引文格式 王德龙, 王明明, 李瑞升, 等. 金属材料高周疲劳失效分析及仿真模拟研究进展[J]. 塑性工程学报, 2025, 32 (1):16-29. WANG Delong, WANG Mingming, LI Ruisheng, et al. Research progress of high-cycle fatigue failure analysis and simulation of metal materials [J]. Journal of Plasticity Engineering, 2025, 32 (1):16-29.
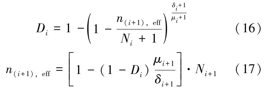
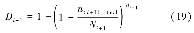
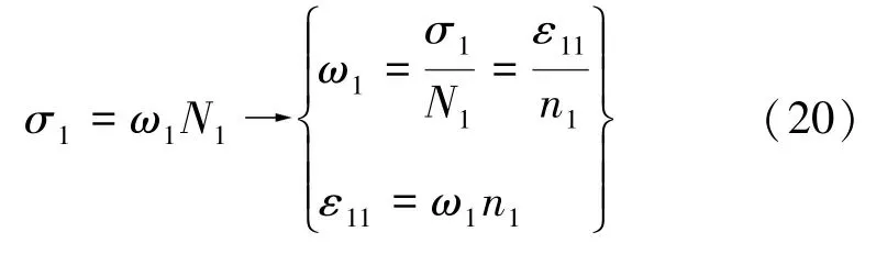
王德龙1, 王明明1, 李瑞升1, 张晓妍2, 李冬冬1, 纪宏超1, 张好强1 (1.华北理工大学 机械工程学院;2.华北理工大学 冶金与能源学院) 摘 要:金属材料高周疲劳失效是机械工程领域中一种极为重要的失效形式, 也是引起恶劣安全事件的重要原因。为了深入研究金属材料的高周疲劳过程、疲劳寿命的影响因素及疲劳过程中的组织演变规律等, 疲劳实验、 断口分析和组织表征等手段已被引入疲劳失效分析, 此外, 为了缩减实验周期, 并且能够对疲劳过程进行表征, 还产生了多种高周疲劳预测、仿真模型。因此,本文在汇总金属材料高周疲劳失效特征、失效机理的基础上, 着重对高周疲劳的预测方法、仿真方法和数学模型进行了阐述, 旨在为深入理解和预测金属材料的高周疲劳性能提供参考。 关键词:高周疲劳;疲劳性能预测;疲劳模拟 引言 高周疲劳(High Cycle Fatigue, HCF) 是工程领域中的一个重要问题, 特别是在航空、 汽车和机械制造等行业中受循环载荷的零部件, 因循环载荷造成的累积损伤更易使其发生疲劳破坏。随着工程结构轻量化要求和服役环境的严苛性, 金属材料在高周循环载荷下的性能和寿命变得更为关键。并且随着高周疲劳循环次数的增加, 金属材料显示出了不同于低周疲劳的损伤、 失效行为, 这给材料设计和结构寿命评估带来了挑战。为了解决金属材料高周疲劳失效机理问题, 科研人员持续探索了不同的测试、 表征方法和技术, 其中包括材料表征、 数字仿真模拟和实验验证等。 本文总结了金属高周疲劳性能及模拟的研究进展, 分析了当前高周疲劳研究存在的问题, 讨论了材料表征方法、 仿真模型和实验技术的发展, 并探讨其应用在工程实践方面的潜力。此外还提出了未来金属高周疲劳研究的方向和挑战, 以促进该领域的进一步发展和创新。为金属材料高周疲劳性能及模拟研究提供参考, 以及相关工程实践提供科学依据和技术支撑。 1.高周疲劳失效特征 高周疲劳是机械工程领域中一种常见的疲劳失效形式, 具有以下几个特征。 (1) 高周疲劳是在高周次循环载荷下发生的。材料在每个循环载荷的作用下都会经历应力、 应变的变化。循环次数的增加会导致位错增值, 产生应力集中现象, 出现循环强化或软化, 最终导致材料逐渐接近疲劳极限。与其他疲劳形式相比, 高周疲劳寿命通常在105~107循环次数。在疲劳失效过程中, 不同的疲劳类型存在着不同的破坏机理, 如图1所示。对于高强钢而言, 如果材料在低周阶段就己经发生疲劳失效, 则其疲劳失效源通常位于材料表面, 如加工引起的刀痕等; 若材料在高周阶段发生疲劳失效, 则疲劳失效源通常位于材料内部, 如内部夹杂物等。 图1 不同疲劳类型的S-N曲线(a) 轴向加载疲劳 (b) 旋转弯曲疲劳 (2) 高周疲劳属于弹性疲劳。在高周疲劳中,材料在每个循环中都会回弹到原始状态, 没有塑性变形。这表明在高周疲劳破坏发生前, 材料通常不会出现明显的变形。最后, 高周疲劳的破坏通常是突然发生的。在经历大量循环后, 材料的疲劳寿命达到极限, 出现裂纹并最终导致失效。与静态加载下的破坏不同, 高周疲劳失效往往没有明显预兆, 很难通过外观检查等方法提前发现。因此了解高周疲劳的特征对于机械生产来说至关重要, 可以帮助设计和评估材料和结构的疲劳寿命, 以保证产品的可靠性和安全性。 2.高周疲劳失效机理 在高频载荷往复加载下, 材料内部发生微小、反复的弹性变形, 进而形成应力集中区域。这些应力集中区域可以导致材料局部塑性变形, 产生微小裂纹。这些裂纹在应力周期的作用下, 扩展并逐渐增长, 直至达到临界尺寸, 导致材料的断裂。下文将对在高周疲劳失效模式中起重要作用的相关因素进行讨论。 2.1 应力集中 高周疲劳失效通常在应力集中的位置发生。细小裂纹或夹杂物周围的应力集中会导致材料局部应力增加, 从而加速裂纹的形成和扩展。通过研究孪生诱发塑性 (Twinning Induced Plasticity,TWIP) 钢的高周疲劳行为, LIU R等发现位错可以在夹杂界面处形成位错堆积, 导致高应力集中,因此夹杂物界面是微裂纹形核的潜在位置; 而孪晶界处的应力集中较低, 因此孪晶界不能作为微裂纹萌生的场所。BELYAEV M S 等研究了由低碳单晶难熔镍合金制成的缺口试样的高周疲劳, 缺口位置处应力集中导致HCF 限值显著降低, 这表明应力集中是材料提前疲劳失效的一大因素。 TANG B 等开发的条件概率等效熵模型(Conditional Probability Equivalent Entropy Model,CPFE) 成功捕捉到了高周疲劳加载条件下应力集中现象。图2为不同应力水平下HCF 加载100次后微观结构中的Mises 应力分布。 图2 不同应力水平下100 次循环加载后的应力分布(a) 300 MPa (b) 350 MPa (c) 400 MPa (d) 450 MPa 从图2a和图2b可以看出, 当应力水平为300和350MPa 时, 应力集中主要存在于晶粒5#、8#、19#和22#, 而当应力水平增加到400和450MPa时, 晶粒12#和13#周围的应力集中明显增加, 这些晶粒的共同特点是其施密特因子较大, 微塑性累计较多。此外, 可以观察到最大应力位置随应力水平的变化而变化。因此应力集中是高应力水平HCF加载条件下一个重要的疲劳指标参数。 2.2 微观缺陷 微观缺陷如夹杂物、晶界和位错等, 对高周疲劳失效起着重要作用。在夹杂物含量基本相同的条件下, 夹杂物的大小、 形状及分布特征对疲劳寿命都具有明显的影响, 夹杂物的尺寸越大, 越容易成为裂纹萌生的起点。夹杂物尺寸等效微裂纹尺寸的式通常采用Griffith 能量平衡原理, 即在相同应力下等能耗原理。当夹杂物处于边界表面和夹杂物内部时, 夹杂物尺寸a 和等效微裂纹长度aeq的关系分别如式(1) 和式(2) 所示。 基于材料的微观缺陷特征, Murakami 模型提供了一种方法, 用于评估夹杂物尺寸与疲劳寿命之间的关系: 当夹杂物的平均尺寸大于40μm时, 式(3)不再适用, 这种情况下可以使用Griffith 破裂力学模型, 式(4) 描述了夹杂物尺寸与夹杂物含量之间的关系: 从式(4) 可以看出, 夹杂物含量越多、 材料的表面能越小以及应力越大,夹杂物尺寸增大, 从而对材料的强度产生更大的影响。 通过式(1) ~式(4)可以预估夹杂物的尺寸和裂纹大小之间的关系以及其对材料的疲劳寿命影响。需要注意的是, 实际情况还受到材料的内在差异、 应力分布、 夹杂物的形状以及材料本身的疲劳强度等因素的影响, 需要结合实验数据进行综合分析。虽然夹杂物尺寸大于40μm时, 由夹杂物引起的疲劳失效比率可达95%以上, 但目前也可以通过真空冶炼、电渣重熔以及精炼炉熔炼等冶金技术将夹杂物尺寸控制在1μm以下。不同类型夹杂物会诱发产生不同的断裂行为, WANG P 等在研究高碳铬轴承钢疲劳裂纹时发现, 夹杂物诱发轴承钢疲劳断裂分为基体与氧化物夹杂物界面处产生疲劳断裂以及氮化物夹杂物内部产生疲劳断裂, 如图3所示。图3a中的疲劳断裂源是Al2O3, 图3b中氧化物夹杂物完全从基体界面剥离, 由于共轭形貌在裂纹原点处保留有来了孔洞, 从而导致疲劳断裂。图3d和图3e所示的同一试样在疲劳破坏原点处的共轭形貌相同, 说明疲劳失效根源在于基体内部的氮化物夹杂物。 图3 疲劳破坏起始处夹杂物的SEM图像和疲劳裂纹模式示意图 作为微观缺陷, 晶界作为位错产生的重要来源,在循环载荷作用下, 位错会在晶界处增殖、堆积。TWIP钢历经104和106周次后疲劳试样的扫描透射电子显微镜(Scanning Transmission Electron Microscopy, STEM) 图像如图4所示, 其中图4a~图4c为经过104次循环的疲劳试样的STEM图像。图4a为同一晶界处的两个位错源, 它们具有相同的滑移体系。图4b显示位错是由两种不同的滑移体系产生的, 这两种滑移系统对应于同一晶粒不同晶界处的两种不同位错源。图4c中位错会跨越孪晶界并在退火孪晶内部滑动。图4d~图4f 为106次循环疲劳试样的STEM图像, 显示了晶粒内部密集的位错缠结和位错胞。 图4 TWIP钢历经104和106次后疲劳试样的STEM图 2.3 裂纹的形成与扩展 在循环加载下, 裂纹逐渐形成并扩展, 最终导致构件失效。裂纹在循环载荷下的形核和扩展是通过压力的变化引起的, 当应力达到裂纹扩展临界值时, 材料中的裂纹就会扩展。GAO G 等通过对4种不同夹杂物尺寸和组织的研究, 探究了图5所示夹杂诱发裂纹萌生(Inclusion Induced Crack Initiation, IICI) 和非夹杂诱发裂纹萌生(Non-Inclusion Induced Crack Initiation, NIICI) 方式。 图5 断口形貌 (a) 表面夹杂物 (b) 内部夹杂物 (c) NIICI断口 (d) 放大图与EDS分析图 图5a中裂纹萌生是由表面夹杂物引起的, 而图5b由于内部夹杂物导致了裂纹萌生, 可以观察到颗粒状亮面(Granular Bright Facet, GBF)。图5c 中非夹杂物诱导断口形成了鱼眼区(Fish Eye, FiE)。图5d中的十字表示EDS聚集区域, 通过详细的EDS分析表明, 非夹杂物诱导的GBF周围不存在夹杂物, 其成分与基体相似, 这证明了裂纹的起裂是由内部微观组织引起的, 而非夹杂物。 GUI X 等和FAN Y等通过对IICI 和NIICI断口特征区的三维观察和计算, 证实了含夹杂物较大的试样主要由夹杂物诱发疲劳裂纹, 而微观组织较粗的试样则主要由组织内部诱发疲劳裂纹, 如图6所示, 其中TA为过渡区, FGA为细粒区,SCG表示裂纹稳定扩展, FCG表示裂纹快速扩展,TP为过渡点。 图6 裂纹萌生断裂示意图(a) 夹杂诱导裂纹萌生 (b) 非夹杂诱导裂纹萌生 由图可知, 夹杂物周围形成应力集中, 在其周围形成细颗粒区, 进而诱导裂纹萌生, 然后裂纹进一步扩展形成鱼眼区, 最终裂纹快速扩展直至断裂,如图6a所示。非夹杂物诱导裂纹的形核和早期扩展发生在含有微面和周围TA 的GBF区域内, 其后续裂纹扩展与断裂过程与IICI大致相同, 见图6b。 2.4 微观结构的变化 高周疲劳加载导致材料微观结构的变化, 如位错增殖、晶体滑移、形成亚晶等, 这些微观结构的变化会对材料的疲劳行为产生影响, 一方面增加了材料的强度, 即循环硬化, 另一方面也可能导致疲劳裂纹的形成和扩展。多次反复的加载和卸载会导致载荷重新分配到材料内部微观结构中具有不同强度的相、 孔隙以及靠近严重取向错误晶粒边界的区域。这些位置的变形和应力集中会导致微小裂纹的形核, 而这些微小裂纹又会进一步扩大, 最终导致材料结构的完全破坏。近年来, 许多研究工作也都集中在通过改善材料的微观结构来提高部件的使用寿命。如通过激光或超声表面改性来延缓表面裂纹的激发, 或通过电子束熔化增材制造技术来针对特定的位置直接设计、打印具有复合微观结构的材料, 或调整贝氏体钢种残余奥氏体的形态来抑制疲劳裂纹的萌生。 由于晶界效应的存在, 多晶材料的单晶变形表现有明显不同。在低周疲劳条件下, 局部应力-应变与整体应力-应变存在较大差异。在循环应力/应变的周期性作用下, 组织中形成了高、 低位错密度域和孪晶的三维周期性结构, 如图7所示。Fe、Co和W等BCC金属通常具有非平面位错芯结构,其位错芯宽度较窄, 导致形成三维位错胞。FCC金属如Al、Cu等, 虽为平面位错芯, 但由于层错能高, 位错芯同样较窄, 也形成三维位错胞。对于层错能中等的FCC 金属, 其最常见的特征是二维位错结构随晶粒取向的不同而变化; TWIP 钢和镍基高温合金等低层错能的FCC 金属, 形成位错网络、 层错和微孪晶; 这些位错和孪晶结构会对疲劳裂纹的形成产生影响。Mg、Ti 和Zn 等HCP金属由于具有较宽的位错芯结构,往往形成不同取向的孪晶结构。 图7 循环变形金属材料的亚结构示意图 循环载荷作用下, BCC金属中原子发生位错和断裂引起疲劳失效。疲劳裂纹往往与晶粒边界和非金属夹杂物相互作用, 这些缺陷与位错相互作用导致晶粒内的断裂。相较于BCC结构金属, FCC金属具有较长的疲劳寿命, 其失效机理包括滑移和断裂。晶体中的原子通过滑移形成位错, 导致原子与晶体中的邻近原子之间发生相对位移。而疲劳裂纹通常形成于滑移位错的交叉点, 也可以从非金属夹杂物周围开始。在加载过程中, 这种位错会在加载过程中积累并最终导致断裂。HCP金属在加载过程中, 晶体中的原子通过滑移形成位错, 并会在某个特定的晶体面上形成孪晶。这些位错和孪晶会导致材料的强度下降和疲劳裂纹的形成, 此外疲劳裂纹可以在各个晶粒之间传播。 总的来说, 疲劳失效机理是一个复杂的过程,涉及到多个因素的相互作用。材料中的缺陷、微观组织结构以及表面特性、外界环境等都会对疲劳行为产生影响。为了延缓高周疲劳失效, 在工程实践中可以采取一些措施, 如优化材料的强度和韧性、减少应力集中、 改善材料的表面质量、 进行适当的设计和材料选择等。同时需要通过实验、数值模拟和理论分析等手段, 深入研究高周疲劳失效机理,以提高材料的疲劳寿命和可靠性。 3.高周疲劳性能预测 数值模拟方法是金属高周疲劳性能预测的主要方法, 包括有限元分析、 晶体塑性模拟、分子动力学模拟等。通过材料的力学和物理性能的数学模型,结合适当的边界条件和加载条件, 来模拟材料在高频应力环境下的变形、应力分布和疲劳寿命。张哲峰等对疲劳性能预测模型进行了统一的探索, 并得到了以应力幅Δσ、 应变幅Δε 与疲劳寿命Nf为X、 Y 和Z轴的三维正交坐标系的金属材料疲劳性能统一模型, 如图8所示。 图8 金属材料疲劳性能统一模型 该三维疲劳模型全面涵盖了应力、 应变与能量等疲劳性能评价方式, 从根本上解决了应力/应变等单一衡量标准所引发的分歧, 并由此构建出疲劳性能统一理论的雏形。下面介绍几种实现高周疲劳寿命预测的方法。 3.1 经验式法 经验式法基于大量实验数据和经验总结, 建立数学式来预测材料的疲劳寿命。常见的经验式包括Wöhler 式、 Coffin-Manson式等。这些式基于一定的假设和经验规律, 适用于特定材料和载荷条件下的疲劳寿命预测。例如, S-N曲线法是一种常见的经验式法, 通过绘制应力振幅和循环次数之间的对数曲线来预测寿命。这种方法适用于已有大量实验数据和经验式的情况。 S-N曲线表达式主要为以Wöhler 式为代表的指数函数形式: 对式(5) 取对数如下: 同样在描述应力寿命式时还可以运用非常普遍的幂函数式Basquin模型: 将Stromeyer 模型引入疲劳极限σf可得: 威布尔(Weibull) S-N 曲线描述了材料在不同应力水平下的寿命分布: 3.2 确定性分析法 确定性分析方法是一种基于材料和几何特性的疲劳寿命预测方法。通过收集材料的力学性能数据、实验数据和几何尺寸等参数, 结合疲劳寿命式和理论模型, 进行数值计算来估计高周疲劳寿命。这种方法需要较为准确的输入数据和较复杂的计算模型,适用于对于特定材料和几何形状的预测。在给定裂纹范围内, 高周疲劳寿命的估计方法是将材料的裂纹扩展阻力定义为裂纹长度的函数, 假设施加的驱动力与材料裂纹扩展阻力之间的差值定义了施加在裂纹上的有效驱动力。CHAPETTI M D等对表面裂纹和内部夹杂裂纹的疲劳裂纹扩展寿命进行了评估和分析。通过已知材料的裂纹扩展速率作为有效驱动力的函数, 估计出给定裂纹长度范围内的高周疲劳寿命, 图9a为施加应力幅为900MPa时内部裂纹对应的裂纹扩展速率与裂纹长度的关系。 图9 确定性分析法 已知控制体积首次被MURAKAMI Y等提出,用以解释轴向拉伸、压缩载荷与扭转载荷下材料疲劳强度比降低现象, 图9b为随载荷类型及试样尺寸变化的S-N曲线。在此基础上, CARPINTERI A等通过考虑结构反应截面的分形特性, 应用分形方法解释了疲劳强度随试样尺寸增大而降低的现象。高周疲劳状态下试样尺寸对金属材料疲劳寿命同样有影响, SUN C等提出了一种全新的统计分析方法探究其中的联系。首先将大型试样的性能与小型试样的性能通过控制体积相关联, 通过模拟发现结果与高周疲劳状态下的一系列实验数据吻合较好。该方法有助于从小试件的实验数据中定量估计大试件的疲劳寿命, 如图9c所示。SHIRANI M 等采用最弱链接法研究了试样尺寸对球墨铸铁高周疲劳性能的影响, 发现在获得大试样的P-S-N 曲线时,如图9d 所示, 采用威布尔最弱环节法体积式比采用表面式得到的效果更好。 3.3 累计损伤法 损伤累积法是一种通过监测和累积疲劳损伤来预测寿命的方法。该方法包括疲劳损伤累积理论和寿命预测模型。通过收集疲劳损伤的相关数据, 如裂纹扩展速率、 裂纹长度等, 结合材料的疲劳行为, 可以使用损伤模型来预测高周疲劳寿命。累积疲劳损伤计算的概念可以追溯到20世纪20年代, MINER M A提出了同样的假设, 现在被广泛称为Palmgren-Miner 规则、 线性损伤规则, 或者简称为Miner 法则。Miner 法则基于疲劳损伤等于累积循环比的假设, 如式(11) 所示。 为了更可靠地估计可变振幅载荷下的高周疲劳寿命, AERAN A 等[22]考虑了荷载序列和荷载相互作用效应, 提出了一个新的相互作用因子μ。对于加载块i+1, 相互作用因子计算如式(12) 所示。 为了解材料在等幅加载条件下的非线性疲劳损伤演化规律, AERAN A 等提出了新的损伤指标,如式(13) 所示。假设一种材料在载荷水平i下承受一定的应力幅值δi, 循环次数为ni, 可由材料的S-N 曲线确定这种应力状态下得循环次数为Ni。该应力范围内的疲劳损伤可以用所提出的损伤模型来确定, 如式(13) 和式(14)。疲劳损伤D 可以用Di的绝对值表示, 如式(15) 所示。 在提出的损伤传递概念中, 使用荷载相互作用系数μi, 将相同的损伤传递到下一个应力幅值σi+1。这样有效循环次数n(i+1),eff对应于应力范围σi+1, 可由式(16) 和式(17) 确定。如果应力范围σi+1的有效循环次数从一开始就存在, 则会产生相同的损伤Di: 应力状态σi+1的循环次数为ni+1, 则加载步骤i+1的总循环次数可由式(18) 表示: 则加载步骤i+1时的累积损伤为: 相应的疲劳损伤可由式(20) 确定: 这种损伤传递一直持续到疲劳损伤D为1, 即疲劳失效。AERAN A等提出的损伤传递概念如图10所示。该模型可以通过使用设计标准中定义的适当的S-N曲线应用于设计细节, 从而更容易地应用于实际工况中。 图10 损伤转移概念图 基于双线性S-N图中的线性化损伤增长曲线,THEIL N提出了一种新的疲劳寿命预测模型, 该模型的目标是考虑应力水平约为0.2%屈服强度水平和略高于10%的过载块的影响。如图11 所示, 寿命预测方法基于迭代计算, 由4 级块加载, 其特征为(σai, ni)。虚线表示线性化的损伤累计曲线,其斜率为相应的应力。当疲劳寿命与当前应力水平的损伤累计曲线相关时, 即第i 个载荷块的疲劳寿命达到极限, 就会发生失效。 图11 线性化损伤增长曲线方法在4级块加载情况下的疲劳寿命中的应用 THEIL N假设损伤在恒定振幅下呈线性增长。图11中OW1表示在第一个荷载水平下的损伤增长曲线。这条直线的方程可以写成: 3.4 数值模拟法 高周疲劳模拟是通过计算机模拟方法来预测金属材料在高频循环载荷下的疲劳寿命、 疲劳稳定性和裂纹扩展等性能。高周疲劳性能的模拟方法主要包括宏观模拟法、 微观模拟法及粒子模拟法等,这些方法在分析金属结构在高频循环载荷下的疲劳寿命、疲劳稳定性和裂纹扩展速率等问题方面都具有一定的应用。 3.4.1 宏观模拟法 有限元法(Finite Element Method, FEM) 是一种宏观模拟方法, 可以用于分析和预测金属结构在高周疲劳载荷下的疲劳寿命和疲劳损伤行为。该方法基于将结构离散为有限个单元, 并在每个单元内使用适当的数学模型进行力学分析。通过施加不同的载荷循环, 并结合材料疲劳性能数据, 可以得到结构的疲劳寿命和疲劳裂纹扩展情况, 通常用于模拟大尺度问题的行为和响应。为获得高周疲劳过程中的可靠数据, GONCALVES L A 等使用有限元方法对特定级别的孪晶诱导塑性钢的基于刚度演化的快速疲劳实验进行了数值再现。孙秋秋等提出了一种基于3D内聚力有限元模拟的方法, 结合蒙特卡罗方法, 用于模拟粗晶和纳米结构金属在拉伸载荷下的疲劳裂纹萌生和扩展过程。 扩展有限元法(Extended Finite Element Method, XFEM) 是在传统有限元离散化网格中引入额外的局部自由度, 使得有限元可以更加准确地模拟复杂的几何形状和局部变化, 其核心思想是通过在有限元离散化网格中引入扩展函数来扩展有限元的适用范围。这些扩展函数可以用来表示裂纹、 接触和界面等复杂几何形状。与传统有限元方法相比,XFEM方法能更好地描述和模拟材料的非连续性、断裂、 局部变形等现象。基于此, NIKFAM M R P等对T 型焊接接头进行三点弯曲实验, 得到了试样断口的宏观图, 见图12c。然后在T型焊接接头中插入半椭圆形XFEM 裂纹, 结合Abaqus 对钢制T型接头进行高周疲劳模拟。结果显示数值模型得到的断口形貌与实验形貌基本吻合。此外, XFEM 对裂纹扩展、 裂纹扩展速率、 失效循环次数、裂纹形状和最终裂纹尺寸的预测结果与实验结果相当。 图12 T 型焊接接头(a) 有限元分析 (b) 高周疲劳实验 (c) 试样断口宏观图 (d) 断裂表面三维视图 边界元法 (Boundary Element Method, BEM)是另一种常用的宏观模拟方法, 适用于求解固体结构的边界条件问题。边界元方法将问题的边界离散化为多个网格单元, 并通过求解边界积分方程来计算结构的响应。对于高周疲劳性能的模拟, 边界元方法可以用于分析结构的疲劳寿命和裂纹扩展速率等。它将问题的边界离散化成网格单元, 并通过求解边界积分方程计算结构的响应。它的优点是可以避免体积元方法的小尺寸效应, 同时对结构的疲劳裂纹扩展速率有较好的预测。 3.4.2 微观模拟法 晶体塑性模拟 (Crystal Plasticity Simulation,CPM) 是基于晶体塑性理论, 模拟晶体的变形和塑性行为, 研究材料在微观尺度下的塑性形变、 预测微观组织与力学性能关系的有效方法。晶体塑性模型被开发出来用以描述高周疲劳加载下的滑移活动行为和损伤形成。 如图13所示, CHENG J 等基于微观结构的高周晶体塑性有限元模拟, 提出了一种效率更高且实施更加简单的循环跳跃加速方法, 首先采用常规CPFE 方法作为参考和循环跳跃法进行荷载控制循环塑性模拟的位移比较, 发现加速结果与参考结果吻合较好。该团队将电子背散射衍射 (Electron Backscatter Diffraction, EBSD) 图像得到的Al-Cu-Mn-Zr (ACMZ) 铝合金的微观结构转化为了有限元模型, 通过比较局部应力和内部变量的演变来检验循环跳跃方法的准确性。图14c和图14d分别描述了参考结果和循环跳跃结果在104次循环下的应力分布, 图14e为两种方法绝对误差, 整个微观组织的最大绝对误差仅为1.5MPa。图14f是通过平均绝对误差所绘制为有效周期的函数。在较高的循环次数下, 误差仍小于0.6MPa, 小于施加应力的0.5%, 证明了该模型的可靠性。 图13 常规CPFE 方法与循环跳跃法载荷控制循环塑性模拟的位移比较 图14 ACMZ 微观结构及模拟结果对比图(a) EBSD 图像 (b) 有限元网格 (c) CPFE 法模拟结果(d) 循环跳跃加速法模拟结果 (e) 两种模拟结果的绝对误差 (f) 荷载误差图 3.4.3 分子动力学模拟 分子动力学模拟 (Molecular Dynamics, MD)基于分子动力学算法, 模拟原子或分子之间的相互作用和运动, 用于对材料进行的疲劳性能仿真。MD 利用计算机数值求解分子体系运动方程的方法,模拟研究分子体系的结构与性质。该技术不仅可以得到原子的运动轨迹, 还可以观察到原子运动过程中各种微观细节。分子动力学模拟材料分子之间的相互作用, 考虑结构中弹性变形和非弹性变形的过程。这些方法适用于预测微小尺度下材料的疲劳行为。通过对模拟轨迹进行聚簇等分析, 可获得分子间各状态相对稳定构型, 并通过分析分子间相互作用模式和相互作用能等来鉴定分子间作用机理。 多晶铜在不同疲劳状态下的变形机制及位错密度变化不同, SAINATH G 等采用分子动力学方法研究了晶粒尺寸为5.4 nm 的多晶铜的疲劳变形行为。图15 为分子动力学模拟结果, 表明了在循环载荷作用下的变形行为主要是包裹层错的部分位错滑移。在较高的循环次数下, 出现晶界迁移导致大晶粒粗化而牺牲小晶粒。其中红色原子代表晶界、 位错核和表面原子。蓝色原子代表完美FCC原子, 青色原子代表HCP原子。 图15 纳米多晶Cu在3%应变下第1次(a)、 第5次(b) 和第10次(c) 循环塑性变形 综上所述, 高周疲劳寿命的预测可以通过经验法、 确定性分析法、 累计损伤法和数值模拟法等多种方法来实现。需要注意的是, 高周疲劳性能预测是一个复杂的问题, 涉及到材料的微观结构、 金属内部缺陷、 应力分布和载荷历史等多个因素的相互作用。因此, 选择合适的预测方法需要考虑材料特性、 可用数据和预测准确度。结合多个方法和综合分析, 可以提供更准确的高周疲劳性能预测结果。 4.总结与展望 通过对金属材料高周疲劳性能及模拟的研究进行综合梳理, 对材料表征方法、 仿真模型和实验技术的最新发展进行了总结, 了解到金属高周疲劳性能及模拟的研究已经取得了一系列重要进展。这些研究不仅揭示了金属材料微观结构与高周疲劳性能之间的关系, 还开发了精确可靠的仿真模型, 能够预测金属材料在高周循环载荷下的疲劳行为。 然而金属材料高周疲劳性能及模拟研究仍存在一些问题和挑战, 需要建立全面和准确的材料性能数据库。此外, 现有的模拟方法和实验技术在复杂应力状态下的适用性和可靠性仍有待改进。未来的研究方向将集中在以下几个方面, 以进一步推动金属高周疲劳性能及模拟的发展。 (1) 改进材料表征技术, 尤其是在微观结构表征方面, 包括应用先进的显微观察技术和原位测试方法, 以更深入地理解微观结构与高周疲劳性能之间的关系。 (2) 发展更准确和可靠的仿真模型, 尤其是考虑复杂应力状态下的行为。这包括更准确地建模材料的塑性变形、 损伤积累和疲劳断裂过程, 以预测材料在高周循环载荷下的寿命。 (3) 建立全面和准确的材料性能数据库是关键。这需要加强数据收集和共享, 并建立统一的评估方法和标准, 以便研究人员可以更好地利用这些数据进行高周疲劳性能的预测和比较分析。 (4) 针对金属材料在实际工程中的应用需求,需要将高周疲劳性能及模拟研究结果应用于工程实践。这涉及到开发适用的损伤评估和寿命预测方法,以指导结构设计和优化。 (5) 通过进一步研究和改进, 金属高周疲劳性能及模拟的应用将为工程领域提供更加准确可靠的材料性能信息, 从而提高工程结构的可靠性和寿命,推动技术的发展与创新。
(a)Al2O3夹杂物图 (b)Al2O3夹杂物剥离图 (c) 含Al2O3夹杂物的疲劳断裂示意图(d) TiN夹杂物图(e) TiN 夹杂物剥离图(f) 含TiN夹杂物的疲劳断裂示意图
(a)104次后晶界处产生的位错 (b) 104次后位错滑动 (c) 104次后位错堆积(d) 106次后晶粒内部的位错胞 (e) 106次后位错胞放大视图 (f) 106次后位错缠结
(a) 疲劳裂纹扩展速率与裂纹长度关系 (b) 随载荷类型及试样尺寸变化的S-N 曲线(c) 小试样数据预测的铁路轴P-S-N曲线 (d) 球墨铸铁的P-S-N曲线
免责声明:本网站所转载的文字、图片与视频资料版权归原创作者所有,如果涉及侵权,请第一时间联系本网删除。
官方微信
《腐蚀与防护网电子期刊》征订启事
- 投稿联系:编辑部
- 电话:010-62316606
- 邮箱:fsfhzy666@163.com
- 腐蚀与防护网官方QQ群:140808414



































