在电化学阻抗系列,就电化学阻抗是什么,如何测试,测试数据,等效电路拟合,拟合参数分析等进行了分析。最终我们落实到最终的分析上,需要进行综合归纳、分析,以达到电化学阻抗测试的预期目的。电化学阻抗到底如何进行分析呢?也没有哪篇文章、资料或者是书籍进行一个明确说明。但无论是对于文章撰写、报告撰写还是自行结果分析,科学、详细、条理、具体且深入的电化学阻抗结果分析就变得尤为重要。因此,本文就电化学阻抗结果如何分析进行详细解读。
将电化学阻抗结果分析总结为“三步走”分析法——基础数据解读、等效电路选择与解析、拟合参数深入解读。
9.1 电化学阻抗结果都有什么?
要想进行全面且深入的电化学阻抗分析,必须要明确电化学结果都有什么。
电化学阻抗的测试结果实际主要包括三部分内容:基础数据(Nyquist+Bode图)、等效电路图和延伸数据(拟合数据)。
9.1.1 基础数据(Nyquist图和Bode图)
在前面推文“电化学阻抗系列5:电化学阻抗数据解读”(电化学阻抗系列5:电化学阻抗数据解读)中就电化学阻抗的基础数据进行了分析,具体内容可以访问此推文。
实际电化学阻抗测试结果主要是频率、实部、虚部、相角构成的向量点,这些数据作为基础数据,在结果中最终以Nyquist图和Bode图的形式展示给我们,里面蕴含了界面的基本数据和信息。
9.1.2 等效电路图
在前面推文“电化学阻抗系列 6:电化学交流阻抗谱的等效电路拟合(定性+定量分析)”(电化学阻抗系列 6: 电化学交流阻抗谱的等效电路拟合(定性+定量分析))和“电化学阻抗系列7:电化学阻抗等效电路拟合实操详解(后附软件)”(电化学阻抗系列7:电化学阻抗等效电路拟合实操详解(后附软件))就等效电路图基本原理、拟合原因等进行了分析。
等效电路作为电化学阻抗结果中的重要组成部分,其也是电化学阻抗结果和界面/电化学反应联系的桥梁,在进行分析的时候需要进行必要解析。
9.1.3 延伸数据(拟合数据)
我个人认为拟合参数是电化学阻抗最核心的结果,也可以认为是电化学阻抗的延伸数据结果。其是在基础数据和等效电路图的基础上得到的,具体的内容和信息可以参考前面推文“电化学阻抗系列 8:等效电路图拟合参数详析”(电化学阻抗系列 8:等效电路图拟合参数详析)。
要想明确各个元器件的具体参数,界面的具体组成以及具体的电化学反应,不仅仅需要进行定性分析,还必须要进行定量分析。定量分析的核心支撑就是拟合参数。前面推文中就涉及到的具体参数、化学意义和内涵进行了详细分析。
9.2 电化学阻抗结果分析案例详析
本文选用Corrosion Science中的高被引论文“Ramezanzadeh B , Niroumandrad S , Ahmadi A ,et al.Enhancement of barrier and corrosion protection performance of an epoxy coating through wet transfer of amino functionalized graphene oxide[J].Corrosion Science, 2016, 103(Feb.):283-304. ”作为案例就电化学阻抗结果的分析进行详细分析。
DOI:10.1016/j.corsci.2015.11.033.
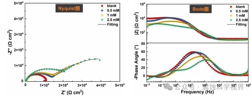
9.2.1 看图说话(基础数据解读)
首先必须要说明Nyquist图和Bode图中体现的关键信息,其实对于不同领域、不同研究方向关注的点可能存在区别。上面给出了Nyquist图和Bode图分析的实际案例,结合该案例以及自己的经验说明分析要点包括哪些:
(1)Nyquist图:
▶对称性与不对称性:Nyquist图中的半圆是否对称可以提供重要线索。对称性良好的半圆常常意味着单一、均匀的反应过程;而不对称性则可能暗示并行反应、不同活性区域或表面不均匀性。
▶半圆形态和数量:半圆的半径通常代表电荷转移阻抗(Rct),即电荷在界面处的传递难易程度。单一半圆通常表明一个电荷转移过程,而多个半圆或复合结构可能暗示多重界面反应或不同的电极过程。
▶高频与低频区域特征:
高频区域(靠近原点):通常反映溶液电阻,表示电解液的导电性及其均匀性。
中频区域:出现的半圆往往代表电荷转移过程,常用来评估电极/电解液界面的特性。
低频区域:出现线性趋势或“尾巴”状结构,通常代表扩散控制过程(如沃伯格阻抗),有助于分析扩散现象和控制步骤。
▶特殊形态:比如线性段(扩散阻抗):在低频区域,图形会向右上方呈线性增加,通常表示扩散过程(如沃伯格阻抗),它与扩散控制过程相关。
按照上述关键点,依次进行分析,阐明基本的电化学过程。
(2)Bode图:
▶阻抗模值(|Z|)与频率关系:
高频区域:通常观察到较低的|Z|值,主要反映溶液电阻或体系的电解质导电性。
中频区域:若出现平坦平台,则该部分通常对应电荷转移过程,模值的大小与电荷转移阻抗相关。
低频区域:|Z|值上升,往往与扩散控制过程相关(如沃伯格阻抗),通常表示反应或扩散的限制步骤。
▶相位角(Phase Angle)与频率关系:
高相位角:若在中频区域中相位角接近90°,通常表示良好的电容行为,这意味着电极/电解质界面具备显著的电容特性。
低相位角:在高频或低频区域相位角趋近于0°,表明体系阻抗成分主要为纯电阻性(如溶液电阻或扩散电阻)。
▶频率依赖特征:
在高频、中频、低频三个区域中,相位角的变化揭示了不同反应过程的时间常数和电荷传递机制。Bode图通常能够直观地展示电容-电阻并联网络的行为。
最大相位角与扩散行为:在中频区域中相位角的峰值越高,通常代表了电极表面的均匀性和电容性;若出现明显的低频段尾部拖曳(低频线性增加的趋势),则表明扩散过程可能受到控制或有较强的限制作用。
▶多重时间常数的识别:Bode图中的多重峰值表示系统中有多种反应机制或并行反应。这在多重界面反应或多层结构体系中较为常见,能够区分不同的界面或层次的阻抗特性。
这些要点帮助我们在Bode图中解读不同频率区域的电化学特征,进一步理解电极界面特性、扩散效应和电荷传递过程。所以,我们在详细分析的时候需要根据我们的体系依次进行解读。
9.2.2 等效电路图选择与解析
等效电路图的选择实际是依据基础数据以及Nyquist图和Bode图的形态进行的,所以我们在实际SCI论文的撰写以及电化学阻抗的结果解析中,必须要为什么选择该等效电路图进行简要说明。
同时,需就等效电路图进行详细说明,尤其是涉及到的电化学元器件进行说明。甚至在部分研究中,需要就电化学元器件的化学意义以及和界面之间的关系进行说明。比如:
单一半圆结构:对于Nyquist图中只有一个半圆的情况,通常选择简单的电阻-电容(R-C)并联电路。该电路模型常用于描述单一电荷转移过程,如电极/电解质界面的单层电荷转移。
双层或多层结构:若Nyquist图中出现多个半圆(或多个相位角峰值),表示体系中有多种反应机制或界面过程。可以采用串联的多R-C单元模型,分别对应不同的反应或扩散层。
扩散控制过程:若在低频区域观察到明显的“尾巴”或线性上升趋势,则表明有扩散控制过程。此时需要引入沃伯格阻抗元件(W),以反映扩散阻抗的影响。
不均匀界面:对于电极表面不均匀或具有多重时间常数的体系,常采用恒相位元件(CPE)代替理想电容元件,以更准确地拟合实际的界面阻抗行为。
9.2.3 拟合参数深入解读
前面已经说明了,我认为电化学阻抗的拟合数据是整个电化学阻抗最核心的内容,所以需要就拟合参数进行深入解读。一是需要就参数的大小、变化等进行分析和说明;二是需要就参数的电化学意义进行说明;三是和电化学体系、反应体系结合,进行深入分析。通过拟合参数的深入解读有助于分析电极过程、腐蚀特性及界面状态。通过监测和解读参数的变化,研究者可以揭示电极反应的动态过程、缓蚀剂作用机理以及腐蚀产物的生成过程。
这里不再进行赘述,若要明确电化学参数的具体如何分析,请参考前一篇推文“电化学阻抗系列 8:等效电路图拟合参数详析”。
本文主要介绍电化学阻抗结果分析和论文撰写的主要思路,其中涉及到的一些基础知识、理论等,请移步阅读前面几篇推文,里面进行了十分详细的分析和解读。
免责声明:本网站所转载的文字、图片与视频资料版权归原创作者所有,如果涉及侵权,请第一时间联系本网删除。
官方微信
《腐蚀与防护网电子期刊》征订启事
- 投稿联系:编辑部
- 电话:010-62316606
- 邮箱:fsfhzy666@163.com
- 腐蚀与防护网官方QQ群:140808414












