腐蚀导致内部渗碳则会降低力学性能,出现失效事故,若碳化腐蚀层过厚则可能会导致腐蚀产物脱落阻塞管道等。正如学者[67]提到的环境退化,高温腐蚀现象是能源领域需要解决的重点问题之一,其研究重点是增加金属材料的耐蚀性以满足金属材料越发严苛的服役环境条件。未来碳化腐蚀的研究方向可在各个领域进行更深化的研究,并结合相似领域的机理,解决碳化腐蚀导致的失效问题,构建更全面的碳化腐蚀防护方式,也可用于解决类似的高温腐蚀问题。
4 结论
(1) 通过对碳化腐蚀研究背景的综述,讨论了各个领域存在的碳化腐蚀问题,综合发现碳化腐蚀仍是能源化工领域的研究重点。
(2) 归纳总结低温电化学渗碳腐蚀、金属催化结焦以及金属内部渗碳与粉化等的碳化腐蚀机理,展示了相关的碳化腐蚀模型。
(3) 研究了碳化腐蚀对合金的组织结构及力学性能的影响,分析了渗碳与碳化腐蚀之间组织结构及力学性能变化的异同点,进一步说明碳化腐蚀的危害。
(4) 归纳总结了改善服役环境、改良合金成分、合金涂层防护等抗碳化腐蚀的方法,发现涂层改性的方法成本较低且能提高合金的抗碳腐蚀能力,并展望了碳化腐蚀领域的后续研究方向。
参考文献
[1]
Shi Q, Zhang T Q, Yu S Y.
Resuspension characteristic of dust particles in steam generator of high temperature gas-cooled reactor
[J]. China Powder Sci. Technol., 2023, 29(4): 1
[本文引用: 2]
石 倩, 张天琦, 于溯源.
高温气冷堆蒸汽发生器中粉尘颗粒的重悬浮特性
[J]. 中国粉体技术, 2023, 29(4): 1
[本文引用: 2]
[2]
Luo X W.
Research on graphite dust behavior in 10MW high temperature gas-cooled reactor
[D]. Beijing: Tsinghua University, 2004
[本文引用: 3]
雒晓卫.
10MW高温气冷堆中石墨粉尘行为研究
[D]. 北京: 清华大学, 2004
[本文引用: 3]
[3]
Guo L X, Liang D, Wang X J, et al.
Graphite dust deposition in high temperature gas cooled reactor
[J]. China Powder Sci. Technol., 2019, 25(2): 47
[本文引用: 1]
郭丽潇, 梁 栋, 王秀娟 等.
高温气冷堆蒸汽发生器中的石墨粉尘沉积
[J]. 中国粉体技术, 2019, 25(2): 47
[本文引用: 1]
[4]
Yang Z, Lu J T, Zhang P, et al.
Microstructure and steam oxidation performance of the aluminium diffusion coating on Super304H steel
[J]. Surf. Technol., 2020, 49(1): 64
[本文引用: 2]
杨 珍, 鲁金涛, 张 鹏 等.
Super304H钢表面铝扩散涂层的组织结构和抗蒸汽氧化性能
[J]. 表面技术, 2020, 49(1): 64
[本文引用: 2]
[5]
Xiao B, Zhu Z L, Li R T, et al.
Research status of high temperature corrosion of candidate materials for power generation system using supercritical carbon dioxide as working fluid
[J]. Therm. Power Gener., 2020, 49(10): 30
[本文引用: 5]
肖 博, 朱忠亮, 李瑞涛 等.
超临界二氧化碳工质发电系统候选材料高温腐蚀研究现状与进展
[J]. 热力发电, 2020, 49(10): 30
[本文引用: 5]
[6]
Jia Y Q, Liu R T, Li S F, et al.
Study on carbon dioxide corrosion of oil and gas pipelines
[J]. Yunnan Chem. Technol., 2019, 46(2): 177
[本文引用: 1]
贾逸群, 刘人铜, 李施放 等.
油气管道二氧化碳腐蚀研究
[J]. 云南化工, 2019, 46(2): 177
[本文引用: 1]
[7]
Wang C L, Xu X S, Liu C W, et al.
Improvement on the CO2 corrosion prediction via considering the corrosion product performance
[J]. Corros. Sci., 2023, 217: 111127
[8]
Chen L J, Liu W, Dong B J, et al.
Dynamic mechanism of corrosion products formed on carbon steel in CO2 environment: effect of silty sand
[J]. Corros. Sci., 2023, 221: 111355
[9]
Xiao W W, Zhang W B, Lin D Y, et al.
Material selection and evaluation on internal coating of associated gas pipeline in H2S-CO2-O2 coexistence system in Tahe oilfield
[J]. Mater. Prot., 2023, 56(2): 44
[本文引用: 1]
肖雯雯, 张文博, 林德云 等.
塔河油田H2S-CO2-O2共存体系下伴生气管道选材和内涂层评价
[J]. 材料保护, 2023, 56(2): 44
[本文引用: 1]
[10]
Tan J L, Li D J, Yu Y S, et al.
Research on carburization resistance of austenitic heat resistant steels
[J]. J. Dalian Univ. Technol., 1988, 28(4): 37
[本文引用: 1]
谭家隆, 李德俊, 于永泗 等.
奥氏体耐热钢抗渗碳性能的研究
[J]. 大连理工大学学报, 1988, 28(4): 37
[本文引用: 1]
[11]
Li C S, Yang Y S.
Coking and carburizing behaviors of metal materials in high temperature carbon-containing atmosphere
[J]. J. Chin. Soc. Corros. Prot., 2004, 24: 188
[本文引用: 3]
李处森, 杨院生.
金属材料在高温碳气氛中的结焦与渗碳行为
[J]. 中国腐蚀与防护学报, 2004, 24: 188
[本文引用: 3]
[12]
Li C S, Yang Y S, Wu X Q.
Analysis of coking and carburizing of HP heat-resistant steel
[J]. J. Chin. Soc. Corros. Prot., 2002, 22: 286
[本文引用: 1]
李处森, 杨院生, 吴欣强.
HP耐热钢结焦、渗碳的原因分析
[J]. 中国腐蚀与防护学报, 2002, 22: 286
[本文引用: 1]
[13]
Grabke H J. Carburisation and metal dusting of steels and high-temperature alloys by hydrocarbons [A]. HarstonJD, RopitalF. Corrosion in Refineries [M]. Cambridge: Woodhead Publishing, 2007: 1
[本文引用: 3]
[14]
Shen L M, Gong J M, Jiang Y, et al.
Damage prediction of HP40Nb steel with coupled creep and carburization based on the continuum damage mechanics
[J]. Acta Metall. Sin. (Engl. Lett.), 2012, 25: 279
[本文引用: 1]
[15]
Jin P B.
Effect of high temperature and complex environment on performance of ethylene cracking furnace tube
[D]. Xuzhou: China University of Mining and Technology, 2017: 52
[本文引用: 1]
金沛斌.
高温复杂环境对乙烯裂解炉管性能影响分析
[D]. 徐州: 中国矿业大学, 2017: 52
[本文引用: 1]
[16]
Zou Z P, Wang Y F, Yao L C, et al.
Progress in research of closed supercritical carbon dioxide Brayton cycle system
[J]. J. Beijing Univ. Aeronaut. Astronaut., 2022, 48: 1643
[本文引用: 3]
邹正平, 王一帆, 姚李超 等.
超临界二氧化碳闭式布莱顿循环系统研究进展
[J]. 北京航空航天大学学报, 2022, 48: 1643
[本文引用: 3]
[17]
Liu G X, Yi J W, Li G, et al.
Study on control strategy of natural circulation lead-cooled fast reactor coupled with S-CO2 Brayton cycle
[J]. Nucl. Power Eng., 2023, 44(4): 138
[本文引用: 1]
刘桂秀, 易经纬, 李 根 等.
耦合S-CO2布雷顿循环的自然循环铅冷快堆控制策略研究
[J]. 核动力工程, 2023, 44(4): 138
[本文引用: 1]
[18]
Xiao B, Li K Y, Wang B H, et al.
Corrosion behavior of various high-temperature materials in supercritical carbon dioxide
[J]. Proc. CSEE, 2023, 43: 4198
[本文引用: 1]
肖 博, 李开洋, 王碧辉 等.
多种高温金属材料在超临界二氧化碳中的腐蚀行为
[J]. 中国电机工程学报, 2023, 43: 4198
[本文引用: 1]
[19]
Xiao B, Wang B H, Cen D L, et al.
Study on corrosion characteristics of nickel-based alloy Inconel 617 in high-temperature supercritical carbon dioxide
[J]. J. Chin. Soc. Power Eng., 2023, 43: 406
[本文引用: 1]
肖 博, 王碧辉, 岑栋梁 等.
镍基合金Inconel 617在高温超临界CO2下的腐蚀特性研究
[J]. 动力工程学报, 2023, 43: 406
[本文引用: 1]
[20]
Firouzdor V, Sridharan K, Cao G, et al.
Corrosion of a stainless steel and nickel-based alloys in high temperature supercritical carbon dioxide environment
[J]. Corros. Sci., 2013, 69: 281
[本文引用: 1]
[21]
He L F, Roman P, Leng B, et al.
Corrosion behavior of an alumina forming austenitic steel exposed to supercritical carbon dioxide
[J]. Corros. Sci., 2014, 82: 67
[本文引用: 2]
[22]
Xu Z Y, Yang Y Y, Mao S J, et al.
Review on corrosion of alloys for application in supercritical carbon dioxide Brayton cycle
[J]. Heliyon, 2023, 9: e22169
[本文引用: 1]
[23]
Shi L, Zhao J Q, Liu B, et al.
Development strategy of key materials technology for the high temperature gas-cooled reactor
[J]. J. Tsinghua Univ. (Sci. Technol.), 2021, 61: 270
[本文引用: 1]
史 力, 赵加清, 刘 兵 等.
高温气冷堆关键材料技术发展战略
[J]. 清华大学学报(自然科学版), 2021, 61: 270
[本文引用: 1]
[24]
Huang J Y, Lu J T, Xing R H, et al.
Carbonization corrosion behavior of Incoloy800H alloy used for heat transfer tube in a simulated graphite dust environment
[J]. J. Chin. Soc. Corros. Prot., 2023, 43: 365
[本文引用: 2]
黄锦阳, 鲁金涛, 邢瑞华 等.
传热管用Incoloy800H合金在模拟石墨粉尘环境中的碳化行为研究
[J]. 中国腐蚀与防护学报, 2023, 43: 365
DOI [本文引用: 2]
[25]
Cerullo N, Lomonaco G.
Corrosion issues in high temperature gas-cooled reactor (HTR) systems
[A]. Féron D. Nuclear Corrosion Science and Engineering [M]. Cambridge: Woodhead Publishing, 2012: 731
[本文引用: 1]
[26]
Wang M, Wang Q L, Yang J W, et al.
Failure analysis of chute feeder carburization corrosion in blast furnace
[J]. Phys. Exam. Test., 2011, 29(6): 35
[本文引用: 4]
王 猛, 王全礼, 杨建炜 等.
高炉布料滑槽金属碳化腐蚀失效分析
[J]. 物理测试, 2011, 29(6): 35
[本文引用: 4]
[27]
Fang X D, Wang Y Z, Bao H S, et al.
Hot corrosion behaviors of austenitic heat-resistant steels S31042, S31035, and C-HRA-5 in flue gas environment of ultra-supercritical coal-fired boilers
[J]. Therm. Power Gener., 2023, 52(1): 111
[本文引用: 1]
方旭东, 王雨舟, 包汉生 等.
超超临界锅炉烟气环境中S31042、S31035、C-HRA-5奥氏体耐热钢热腐蚀行为研究
[J]. 热力发电, 2023, 52(1): 111
[本文引用: 1]
[28]
Huang J Y, Lu J T, Yang Z, et al.
Study on coal ash/gas corrosion resistance of Ni-Fe based superalloy with different microstructure
[J]. Proc. CSEE, 2018, 38: 6640
[本文引用: 1]
黄锦阳, 鲁金涛, 杨 征 等.
不同组织状态的镍-铁基高温合金耐烟灰/气腐蚀性能研究
[J]. 中国电机工程学报, 2018, 38: 6640
[本文引用: 1]
[29]
Li G, Fu Y C, La P Q, et al.
Corrosion assessment and mechanisms of stainless steel in molten salt for solar thermal power generation
[J]. J. Mater. Eng..
[本文引用: 1]
李 广, 付一川, 喇培清 等.
光热发电用不锈钢的熔盐腐蚀评价及机理
[J]. 材料工程.
[本文引用: 1]
[30]
Lahaye J, Badie P, Ducret J.
Mechanism of carbon formation during steamcracking of hydrocarbons
[J]. Carbon, 1977, 15(2): 87
[本文引用: 1]
[31]
Baker R T K.
Catalytic growth of carbon filaments
[J]. Carbon, 1989, 27: 315
[本文引用: 1]
[32]
Snoeck J W, Froment G F, Fowles M.
Filamentous carbon formation and gasification: thermodynamics, driving force, nucleation, and steady-state growth
[J]. J. Catal., 1997, 169: 240
[本文引用: 1]
[33]
Wu X Q, Yang Y S, Zhan Q, et al.
Surface coking behavior on 25Cr35Ni heat-resistant alloy
[J]. Corros. Sci. Prot. Technol., 1999, 11: 274
[本文引用: 1]
吴欣强, 杨院生, 詹 倩 等.
25Cr35Ni耐热合金表面结焦机制
[J]. 腐蚀科学与防护技术, 1999, 11: 274
[本文引用: 1]
[34]
Wang F H.
Corrosion of materials in carbonaceous atmospheres at high temperatures
[J]. Corros. Sci. Prot. Technol., 1996, 8: 296
[本文引用: 1]
王福会.
金属材料在高温含碳气氛中的腐蚀
[J]. 腐蚀科学与防护技术, 1996, 8: 296
[本文引用: 1]
[35]
Young D J.
Corrosion by carbon
[A]. Young D J. High Temperature Oxidation and Corrosion of Metals [M]. 2nd ed. Amsterdam: Elsevier, 2016: 431
[本文引用: 8]
[36]
Grabke H J. Carburization: A High Temperature Corrosion Phenomenon [M]. St. Louis: MTI Publications, 1998
[本文引用: 1]
[37]
Grabke H J, Wolf I.
Carburization and oxidation
[J]. Mater. Sci. Eng., 1987, 87: 23
[38]
Grabke H J, Krajak R, Müller-Lorenz E M.
Metal dusting of high temperature alloys
[J]. Mater. Corros., 1993, 44: 89
[39]
Grabke H J, Müller-Lorenz E M.
Protection of high alloy steels against metal dusting by oxide scales
[J]. Mater. Corros., 1998, 49: 317
[本文引用: 1]
[40]
Wang M Y, Liang Z Y, Gui Y, et al.
Effect of corrosion behavior on mechanical properties of alloy in supercritical CO2 environment
[J]. Proc. CSEE, 2023, 43: 6709
[本文引用: 1]
王梦瑶, 梁志远, 桂 雍 等.
超临界CO2腐蚀对耐热材料力学性能影响研究进展
[J]. 中国电机工程学报, 2023, 43: 6709
[本文引用: 1]
[41]
Qi J, Sheng G W, Liu C H, et al.
Atomistic modeling of oxide-carbide growth on FeCr alloy surface in high-temperature CO2
[J]. Corros. Sci., 2022, 204: 110391
[本文引用: 5]
[42]
Guo T S, Liang Z Y, Zhao Q X.
Study on corrosion kinetics and product thermodynamics of materials in supercritical CO2
[J]. J. Xi'an Jiaotong Univ., 2023, 57(12): 136
[本文引用: 5]
郭亭山, 梁志远, 赵钦新.
超临界CO2材料腐蚀过程动力学与产物热力学研究
[J]. 西安交通大学学报, 2023, 57(12): 136
[本文引用: 5]
[43]
Fernandes F A P, Totten G E, Gallego J, et al.
Plasma nitriding and nitrocarburising of a supermartensitic stainless steel
[J]. Int. Heat Treat. Surf. Eng., 2012, 6: 24
[本文引用: 1]
[44]
Shi Y.
Effect of alloy elements on the formation and properties of "expanded" α phase on stainless steel
[D]. Harbin: Harbin Engineering University, 2020
[本文引用: 1]
石 宇.
合金元素对不锈钢表面“膨胀”α相形成及性能的影响研究
[D]. 哈尔滨: 哈尔滨工程大学, 2020
[本文引用: 1]
[45]
Wang J.
Study on the gas nitriding/nitrocarburizing process and the modification of nitrocarburized layers of low-carbon steel
[D]. Changsha: Hunan University, 2016
[本文引用: 1]
王 津.
低碳钢气体渗氮/氮碳共渗工艺及其渗层改性研究
[D]. 长沙: 湖南大学, 2016
[本文引用: 1]
[46]
Li B Z, Li C S, Li Z X, et al.
Microstructure and mechanical properties of Fe-Cr-2Ni-Mo-V steel in carburizing process
[J]. Procedia Manuf., 2018, 15: 1612
[本文引用: 1]
[47]
Cheng R, Tian Y, Song C W, et al.
Effect of vacuum low pressure carburizing on microstructure and properties of austenitic stainless steels 304 and 316L
[J]. Heat Treat. Met., 2022, 47(9): 1
DOI [本文引用: 1]
程 茹, 田 勇, 宋超伟 等.
真空低压渗碳对304与316L奥氏体不锈钢组织和性能的影响
[J]. 金属热处理, 2022, 47(9): 1
[本文引用: 1]
[48]
Song R K, Zhang M C, Peng Y C, et al.
High temperature oxidation and carburizing mechanisms of Cr35Ni45 heat-resistant steel under service conditions
[J]. J. Univ. Sci. Technol. Beijing, 2014, 36: 1045
[本文引用: 1]
宋若康, 张麦仓, 彭以超 等.
Cr35Ni45钢高温长期服役过程的氧化与渗碳机理
[J]. 北京科技大学学报, 2014, 36: 1045
[本文引用: 1]
[49]
Liu S, Guo Q Q, Wu X F, et al.
Carburization of three Fe-19Ni-21Cr-xAl (x = 0, 2, 6 at.%) alloys at 900 ℃ in oxygen-contaminated CH4/H2 atmospheres
[J]. Corros. Sci., 2016, 111: 436
[50]
Pang K J, Yuan H.
Mechanical behavior and fatigue performance of carburized steel specimens
[J]. Appl. Mech. Mater., 2016, 853: 72
[本文引用: 1]
[51]
Aramide F O, Ibitoye S A, Oladele I O, et al.
Effects of carburization time and temperature on the mechanical properties of carburized mild steel, using activated carbon as carburizer
[J]. Mater. Res., 2009, 12: 483
[本文引用: 1]
[52]
Sudha C, Sivai Bharasi N, Anand R, et al.
Carburization behavior of AISI 316LN austenitic stainless steel-experimental studies and modeling
[J]. J. Nucl. Mater., 2010, 402: 186
[本文引用: 1]
[53]
Loganathan T M, Purbolaksono J, Inayat-Hussain J I, et al.
Effects of carburization on expected fatigue life of alloys steel shafts
[J]. Mater. Des., 2011, 32: 3544
[本文引用: 1]
[54]
Li J, Zhan Y J, Li J, et al.
Mechanical properties and microstructure evolution of domestic Incoloy 800H during aging in helium
[J]. Therm. Power Gener., 2020, 49(11): 120
[本文引用: 1]
李 江, 詹英杰, 李 季 等.
国产Incoloy 800H合金在氦气中时效后力学性能及微观组织演化
[J]. 热力发电, 2020, 49(11): 120
[本文引用: 1]
[55]
Hamzah E, Mudang M, Jenq A K, et al.
High temperature creep behavior of austenitic Fe-Ni-Cr alloy
[J]. Adv. Mater. Res., 2013, 686: 170
[本文引用: 1]
[56]
Han Z Y, Xie G S, Cao L W, et al.
Material degradation and embrittlement evaluation of ethylene cracking furnace tubes after long term service
[J]. Eng. Fail. Anal., 2019, 97: 568
[本文引用: 1]
[57]
Ribeiro A F, Borges R M T, de Almeida L H.
Phase transformation in heat resistant steels observed by STEM (NbTi)C-NiNbSi(G-Phase)
[J]. Acta Microsc., 2002, 11: 59
[本文引用: 1]
[58]
Kenik E A, Maziasz P J, Swindeman R W, et al.
Structure and phase stability in a cast modified-HP austenite after long-term ageing
[J]. Scr. Mater., 2003, 49: 117
[本文引用: 1]
[59]
Huang Z R, You Y K.
Review of carburization corrosion and protection of metal materials
[J]. J. Jiangsu Inst. Petrochem. Technol., 2001, 13(2): 9
[本文引用: 3]
黄志荣, 尤一匡.
金属材料的碳化腐蚀及防护研究进展
[J]. 江苏石油化工学院学报, 2001, 13(2): 9
[本文引用: 3]
[60]
Ma Z D D, Cong S, Chen Y, et al.
Corrosion behavior of alumina-forming austenitic heat resistant steel in supercritical carbon dioxide
[J]. Nucl. Power Eng., 2022, 43(6): 101
[本文引用: 1]
马赵丹丹, 丛 硕, 陈 勇 等.
含铝奥氏体耐热钢在超临界二氧化碳中的腐蚀行为
[J]. 核动力工程, 2022, 43(6): 101
[本文引用: 1]
[61]
Chen L Z, He Y J, Fu X G, et al.
Research progress on the corrosion resistance of alumina forming austenitic steel in lead⁃based liquid metals
[J]. Mater. Rep., 2023, 37(suppl.2) : 413
[本文引用: 1]
陈灵芝, 和雅洁, 付晓刚 等.
新型含铝奥氏体合金的耐铅基液态金属腐蚀性能研究进展
[J]. 材料导报, 2023, 37(): 413
[本文引用: 1]
[62]
Huang Z R, Ma L B, Li P N.
Pack aluminization of HK40 steel and evaluation of carburization resistance
[J]. J. Mater. Eng., 2005, 33(1): 25
[本文引用: 1]
黄志荣, 马刘宝, 李培宁.
HK40钢的渗铝新工艺及抗碳化腐蚀性能研究
[J]. 材料工程, 2005, 33(1): 25
[本文引用: 1]
[63]
Huang J Y, Zhong Q, Huang H G, et al.
Structure analysis of aluminized coatings on P92 steel prepared by pack cementation aluminizing and vapor aluminizing
[J]. Therm. Power Gener., 2020, 49(3): 124
[本文引用: 2]
黄锦阳, 钟 强, 黄浩刚 等.
P92耐热钢粉末包埋渗铝与化学气相渗铝涂层组织结构研究
[J]. 热力发电, 2020: 49(3): 124
[本文引用: 2]
[64]
Lu J T, Zhu S L, Wang F H.
Hot corrosion performance of Al-Cr coatings prepared by pack cementation
[J]. Corros. Sci. Prot. Technol., 2011, 23: 399
[本文引用: 1]
鲁金涛, 朱圣龙, 王福会.
Al-Cr涂层的制备及抗热腐蚀性能研究
[J]. 腐蚀科学与防护技术, 2011, 23: 399
[本文引用: 1]
[65]
Li Y, Lu J T, Yang Z, et al.
Corrosion behavior of aluminide coating modified super304H steel in simulated boiler coal-ash/gas environments
[J]. Mater. Mech. Eng., 2017, 41(5): 89
DOI [本文引用: 2]
李 琰, 鲁金涛, 杨 珍 等.
铝化物涂层改性Super304H钢在模拟锅炉煤灰/气环境中的腐蚀行为
[J]. 机械工程材料, 2017, 41(5): 89
[本文引用: 2]
[66]
Li Y Y.
Experimental research on corrosion resistance of austenitic steel in supercritical carbon dioxide environment
[D]. Beijing: North China Electric Power University (Beijing), 2022
[本文引用: 1]
李宇旸.
奥氏体钢在超临界二氧化碳环境下的耐腐蚀性能试验研究
[D]. 北京: 华北电力大学(北京), 2022
[本文引用: 1]
[67]
Ropital F.
Environmental degradation in hydrocarbon fuel processing plant: issues and mitigation
[A]. Khan M R. Advances in Clean Hydrocarbon Fuel Processing: Science and Technology [M]. Oxford: Woodhead Publishing, 2011: 437
[本文引用: 2]
[68]
Fadhil A A, Khadom A A, Fu C Y, et al.
Ceramics coating materials for corrosion control of crude oil distillation column: experimental and theoretical studies
[J]. Corros. Sci., 2020, 162: 108220
[本文引用: 1]
免责声明:本网站所转载的文字、图片与视频资料版权归原创作者所有,如果涉及侵权,请第一时间联系本网删除。
官方微信
《腐蚀与防护网电子期刊》征订启事
- 投稿联系:编辑部
- 电话:010-62316606
- 邮箱:fsfhzy666@163.com
- 腐蚀与防护网官方QQ群:140808414














