随着“一带一路”和“海洋强国”等重大战略的深入推进,沿海地区及海上重大装备设施面临着空前严峻的海洋环境 挑战。深入研究海洋大气腐蚀行为,对于延缓腐蚀过程、确保设施安全运行以及防止重大安全事故和经济损失具有至关重要 的意义。
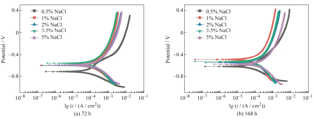
北京科技大学腐蚀控制系统工程研究所在《中国表面工程》2024年第2期发表研究论文《基于腐蚀大数据的碳钢海洋大气腐蚀行为》,以 Q235 碳钢作为研究对象,基于腐蚀大数据技术,通过周期浸泡加速试验获取实时连续的腐蚀数据,研究环境因子 Cl−、HSO3−及 pH 值对碳钢海洋大气腐蚀行为的影响。
01 引用格式
02 论文创新点
03 重要结论
04 前景与应用
05 课题组简介 论文主创 杨国威 北京科技大学新材料技术研究院,腐蚀控制系统工程研究所博士,研究方向腐蚀大数据及耐蚀钢开发等,从事材料腐蚀理论研究与耐蚀新钢种开发工作,担任国家材料腐蚀与防护科学数据中心数据部部长,致力于腐蚀数据分析算法开发、网站建设及产品应用等。 团队简介 北京科技大学腐蚀控制系统工程研究所 北京科技大学腐蚀控制系统工程研究所现有国际腐蚀理事会(ICC)理事1名、世界腐蚀组织(WCO)董事会董事1名、国际腐蚀工程师协会(NACE)亚太主席1名、国际腐蚀领域顶级期刊《Corrosion Science》顾问编委和主编各1名、Nature系列刊物《njp: Materials Degeneration》主编1名。2015年11月26日在Nature发文首次提出了“腐蚀大数据”的原创概念,这是我国腐蚀与防护方向,也是世界华人腐蚀研究者首次在Nature刊物上发表研究论文,目前已被SCI他引500余次。“腐蚀与防护”方向近年来发表高水平论文超过1000篇,被60多个国家/地区、2000多个研究机构、超过480个期刊及会议所引用和评述16000多次。世界上最大的腐蚀组织NACE国际先后授予北京科技大学腐蚀与防护中心杰出团队奖(2016年度)、技术贡献奖(2017年度)和杰出研究奖(2019年度)。研究所腐蚀与防护方向在“十三五”期间共承担了12项国家重点研发计划、48项国家自然科学基金委各类项目以及400多项企事业单位科技项目,是我国所有“腐蚀与防护”研究机构中承担国家级课题最多的机构。研究所围绕国家材料环境腐蚀平台的建设与运行工作,长期以来在野外科学观测研究站建设、材料腐蚀数据积累与共享服务、材料环境腐蚀信息化建设、材料环境腐蚀标准规范建设和人才队伍培养等方面开展了大量的工作,为国家经济建设和重大工程建设提供了重要的支撑。
免责声明:本网站所转载的文字、图片与视频资料版权归原创作者所有,如果涉及侵权,请第一时间联系本网删除。
官方微信
《腐蚀与防护网电子期刊》征订启事
- 投稿联系:编辑部
- 电话:010-62316606
- 邮箱:fsfhzy666@163.com
- 腐蚀与防护网官方QQ群:140808414













