土壤电阻率是埋地油气管道杂散电流干扰和阴极保护研究的重要参数,直接影响了埋地管道杂散电流干扰程度和阴极保护效果,也是划分土壤腐蚀性的关键指标之一,一般情况下土壤电阻率越低,土壤腐蚀性越强。
目前,埋地管道杂散电流干扰研究往往会将土壤电阻率作为恒定值进行处理,忽略了交流和直流杂散电流对其产生的影响。
实际上,土壤在遭受直流、交流、冲击等不同的激励作用时,由于土壤直流极化、激发极化、电离等原因,土壤电阻率在不同的激励类型和强度下存在一定的差异。
研究交流和直流电流对土壤电阻率的影响机制和规律有利于更准确评价埋地管道的杂散电流干扰风险和阴极保护系统有效性。
1 土壤导电模型
目前,人们广泛接受的土壤导电模型是RHOADES等在1993年提出的三元导电模型。在非饱和黏性土壤中,存在3种导电途径,如图1所示。
第一种是通过表面直接接触的固相颗粒导电;
第二种是孔隙水液相导电途径,通过孔隙水溶液中离子在外电场作用下的定向移动实现导电;
第三种是固液相串联形成的导电路径,土壤中含有带电的胶体微粒,胶粒微粒由胶核、吸附层和扩散层等三部分组成,胶核表面吸附一层离子,称为内吸附层,同时还吸附有部分相反电荷等离子,称为外吸附层,由于内吸附层的离子数目多于外吸附层,所以土壤胶粒是带电粒子,由于扩散层中离子的活性大于外吸附层中离子的活性,因此其极易与土壤溶液中的离子进行交换,通过固/液界面交换性离子实现导电。
图1 非饱和黏性土中电流流通途径示意
早在1942年,ARCHIE等在第一种导电途径的基础上首先提出了适用于饱和无黏性土或纯净沙岩的电阻率模型,如式(1)所示:
式中:ρ为实测土壤电阻率,Ω·m;ρw为孔隙水电阻率,Ω·m;a为土性参数;m为胶结系数;n为孔隙率,%。
在饱和无黏性土或纯净沙岩条件下,第一种和第三种导电路径可以忽略,由于其未考虑土壤胶体的导电性,此模型不适用于含黏土矿物的土壤和非饱和土壤。
在ARCHIE研究的基础上,KELLER等提出了适用于非饱和无黏性土的电阻率模型,如式(2)所示:
式中:Sr为饱和度,%;p为饱和度系数。
其中,定义F=an-m为土壤的结构因子,其物理含义为土壤电阻率与孔隙水电阻率的比值,反映土壤的结构组成、孔隙情况等信息,与土壤的颗粒形状、长轴方向、孔隙比、胶结指数和饱和度等参数有关。
WAXMAN等在第一种和第二种导电途径的基础上,考虑了土壤颗粒表面的导电影响,假设土壤导电路径由孔隙水液相导电和固体颗粒导电路径并联而成,其等效电路如图2所示,其中,RW表示孔隙水液相导电路径电阻,RS表示固体颗粒导电路径电阻。
图2 WAXMAN土壤导电模型等效电路
提出了适用于非饱和黏性土的电阻率模型,如式(3)所示:
其中,采用表观结构因子Fa替代了ARCHIE模型中定义的结构因子F,两者的函数关系如式(4)所示:
式中:B为双电层中与土壤颗粒表面电性相反电荷的电导率,S/m;Q为单位土壤孔隙中阳离子交换容量;F为土壤结构因子;Fa为表观土壤结构因子。
由于ARCHIE和WAXMAN模型均未考虑第三种土壤导电途径,存在一定的理论局限性和不合理性。MITCHELL三元导电理论的等效电路模型如图3所示,其中,RW表示孔隙水液相导电路径电阻,RS表示固体颗粒导电路径电阻,R′W为第二种导电途径上液相总电阻,R′S为第二种导电途径上固相总电阻,Rd1~Rdn是土壤结构不均匀性导致的n层电介质等效电阻,Cd1~Cdn是n层电介质等效电容。
图3 MITCHELL土壤导电模型等效电路图
在此模型的基础上,聂向晖等提出了如式(5)所示土壤电阻率模型:
式中:R为单位体积土壤的电阻,Ω;Y为单位体积土壤的电导,S;YW为孔隙水液相导电路径电导,S;YS为固体颗粒导电路径电导,S;Yi为i层电介质等效电导,S。
土壤导电主要是孔隙水液相和固/液界面上交换性离子导电,在高含水条件下,土壤主要通过孔隙水液相导电,固/液界面上交换性离子导电可以忽略不计。
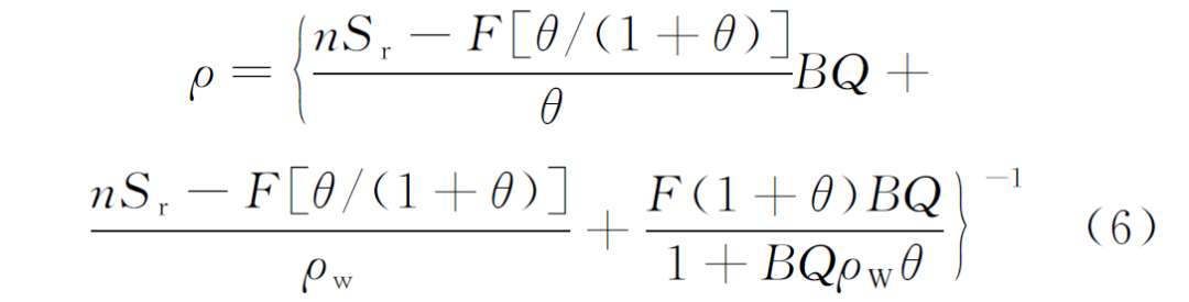
查莆生等在MITCHELL三元导电模型的基础上推导出非饱和黏性土的电阻率结构模型公式,如式(6)所示,通过该模型结合相关的试验研究结果,探讨了合肥膨胀土的基本特征。
式中:F为土壤结构因子;θ为固液并联部分的水-土体积比。
由式(1)~(6)可知,土壤电阻率的影响因素包括饱和度、孔隙水离子浓度、离子电迁移率、温度、土壤类型、颗粒形状与排列方向、渗透性和黏性等。在不同激励电流条件下,孔隙水离子浓度、离子电迁移率、温度、饱和度等参数都存在差异,电阻率也随之受到不同程度的影响。
值得注意的是,由于土壤不均匀性,土壤中存在多层电介质,土壤在直流电作用下存在显著的极化和吸收现象,众所周知,采用Wenner四电极法测量土壤电阻率时,不宜采用直流电源以避免电极极化导致的测量误差,实际上除了电极极化,土壤自身的极化现象也不容忽视,这主要是土壤中多层电介质的夹层极化。
假定土壤中含有两层电介质,其等效电路如图4所示。
图4 土壤双层电介质极化等效电路
当开关S闭合瞬间(t→0),电压从0迅速上升至U,电阻支路相当于开路,此时两层电介质上的电压与电容成反比,见式(7):
当t→∞时,即电路完全稳定时,电容支路相当于开路,此时两层电介质上的电压与电阻成反比,见式(8):
对于均匀的单一电介质土壤,Rd2/Rd1=Cd2/Cd1,即对于均匀土壤,施加外电压后不存在电荷重新分配的过程。
但对于实际土壤来说,一般情况下式(7)≠式(8),假设Cd1>Cd2,Rd1>Rd2,则t→0时,U1<U2;而t→∞时,U1>U2,随着t的增加,U1逐渐增大,而U2逐渐减小,Cd2在开关闭合瞬间获得的部分电荷通过Rd2释放,而Cd1则通过Rd2从电源再吸收一部分电荷,称为吸收电荷,两层电介质间在外电场的作用下存在一个电荷重新分配的过程,此过程进程相对缓慢,土壤均匀性越差,电荷重新分配所需的时间就越长,可达几十分钟,吸收电荷也越多,以上现象即为多层电介质的夹层极化现象。
因此,在直流电压作用下,土壤中的电流i=ia+ig,其中ia为吸收电流,ig为不随时间变化的稳定电流,可通过式(9)~(11)计算,对应的电流和电阻率变化曲线如图5所示。
式中:τ为电介质夹层极化时间常数。
图5 直流电压作用下土壤电流和电阻率变化趋势
2 直流电流的影响
从土壤电阻率测试的角度阐述直流电流对土壤电阻率的影响过程,测量电路如图6所示,土壤箱两侧面为平板电极,通过金属螺栓引出测试端子,分别在土壤箱1/3和2/3长度处设置两个可自由抽动的黄铜探针,用以测试1/3土壤箱长度范围内的土壤压降,采用直流电源供电,利用WENNER四电极法测量土壤电阻率。
图6 土壤电阻率测量电路
为了便于理解,将土壤箱中的土壤分为电极区和非电极区。电极区的电极反应使得该区域孔隙溶液的离子浓度增大,通过电迁移和扩散作用向非电极区移动;非电极区内,孔隙溶液离子在外电场的作用下定向移动至电极区;土壤胶粒则在外电场作用下发生夹层极化效应。
在此过程中,逐渐增大直流电流,延长作用时间,土壤电阻率会呈现不同的变化趋势。
当直流电流I很小时,离子从非电极区定向(电)迁移至电极区的速度与从电极区迁移和扩散至非电极区的速度相当,土壤胶粒双电层的极化效应也较弱,土壤电阻率基本保持不变。
增大直流电流,延长作用时间,当非电极区离子电迁移的速度大于电极区离子电迁移和扩散的速度时,非电极区内离子含量降低;在外加电场力的作用下电极附近存在明显的离子富集,且Cl-和Na+的迁移存在明显的差异,Cl-迁移较快而Na+则相对较慢,这主要是因为Na+带正电荷,与土壤胶粒有相互吸附作用,阻碍了迁移;除了土壤,在混凝土结构中也同样存在外电场导致的离子富集现象,研究表明外加电场会导致混凝土中的Ca、Mg、Al等离子含量大幅度降低,引起水泥水化产物的分解;另有研究发现Na+和K+在钢筋表面富集,导致了钢筋与混凝土的结合强度降低。同时,土壤胶粒在直流电作用下的极化效应显著增大,离子电迁移和土壤极化的综合作用使得电阻率增大。
进一步增大直流电流,土壤内部的电场强度也随之升高,当电场强度大于土壤电离强度时,土壤胶粒和孔隙水中电解质发生电离,带电粒子增多,离子电迁移率增大,土壤电阻率降低。同时,在高直流电流密度和长时间作用下,土壤温度升高。需要注意,在大电流长时间作用下,土壤中的水分会逐渐蒸发,严重时土壤会发生板结开裂。因此在研究高压直流接地极放电对管道的影响时,应考虑大电流持续作用引起的土壤水分蒸发导致的土壤电阻率显著增长;而由于雷电流的作用时间极短,其高幅值电流引起的土壤水分蒸发效应相对较弱。
由以上内容可知,在直流电作用下,土壤电阻率呈现一种非线性变化的特性,可近似用图7和式(12)所示模型进行表征,其对电力系统接地装置冲击性能、管道阴极保护有效性和杂散电流干扰风险评价存在一定的影响。
图7 土壤电阻率的直流电非线性模型
3 交流电流的影响
与直流电不同,在利用WENNER四电极法测量土壤电阻率时,采用交流电激励可避免电极和土壤的极化效应,从而有效降低测量误差。
周蜜等分别对装有含水率15.05%黏土样品的土壤盒两端电极施加50 V恒定电压的直流和交流信号,作用时间为15 min,结果表明采用交流电信号测试可以得到稳定的回路电流和土壤电阻率,而直流电测试回路中电流随时间增加而逐渐降低,土壤电阻率相应逐渐增大。
陈文广等采用0~250 V的交流调压器和图6所示测量回路,分别测试了含水率为10.4%、26.3%和35.6%的黏土试样的电阻率,当交流电流密度小于1.02 A/m2时,土壤电阻率变化幅度均小于1%。进一步增大交流电流,与直流电类似,离子电迁移率、电离程度和温度随之增大和升高,土壤电阻率降低。
由以上内容可知,在交流电作用下,土壤电阻率同样呈现一种非线性变化的特性,与直流电模型相比,差异在于无电阻率升高的区段,可近似用图8和式(13)所示模型进行表征,其中J0为电阻率下降区段的起始交流电流密度,与土壤含水率有关。
图8 土壤电阻率的交流电非线性模型
相关研究表明:含水率10.4%、26.3%和35.6%的黏土对应的J0值分别为1.026,7.039,9.532 A/m2;含水率4.0%、13.4%和16.3%的砂土对应的J0值分别为0.18,0.73,1.37 A/m2,其随含水率升高而增大。
除了交流电流幅值,交流电频率对土壤电阻率也存在一定的影响。这主要由土壤导电粒子的电导频散效应引起。
土壤孔隙电解质溶液中,在静电力的作用下,任何一个中心离子都是被电荷极性相反的球形离子氛所包围,中心离子在外界电场作用下向极性相反的电极处移动,而中心离子外围的离子氛运动方向则相反,导致离子氛的对称性遭到破坏,不对称的离子氛对中心离子的移动产生一种静电阻滞力,称为松弛效应,在交流电作用下,尤其是高频交流电,其周期可能比离子氛的松弛时间还短,此时离子氛的对称性来不及发生较大的改变,导致对中心离子的静电阻滞力减弱,离子的电迁移率相应提高,表现为电解质的电阻率降低,该效应称为电解质的电导频散效应。因此,一般来说,土壤电阻率随交流电频率增大呈现降低的趋势。
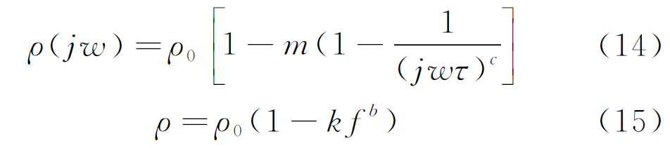
目前,对于土壤电导频散效应公认的模型是Cole-Cole模型,如式(14)所示,若只考虑频率与电阻率的关系,式(14)可以简化成式(15):
式中:ρ0为直流电下的电阻率,Ω·m;ω为角频率,rad/s;m为充电率,%;τ为时间常数;b,c为与交流电流频率相关的系数。
相关学者给出了黏土和砂土的频散拟合函数参数,4种土壤中除3.8%含水率的砂土外,其他3种土壤的k值均很小,对土壤电阻率的影响也较小,尤其是在低频交流电工况下。当频率在10 kHz内时,黏土的电阻率下降比例小于5%,其对3.8%含水率砂土的影响较大,电阻率下降比率可达20%。
雷电流作为一种特殊的交流电流,其暂态、高幅值和宽频的特性会对土壤电阻率产生不同的影响。
雷电流经杆塔接地系统向土壤中散流时,接地装置周围土壤中的电流密度急剧升高,电场强度随之增大,当大地中的电场强度超过一定值,但还没有达到土壤的临界击穿强度时,土壤电阻率随电场强度的增加而下降,当冲击电流继续增大使得土壤中电场强度超出临界击穿强度Ec时,在接地体的周围出现存在土壤电离现象的火花放电区域;随着冲击电流强度进一步增大,土壤中的电场强度大于临界电弧放电强度Es,此时火花区域区域逐步发展为沿着不规则土壤颗粒表面的离散电弧通道,形成电弧区,即在雷电流作用下,接地装置周围的土壤中会产生如图9所示的4个区域:电弧区、火花放电区、半导体区和恒定电导区。
图9 雷电流作用下接地装置周围土壤4个区域
对于电弧区,其电阻率可设定为金属导体的电阻率;对于火花放电区,依据对大量冲击特性试验数据的分析结果,可取7%ρ0;对于半导体区,土壤电阻率为区域内电场强度的函数,即ρ=f(E);恒定电导区,电阻率为基准电阻率ρ0,保持不变。
4 土壤电阻率的温度修正
如前所述,土壤在故障或雷电等大电流短时作用或稳态电流长时间作用下,发热量增大,当超过土壤热容量时,土壤温度升高,在土壤水分无大量蒸发的情况下,土壤电阻率随温度升高而降低。
不同温度下测量的土壤电阻率往往需要修正到某一参考温度(一般采用25 ℃)。USDA(美国农业部)在1954年发布了3~47 ℃土壤浸出液电导率转换至25 ℃时的修正因子,在此基础上,后来的学者基于对USDA和其他补充土壤浸出液试验数据的拟合分别建立了不同形式的土壤电阻率温度修正模型,如RHOADES模型、SHEETS and HENDRICKX模型、L?CK模型、CAMPBELL模型、KELLER & FRISCHKNECHT模型、HAYASHI模型等。
根据修正因子的数学形式,可将以上温度修正模型划分为4类,即比率模型,指数模型,多项式模型和乘幂模型。
需要注意,以上模型中除了乘幂模型外,其他模型均建立在土壤浸出液或电解质溶液等非土壤介质的基础上。
由于土壤电阻率除了受孔隙水溶液电阻率的影响外,还受土壤胶粒电阻率的影响,且土壤浸出液的黏性、离子浓度在离开土壤后也会发生改变,进而进一步影响电阻率,因此,在以实际土壤为试验介质的电阻率温度修正模型研究上,BESSON等基于6种不同成分土壤在5~20 ℃下建立了BESSON模型,但其在20 ℃以上情况下的修正效果不佳。
周蜜等选取了珠三角地区具有代表性的砂土、砂粉土、粉土、粉壤土、黏壤土5种不同质地各3种土壤样品,采用四电极法和交流伏安法开展了5~45 ℃的土壤电阻率温度特性试验,结果表明目前大多数基于土壤浸出液或电解质溶液提出的土壤电阻率修正模型对实际土壤数据的修正效果并不理想,在实际土壤电阻率测试数据的基础上,作者通过非线性回归分析方法分别建立了比率、指数、乘幂和多项式4种形式的电阻率温度修正模型,结果表明乘幂模型不适合在5~45 ℃宽温度范围内进行电阻率修正,建立的比率模型、指数模型和多项式模型对土壤电阻率温度修正效果较好。
结束语
总结了土壤导电模型、土壤电阻率在交直流电流作用下的非线性变化特性及温度修正模型的研究进展,目前,交直流电流对土壤电阻率的影响尚处于探讨阶段,有待于进一步深入的研究:
土壤非线性特性应用技术研究:目前考虑土壤电阻率非线性特性的应用技术研究较少,现有的研究也主要集中在接地系统的冲击特性上,且主要研究方法也是采用数值模拟仿真方法,试验数据缺乏。将土壤非线性特性应用于埋地管道杂散电流干扰层面的研究鲜有报道,有待进一步的探索;
暂态大电流冲击作用下土壤电阻率模型:暂态大电流冲击作用下的土壤电阻率模型还不成熟,理论体系未达成共识,且现场和室内模拟试验数据体量远远不足;
土壤电阻率温度修正模型:目前各学者的研究均存在一定的局限性,研究结果也仅适用于某些特定的土壤类型和成分,温度对土壤电阻率影响机制、主控因素等方面未得到系统诠释,普适性的修正模型也未建立。
免责声明:本网站所转载的文字、图片与视频资料版权归原创作者所有,如果涉及侵权,请第一时间联系本网删除。
官方微信
《腐蚀与防护网电子期刊》征订启事
- 投稿联系:编辑部
- 电话:010-62316606
- 邮箱:fsfhzy666@163.com
- 腐蚀与防护网官方QQ群:140808414






















