随着中国深海和远海战略的实施,大批先进舰艇下水,国产航母和大量舰载机也投入服役。相比陆地航机,舰载机航空发动机和燃气轮机热端部件在服役过程中的环境条件异常苛刻,除发动机/燃气轮机热端零部件所承受的高温、高压、高转速等载荷环境外,还承受海洋高盐雾、高湿度等腐蚀环境的影响。涡轮转子部件是舰载机航空发动机/燃气轮机中服役环境最恶劣的部件,不仅要在高温(600~1 300℃)条件下承受巨大的交变载荷,高温燃气和海洋大气中的热腐蚀也会加剧其损伤程度,涡轮转子部件因此成为故障率最高的工作部件之一。如图1所示,涡轮叶片因在燃气-海洋大气耦合环境中,在高温、高转速载荷下发生的热腐蚀-疲劳失效[1,2,3,4,5,6]。相比于单一机械载荷作用下的疲劳失效,航空发动机和燃气轮机热端部件热腐蚀-疲劳失效机理更为复杂,对热腐蚀-疲劳寿命预测难度更大。目前,国内外对航空发动机和燃气轮机热端部件热腐蚀-疲劳失效机理有了初步的认识,针对热端部件材料开展了热腐蚀机理研究、热腐蚀-疲劳失效机理研究以及热腐蚀-疲劳寿命预测,并取得了初步的成果。本文针对过去20年在航空发动机和燃机轮机热端部件热腐蚀-疲劳的研究进展进行梳理和总结归纳,以期促进燃气-海洋环境耦合作用下航空发动机和燃气轮机热端部件结构完整性评定方法的发展,提高航空发动机和燃气轮机的安全性和可靠性。Fig.1 Hot corrosion-fatigue failure of turbine blades镍基高温合金以其高温下优异的疲劳性能、蠕变性能和持久性能[7,8,9],成为航空发动机与燃气轮机涡轮叶片、涡轮盘等热端部件的主要材料[10,11,12]。同时,为了降低涡轮叶片表面温度和提高其抗氧化/腐蚀性能,在涡轮叶片表面通常喷涂有金属涂层或热障涂层(Thermal barrier coating,TBC)[13,14]。发动机在服役过程中,燃料中的杂质S在燃烧时会产生SO2、SO3等硫化物,与海洋大气环境中NaCl反应后会在合金表面沉积一层Na2SO4熔盐膜,形成的硫酸盐等沉积物导致涂层、高温合金发生热腐蚀,最终导致发动机热端部件过早失效[15,16]。高温合金热腐蚀是指沉积于合金表面的硫酸盐等沉积物破坏表面氧化物而加速合金腐蚀的行为[17]。对于高温合金来说,热腐蚀造成的破坏要比单纯高温氧化严重得多,其严重性受多因素影响,包括温度、沉积盐的种类和含量、环境条件、气体成分和合金成分等。根据环境温度高低,热腐蚀可分为低温热腐蚀和高温热腐蚀[18]。低温热腐蚀(560~815℃)一般在腐蚀盐的熔点之下发生,限制条件是需要较高分压的气相SO3,与涂层或者基体中的合金元素反应形成新的硫酸盐,这些硫酸盐与Na2SO4形成低熔点(熔点为540℃)的共晶化合物,使合金发生局部点蚀。高温热腐蚀(815~980℃)通常在腐蚀盐熔点以上温度发生,熔融态碱金属盐在基体表面沉积,然后逐渐破坏氧化层并消耗基体金属中的Cr,随着Cr元素耗尽,氧化速度加快,涂层或基体内部开始形成细微的孔洞,为腐蚀介质浸入提供通道。此时熔融状态的沉积盐使合金发生均匀腐蚀,高温热腐蚀的氧化层与合金基体交界处相对平整,界面下方有明显的硫化物形成。关于金属材料,尤其是铁基和镍基高温合金热腐蚀机理,Rapp[19]和Singh等[20]在21世纪初对其进行了总结。因此,本文主要针对近20年涡轮盘、涡轮叶片高温合金及涂层的热腐蚀机理进行综述。根据航空发动机和燃气轮机具体的服役工况和涡轮前温度,常用的涂层有渗铝涂层[21](如在叶片表面和内腔渗铝、渗铝硅涂层)、MCrAlY涂层[22]和热障涂层[23]等。高温合金叶片的典型热障涂层通常由金属黏结层和隔热陶瓷层组成,在高温合金叶片基体与高温燃气间提供隔热层和抗氧化层,从而保障叶片在较高的涡轮前温度下安全工作。金属黏结层可以提高基体合金与表面陶瓷层的结合强度,在高温服役过程中还可以形成一层致密的热生长氧化物(Thermally grown oxide,TGO)层,起到抗高温氧化的作用。目前常用的TBCs材料有:Y2O3稳定的ZrO2(YSZ、Y2O3的质量分数一般为7%~8%)、莫来石、Al2O3、YSZ+CeO2、La2Zr2O7、硅酸盐,其中YSZ是应用最广泛的TBCs材料[21,24,25]。由于涡轮叶片表面涂层在服役过程中承受温度高(>800℃),在燃气和海洋环境耦合工况下,涂层通常发生高温热腐蚀。取决于涂层类型、成分和微观结构,其热腐蚀产物也有所区别。对于金属涂层,其抗热腐蚀性能与涂层表面形成连续致密的Al2O3保护性氧化层密切相关。李玉春[26]采用埋盐法对K488合金及其表面渗铝和渗钴铝涂层的K488合金的热腐蚀行为进行研究,发现在900℃的25%NaC1+75%Na2SO4熔融盐中渗铝涂层表面生成了Al2O3和CoCr2O4的混合物,由于混合氧化物的存在使得耐腐蚀性提高,而渗钴铝涂层由于表面生成致密的Al2O3保护性氧化膜,表现出优异的抗热腐蚀性能。李艳明等[27]针对燃机叶片常用材料DSM11镍基高温合金,在其表面制备了Al-Si、Al和Co-Al这3种涂层,并通过在涂层表面涂盐(质量分数为5%NaC1+95%Na2SO4),研究了3种涂层在900℃的热腐蚀性能,如图2所示。研究结果表明,3种涂层的动力学曲线基本相似,均呈抛物线形,随腐蚀时间的延长,质量先增加后减少。产生上述质量变化的原因在于:在腐蚀实验前期(0~25 h),腐蚀产物与涂层结合紧密,腐蚀产物脱落较少;而在腐蚀的中、后期,表面腐蚀产物脱落,重新裸露出的内部涂层或基体进一步发生热腐蚀,质量减少。在900℃热腐蚀200 h后,Al-Si涂层和Co-Al涂层表面腐蚀区均形成了以Al2O3为主的连续且致密的氧化层,抑制热腐蚀的进行,具有较好的抗热腐蚀性能;与Al-Si涂层和Co-Al涂层有所不同,Al涂层表面腐蚀区形成了混合型氧化层,热腐蚀反应会持续进行,抗热腐蚀性能相对较差。此外,刘德林等[28]对DZ22B合金以及表面带有NiCoCrAlYTa涂层的DZ22B合金在950℃热腐蚀试验研究也证实了NiCoCrAlYTa涂层的抗氧化和腐蚀作用,是基于在涂层的表面形成致密的Al2O3或Cr2O3氧化膜,这些氧化膜作为氧的障碍层(屏蔽层)阻止基体进一步氧化或腐蚀。图2 含Al-Si、Al和Co-Al涂层的DSM11合金热腐蚀动力学和腐蚀产物[27]Fig.2 Hot corrosion kinetics and corrosion products of DSM11 alloy with Al-Si,Al and Co-Al coatings[27]与金属涂层相似,热障涂层的抗热腐蚀性能很大程度上取决于表面形成的连续Al2O3或Cr2O3氧化物薄膜。如李发国等[29]在近期发表的关于航空发动机高温涂层耐海洋大气腐蚀研究进展中指出,YSZ的抗热腐蚀效应主要来自致密的Al2O3,其中Cr、Ta、Y能稳定Al2O3的生成提高涂层的抗热腐蚀性。而外来的Na、V和S则会引起Y元素生成YVO4,使得YSZ涂层退化。当Na2SO4熔盐单独存在时,其不与YSZ发生化学反应,腐蚀机理主要是Na2SO4熔盐附着在YSZ孔隙和裂纹中,在反复的冷热循环中由于膨胀系数差异导致的热应力使YSZ涂层失效[20,21,22,23,24,25,26,27,28,30],从而使Na2SO4熔盐通过TGO-YSZ渗透进入粘结层,与粘结层发生反应,在TGO层下生成疏松的硫化物层,TGO层与硫化物层之间存在裂纹[29],最终导致涂层剥落。当存在V2O5熔盐时,其与稳定剂Y2O3发生反应生成YVO4,如方程(1)所示,YVO4树枝晶生长产生裂纹扩展应力[28,30,31];此外,YSZ发生四方晶系到单斜晶系晶体结构的转变,伴随有3%~5%的体积膨胀,相变应力和生长应力耦合作用导致涂层开裂甚至剥落。图3 YSZ、Gd2Zr2O7和YSZ/Gd2Zr2O7热障涂层在1 000℃熔融硫酸盐和钒酸盐(55%V2O5+45%Na2SO4)的热腐蚀行为[31]Fig.3 Hot corrosion behavior of YSZ,Gd2Zr2O7and YSZ/Gd2Zr2O7thermal barrier coatings in molten sulfate and vanadate(55%V2O5+45%Na2SO4) at 1 000℃[31]当Na2SO4与V2O5共存形成NaVO3时,如方程(2)所示,根据Lewis acid-base理论,相较于V2O5的酸性,NaVO3还具有碱性。因此,相较于纯V2O5的腐蚀过程,当共存Na2SO4和V2O5,即NaVO3熔盐时,腐蚀速率更快,YVO4树枝晶尺寸更大,YSZ热障涂层失效更快。为了进一步提高热障涂层的性能,国内外学者对双层结构热障涂层进行了研究和设计,并对其抗热腐蚀性能进行了评价。双层结构热障涂层主要应用于力学性能较差的新陶瓷材料,通过在粘结层与新材料陶瓷层之间制备一层YSZ涂层,以减少层间热膨胀系数差异,缓解涂层内部应力。Ozgurluk等[31]研究了YSZ、Gd2Zr2O7和YSZ/Gd2Zr2O7热障涂层在1 000℃熔融的硫酸盐和钒酸盐(55%V2O5+45%Na2SO4)中的热腐蚀行为,如图3所示。研究发现高含量的V2O5导致涂层损伤加速,YSZ/Gd2Zr2O7双层结构热障涂层的抗热腐蚀性能更好。在YSZ涂层中腐蚀产物为单斜ZrO2和YVO4,而在Gd2Zr2O7和YSZ/Gd2Zr2O7热障涂层中腐蚀产物为单斜ZrO2和GdVO4,ZrO2从四方晶系到单斜晶系晶体结构的转变对涂层造成损伤,熔融盐对涂层的柱状形貌造成破坏,降低涂层隔热效果。当涡轮叶片涂层因受热腐蚀和机械载荷作用剥落后,暴露出来的高温合金基体在燃气和海洋环境中将进一步发生热腐蚀[32]。目前,航空发动机涡轮叶片主要有DD6、CMSX-4、CMSX-10、PWA1484单晶高温合金叶片,燃气轮机涡轮叶片包括单晶、定向凝固以及铸造高温合金叶片,如IN-738、DZ125、K444、GTD-111、MD2等[33]。在高温热腐蚀环境下,单晶高温合金表现出更强的抗热腐蚀性能,具有较低的平均腐蚀速率。如DD15[34]单晶高温合金在燃油与海水气雾混合的高温(900℃)腐蚀环境下,合金平均热腐蚀速率为0.071 g/(m2·h),且腐蚀层无脱落。结合DD10与DSM11等单晶材料的研究表明[35],单晶高温合金在经历高温热腐蚀后,其腐蚀产物内部会出现连续层状分布的Cr2O3、TiO2和Al2O3保护性氧化膜,这些材料表层的腐蚀产物会对基体起到了很好的保护作用,从而阻碍了热腐蚀的进一步进行,提高了单晶材料的抗热腐蚀性能。在低温热腐蚀环境下,Luthra[36]研究发现涂敷在钴基高温合金表面的Na2SO4为固态,大气中足够的SO3分压可以使得NiO硫化生成NiSO4,这种化合物将与过量的Na2SO4反应形成液态共晶盐,熔融的混合硫酸盐通过溶解保护性氧化层,将反应物质通过腐蚀坑中的液体来快速传输,增大腐蚀速率。而在镍基合金中,NiO的硫酸化相对较少。Lortrakul等[37]通过对CMSX-4表面涂敷Na2SO4,并在O2-SO2-SO3的气氛下加热至700℃发现,腐蚀5 h后XRD表明NiSO4已经消失,意味着低熔点共晶盐已无法形成,然而在50 h后在外/内腐蚀层界面附近以及内腐蚀层/基体界面处观察到明显的硫化物富集区,表明低温热腐蚀的实质仍然是局部熔融区域的硫化氧化作用,与高温热腐蚀作用机理相似。相较于单晶高温合金叶片,定向凝固高温合金中存在少量的晶界,会引起合金抗热腐蚀能力的下降。Kumawat等[38]对定向凝固CM247LC合金在950℃、不同盐沉积量的情况下的热腐蚀行为进行评估。与空气中纯氧化相比发现,合金在熔融盐环境中经历了加速的腐蚀降解,在最初暴露的0.5 h内,合金通过与熔融盐中的氧元素反应生成Al和Cr的氧化物,表现为较低的腐蚀速率。此后,随着氧通量的增加而进入腐蚀加速阶段,腐蚀机制也由碱性腐蚀机制向酸性腐蚀机制转变,由于硫的渗入,使得热腐蚀行为能够持续不断进行。Yang等[39]针对定向凝固DZ125合金开展了850℃高温热腐蚀研究,合金的腐蚀层分为内外两层,外层表现为氧化物NiO/Cr2O3/Al2O3的多孔层,而内层则是均匀的主要由Cr2O3组成的氧化物,如图4所示。高温热腐蚀除了加剧定向凝固合金表面氧化物的形成外,还导致在亚表面形成了强度较低的γ'贫乏区,如图4(b)所示,这也是高温热腐蚀导致合金机械性能退化的主要原因之一。相较于单晶和定向凝固高温合金,铸造高温合金存在较多的晶界,氧化物、硫化物形成元素可沿着晶界快速扩散,加速热腐蚀和氧化[40]。铸造高温合金在面对长时间的腐蚀过程时,硫元素沿着晶界扩散,由此引起的晶间脆性对其服役性能影响较大。如图4(d,e)所示,IN-792铸造高温合金叶片[32]在服役了大约21 000 h后呈现出机械和化学损伤。其中,高温热腐蚀致使晶界存在Ti硫化物以及游离形式的硫元素,导致晶间脆化和裂纹扩展抗力降低。调查发现IN-792涡轮叶片上几乎所有的裂纹都以沿晶方式扩展。铸造高温合金K35[41]在含NaCl混合盐的高温热腐蚀下,原本致密的Cr2O3氧化层变得疏松,为氧与硫的扩散提供了快速通道。Fig.4 Hot corrosion characteristics of superalloys with different processing routes航空发动机涡轮盘采用的高温合金为变形高温合金(如Inconel 718、GH4169等)和粉末高温合金(如RR1000、ME3、FGH96等)。变形高温合金涡轮盘其服役温度通常不高于650℃,而粉末高温合金涡轮盘其服役温度通常不高于750℃,在海洋环境-工况耦合下发生的热腐蚀主要为低温热腐蚀。目前,国内外学者主要是通过将涡轮盘合金在一定质量分数配比的Na2SO4+NaCl或Na2SO4+NaCl+V2O5中进行热腐蚀,结合对热腐蚀层微结构和成分表征,来研究涡轮盘合金热腐蚀机理。Mahobia等[42,43,44]对Inconel 718和GH4169合金的研究表明,在Inconel 718和GH4169合金热腐蚀过程中,NaCl中的氯离子会破坏氧化物层并渗透到基体中,从而形成金属氯化物MCl,随后从表面蒸发形成凹坑,为腐蚀性介质的流动提供通道,随后氯离子会诱导内部腐蚀,造成金属元素的自维持氯化和氧化,而硫元素的侵入还会造成合金内部硫化,造成热腐蚀加剧。如图5(a)所示,随着S元素的侵入,会造成GH4169中针状δ相(Ni3Nb)的硫化并在腐蚀层内部富集。此外,反应生成的低熔点硫化物Ni3S2(熔点787℃)可与金属Ni形成更低熔点的共晶体(熔点645℃),液态的硫化物共晶体可沿晶界向金属内部浸透;此外,液态硫化物及其与Ni的共晶体比氧化物的晶体缺陷数高得多,为金属的扩散提供了快速的通道,从而导致基体合金的迅速破坏。在Na2SO4+NaCl+V2O5中,IN718高温合金的热腐蚀主要是氧化过程和V2O5所造成的钒蚀,其热腐蚀机理模型如图5(b)所示。隆小庆[45]的研究中讨论了液态V2O5在燃气涡轮发动机的工作环境中具有强烈的热腐蚀作用,其中V2O5主要来自合金材料本身或燃油,其所产生的钒蚀会破坏Cr2O3(或Al2O3)氧化膜的连续性、完整性,使氧化膜失去防护作用[46]。经过在Na2SO4+NaCl+V2O5介质中热腐蚀后,合金表面经过Na2SO4的渗硫、酸碱熔融后原氧化层下的基体合金形成了贫铝区或贫铬区,不再形成保护性的氧化膜来修补已破坏的保护层,失去保护性的外层氧化膜由于Na2SO4的浸透而变得更加疏松多孔且易剥落,从而造成加速氧化。Pradhan[47]、Mahobia等[42]的研究表明,Inconel 718合金在Na2SO4+NaCl+V2O5腐蚀介质中的热腐蚀比在Na2SO4+NaCl中更加严重。不同的钒酸盐化合物的形成与Na2Cr2O7的形成一起发生,硫离子与铬、铁和镍或其氧化物反应,形成硫化物。对于粉末高温合金,其低温热腐蚀过程与变形高温合金类似。除了对粉末高温合金热腐蚀层中氧化、硫化产物进行表征外,国内外学者还从氧化深度、表面腐蚀形貌、腐蚀坑深度/直径来表征热腐蚀过程的损伤演变。如图6(a)所示,Encinas-Oropesa等[48]通过热重分析仪、聚焦离子束(FIB)和扫描电镜测量RR1000合金的氧化物厚度和确定氧化损伤特征,结果表明RR1000合金表面氧化形成的铬/钛氧化物厚度随时间呈抛物线增长,热腐蚀损伤程度随盐沉积速率的增加而增加,但随着盐沉积速率中Cl含量的增加而降低。Birbilis等[49]通过光学轮廓测量法量化分析Rene 104合金表面腐蚀坑的深度、等效直径等特征尺寸演变,提出可以进一步建立插值经验模型来研究腐蚀损伤的生长动力学。如图6(b)所示,基于腐蚀坑深度的量化分析结果可以看出低温热腐蚀在大规模损伤积累之前会有一个潜伏期(约5.5 h),而腐蚀损伤的演变在现象上表现为选择性碳化物氧化引起的点蚀,随着热腐蚀持续进行,合金表面由于缺乏氧化铬,损伤由硫相关的腐蚀决定。在这种氧化、硫化的热腐蚀过程中,NASA格伦研究中心的Gabb等[50]还发现腐蚀坑内的晶界往往会被优先侵蚀。图5 变形高温合金不同腐蚀介质下的热腐蚀机理[42,47]Fig.5 Hot corrosion mechanism of wrought superalloys under different corrosive environments[42,47]图6 粉末高温合金热腐蚀后的损伤程度演变[49-50]Fig.6 Evolution of the hot corrosion damage in powder metallurgy Ni-based superalloys[49-50]针对不同条件下热腐蚀对涡轮叶片高温合金疲劳性能的影响,诸多学者进行了探索与研究,其主要方法是通过对高温合金预先进行热腐蚀处理,然后再开展疲劳试验。在大多数情况下,腐蚀坑扩展和裂纹萌生占据了热腐蚀-疲劳寿命的大部分[51]。未热腐蚀试样的疲劳裂纹往往萌生于靠近合金表面/亚表面的缺陷并向内扩展,亚表面缺陷引发的裂纹是最主要的损伤机制;而热腐蚀试样的裂纹形核始于腐蚀产物剥落的多个表面位置,这些裂纹通常是由腐蚀期间形成的微裂纹合并而成。预先热腐蚀试样中的疏松腐蚀层和γ'贫乏层,降低了合金表面力学性能,从而影响疲劳裂纹的萌生过程[52]。通常,热腐蚀可使低周疲劳寿命降低60%~98%,疲劳裂纹萌生与腐蚀坑的大小和间距密切相关[53]。此外,载荷条件对热腐蚀-疲劳行为也有影响。如Brooking等[54]的研究表明,当单晶CMSX-4合金处于低温热腐蚀环境时,在疲劳载荷峰值处引入60 s的保载会降低其疲劳寿命,如图7(a)所示。这是由于疲劳与低温型热腐蚀结合时,长时间保载过程可使裂纹张开,使腐蚀性介质扩散到裂纹尖端,导致裂纹尖端周围的氧化程度增加,加速了疲劳裂纹扩展,从而导致疲劳寿命降低。Chapman等[55]对单晶CMSX-4合金腐蚀-疲劳的研究中,也发现了类似的结果。Yang等[39,56]对DZ125合金高温热腐蚀后低周疲劳行为的研究发现,长时间预腐蚀和疲劳过程中的长时间保载加速DZ125合金腐蚀-疲劳失效,表面腐蚀层开裂导致裂纹萌生是腐蚀-疲劳失效的主要原因之一,如图7(b~d)所示。此外,DZ125合金的低周疲劳失效还与热腐蚀引起的再结晶、试样有效面积的减少有关。如图7(e)所示,高温热腐蚀后低周疲劳载荷会引起合金表面保护性氧化层的破坏,促使再结晶发生,形成许多小晶粒。在低周疲劳载荷作用下,裂纹往往在这些再结晶晶界处萌生。综上所述,热腐蚀后涡轮叶片高温合金的低周疲劳寿命下降与腐蚀坑、缺陷、氧化/硫化物的形成以及热腐蚀侵蚀引起的再结晶等因素密切相关。国内外虽然针对涡轮叶片高温合金热腐蚀-疲劳性能开展了一定的实验研究,一定程度上揭示了热腐蚀对疲劳失效的影响。然而,这些实验研究主要是基于对高温合金进行预先热腐蚀然后开展疲劳试验[57,58],实验条件与涡轮材料服役环境(即燃气-海洋环境耦合的服役环境)有所不同,不能实时反映热腐蚀与机械载荷的交互作用。通常,机械载荷的作用往往会加速热腐蚀的发生,而热腐蚀又将反过来促进涡轮材料在机械载荷作用下疲劳裂纹的萌生和扩展[8,59,60]。因此,开展热腐蚀-疲劳载荷耦合作用下涡轮材料的疲劳失效机理和规律仍有待于进一步研究,且燃气-海洋环境耦合作用下的测试装备仍有待于发展[61,62,63]。此外,目前所开展的涡轮叶片高温合金热腐蚀-疲劳性能主要是其低周疲劳性能研究,对热腐蚀-高周疲劳性能研究较少。热腐蚀对涡轮叶片高温合金高周疲劳失效的影响也很显著[47]。对于涡轮叶片而言,由于其服役温度高,热腐蚀损伤严重,且其受到气动载荷的作用而往往发生高周振动疲劳失效。开展涡轮叶片材料在燃气-海洋环境耦合作用下的振动疲劳失效机理和规律研究对涡轮叶片的疲劳强度/寿命设计意义重大,也仍需进一步的研究。图7 高温合金热腐蚀-低周疲劳失效机理[39,54-56]Fig.7 Hot corrosion-low cycle fatigue failure mechanism of turbine blade superalloys[39,54-56]与涡轮叶片高温合金相似,热腐蚀也显著降低涡轮盘合金的疲劳寿命[64]。如图8(a)所示,Inconel718合金在75%Na2SO4+25%NaCl和90%Na2SO4+5%NaCl+5%V2O5中预先热腐蚀后,应变控制的低周疲劳寿命大幅降低,尤其是在较低的塑性应变幅度下疲劳寿命降低更为明显,且在90%Na2SO4+5%NaCl+5%V2O5中预先热腐蚀对疲劳寿命影响更大[43]。对Inconel 718合金和GH4169合金预先热处理后,开展应力控制的高周疲劳实验,发现预热腐蚀样品的疲劳寿命急剧降低[49],如图8(b)所示。对于未进行热腐蚀的GH4169合金,疲劳裂纹主要在表面的滑移带中萌生,然后沿{111}滑移面扩展。与其他镍基高温合金的情况类似,在裂纹萌生位置周围可以观察到大量的解理面[65,66]。对于热腐蚀后的GH4169合金,疲劳裂纹主要从表面的热腐蚀层萌生,裂纹萌生区周围形貌较为光滑,未观察到晶体学解理面。此外,从断口上可以看出,热腐蚀层的结构比较松散,由于热腐蚀层的剥落,在裂纹萌生区的试样表面形成了凹坑,如图8(c)中第5幅图所示。当裂纹穿过热腐蚀层时,疲劳裂纹扩展特征与原始GH4169合金一致,呈现穿晶扩展,在疲劳裂纹扩展区可以观察到明显的疲劳条带。断口分析表明,热腐蚀主要影响GH4169合金的疲劳裂纹萌生过程,但对疲劳裂纹扩展没有影响,因此热腐蚀导致GH4169合金疲劳寿命的降低主要与疲劳裂纹萌生过程有关。图8(d)示意性地说明了热腐蚀影响GH4169合金疲劳裂纹萌生过程,热腐蚀影响疲劳裂纹萌生的因素包括以下几个方面:(1)表面热腐蚀层/氧化层剥落,降低了试样的有效承载面积,增加了实际应力。(2)氯化物的挥发导致腐蚀坑的形成,表面热腐蚀层的剥落形成凸起和起伏,引起应力集中,从而加速疲劳裂纹萌生。(3)氧化层中形成的裂纹或氧化层中已存在的微裂纹在疲劳载荷作用下通过硫化物层扩展进入基体,最终引起疲劳断裂。在这种情况下,由于疲劳裂纹萌生阶段较短或没有,疲劳寿命会大大降低。(4)硫化层的硬度较低,表明该区域的变形可能发展得更明显,导致应变局部化并加速裂纹萌生。图8 Inconel 718和GH4169合金热腐蚀-疲劳性能研究[43-44,47]Fig.8 Hot corrosion-fatigue behavior of Inconel 718 alloy and GH4169 alloy[43-44,47]对于粉末高温合金,Li等[67]分析了低温热腐蚀对FGH96合金在700℃时低周疲劳行为的影响。研究发现低温热腐蚀导致FGH96合金疲劳裂纹萌生位置由亚表面缺陷向表面腐蚀坑过渡,疲劳寿命的降低与腐蚀坑加速裂纹萌生和晶界性能的退化密切相关。Child等[68]研究了粗、细晶RR1000合金在不同腐蚀介质浓度时的热腐蚀-疲劳行为。如图9(a)所示,在富含SO2的环境中,标准浓度腐蚀介质及单次预先热腐蚀情况下导致粗、细晶RR1000合金疲劳寿命均有所降低。对粗晶RR1000合金开展了在两倍标准浓度腐蚀介质中的预先热腐蚀,发现随着应力降低,热腐蚀导致疲劳寿命降低的幅度有所降低。此外,在部分粗晶RR1000合金试样热腐蚀过程中,在间隔分别为15和30 h后,补充添加腐蚀介质,结果表明在规定的时间间隔补充腐蚀介质似乎不会影响最低应力水平下的疲劳性能。Dowd等[69]还研究了带缺口的RR1000合金热腐蚀-低周疲劳行为。图9(b)显示了光滑试样、缺口试样和缺口+预先热腐蚀试样的疲劳寿命数据。由于缺口的应力集中效应,与光滑试样相比,缺口试样在所有试验载荷条件下疲劳寿命均有所降低。缺口+预先热腐蚀试样疲劳试验结果表明,在相同应力水平下,热腐蚀显著降低缺口试样的疲劳寿命,且应力水平越高,疲劳寿命降低程度越大,降低幅度在1~2个数量级。图9(c,d)表明,在疲劳循环过程中,保护性表面氧化层的破裂使含硫化物的基体材料暴露并进一步氧化。随着硫化物氧化,表面的浓度梯度导致固溶体中释放的硫沿晶界向下扩散,与Cr和Ti元素进一步反应,导致新硫化物沿晶界形成。当应力水平足够高时,晶界硫化/氧化物开裂,导致晶粒脱落,加速裂纹的萌生和扩展。
Gabb等[70,71]对表面喷丸强化的ME3合金进行了热腐蚀后的疲劳性能研究。研究结果表明,对于未喷丸强化的ME3合金,热腐蚀使低周疲劳寿命降低了60%~98%,疲劳裂纹萌生与腐蚀坑的大小和间距密切相关。此外,温度对于热腐蚀下的疲劳裂纹萌生也有影响。高温(704℃)时裂纹沿腐蚀坑周围晶界萌生,低温(204℃)时裂纹由腐蚀坑底部晶界萌生。喷丸处理减轻了204℃轻度热腐蚀对疲劳寿命的影响,但在重度热腐蚀ME3合金中,喷丸强化抑制疲劳破坏的效果不明显。分析认为喷丸处理可在试样表面形成残余压应力,能够减轻腐蚀坑对疲劳寿命的影响。但由于腐蚀坑处的疲劳开裂,较长的腐蚀时间和高温下的疲劳仍会导致喷丸试样的疲劳寿命大幅降低。此外,Smialek等[72]研究了热腐蚀对带有Cr2AlC涂层的LSHR合金疲劳寿命的影响,研究结果表明,对合金进行热腐蚀后,无涂层合金相较于未热腐蚀时的寿命降低约93%,而有涂层合金寿命降低仅为约15%,表明Cr2AlC涂层有益于抵抗热腐蚀-疲劳破坏。

图9 RR1000合金热腐蚀-疲劳性能[68-69]Fig.9 Hot corrosion-fatigue failure mechanisms of RR1000 alloy[68-69]目前,关于热腐蚀对涡轮盘合金疲劳性能的影响规律与机理有了较为清楚的认识,但与涡轮叶片高温合金类似,现有的研究结果主要是基于对涡轮盘合金进行预先热腐蚀然后开展疲劳试验而获得的,不能实时反映热腐蚀与机械载荷的交互作用,因此,开展热腐蚀-疲劳载荷耦合作用下涡轮盘合金的疲劳失效机理和规律仍值得进一步研究。此外,对于涡轮盘而言,为了提高涡轮盘损伤容限设计水平,以满足高推重比航空发动机在海洋服役环境下耐久性、可靠性、安全性设计要求,需对涡轮盘用高温合金在海洋环境-工况耦合下的疲劳裂纹扩展测试方法及微观机理展开深入研究,为航空发动机涡轮盘材料的疲劳裂纹扩展寿命预测方法及损伤容限设计提供数据和技术支撑。高温热腐蚀环境下的疲劳过程同时受到载荷、温度和腐蚀介质3方面的影响,其作用更加复杂,损伤过程分为热腐蚀坑的萌生和生长、热腐蚀坑向疲劳裂纹转变、疲劳裂纹萌生、小裂纹扩展、长裂纹扩展和断裂[73,74]。在这些损伤过程中,热腐蚀坑的萌生和生长以及裂纹萌生和小裂纹扩展占据了疲劳寿命的绝大部分(70%~80%)。在热腐蚀-疲劳模型研究方面,高温热腐蚀-疲劳寿命预测模型需要考虑温度、载荷水平、介质浓度等许多方面的因素。目前常用的疲劳寿命预测模型主要包括唯象模型、损伤力学模型和断裂力学模型[75,76]。唯象模型主要是基于对热腐蚀损伤特征的表征,对应力或应变-寿命方程进行一定程度的修正;损伤力学模型主要是通过对热腐蚀损伤的表征,建立耦合热腐蚀损伤和机械载荷损伤的损伤变量,建立损伤变量演化和疲劳寿命之间的关系;断裂力学模型是将热腐蚀损伤视为初始裂纹,采用断裂力学理论对剩余寿命进行预测和评定。然而,热腐蚀-疲劳寿命预测的唯象模型、损伤力学模型和断裂力学模型各有优缺点。唯象模型简单且能较准确预测热腐蚀-疲劳寿命,但其不能体现热腐蚀-疲劳机理且其预测精度依赖于大量的实验数据;损伤力学模型同样可以获得较为精准的预测结果,但其往往局限于一些简单的结构;断裂力学模型可用于复杂结构,但其未考虑裂纹萌生阶段的疲劳寿命,因此预测结果往往偏于保守。近期,赵高乐等[75]在综述中对热腐蚀-疲劳寿命模型做了系统的总结和归纳,因此,下文着重针对近10年关于涡轮叶片和涡轮盘合金热腐蚀-疲劳寿命预测方法进行总结。鉴于目前文献中关于涡轮盘、涡轮叶片高温合金热腐蚀-疲劳寿命预测和分析均未考虑高温合金的微结构特征,并且用于描述高温合金变形的本构方程皆为宏观唯象本构。因此,本节对热腐蚀-疲劳寿命预测方法的总结和介绍不再区分涡轮盘合金和涡轮叶片合金。近年来,在NASA的资助下,美国Elder研究院(ERI)和西南研究院(SwRI)Chan等[77]开发了一套基于物理的建模工具HOTPITS,用于预测镍基高温合金的热腐蚀[78]和低温热腐蚀寿命预测,并将其与概率损伤容限分析软件DARWIN结合使用,用于预测发动机轮盘中因腐蚀坑引起的疲劳失效,其示意图如图10所示,主要步骤包括:(1)硫酸盐沉积模型,用于根据燃料和空气中污染物浓度的输入以及相关发动机条件预测热端部件上硫酸盐层的形成;(2)用于预测热腐蚀坑密度的热腐蚀坑萌生模型;(3)用于预测热腐蚀坑大小随时间变化的热腐蚀坑生长模型。同时针对热腐蚀往往伴随有多个热腐蚀坑形成的情况,还进一步发展了考虑热腐蚀坑合并的模型,以处理多个腐蚀坑的生长与合并。为了在热腐蚀-疲劳寿命预测中考虑腐蚀坑的影响,建立了腐蚀坑到裂纹的转化模型、疲劳裂纹形核模型、生长模型以及裂纹合并模型。通过将HOTPITS与DARWIN[79]软件结合使用,Chan等以粉末高温合金ME3为研究对象,发现了热腐蚀坑生长和疲劳裂纹生长之间存在竞争,且低温热腐蚀疲劳寿命由热腐蚀坑生长、循环相关的裂纹扩展以及时间相关的裂纹扩展共同控制,提出了一种预测粉末高温合金涡轮盘腐蚀疲劳裂纹扩展寿命的概率预测方法,可用于评估涡轮盘中热腐蚀引起的故障风险,避免发动机轮盘及其他金属结构部件因长期暴露于高温极端环境而发生腐蚀疲劳故障。Li等[80]提出了一种将FGH96合金中的腐蚀坑视为微缺口的腐蚀疲劳寿命预测方法,该方法考虑了热腐蚀和非均匀应力场的影响。首先,对由粉末高温合金FGH96制成的未涂盐试样和涂盐试样进行LCF测试,使用法拉第定律估计热腐蚀坑形成时间。法拉第定律的表达式为

Fig.10 Schematic diagram of hot corrosion-fatigue prediction method

其次,使用传统的经典方法预测热腐蚀坑-疲劳断裂寿命,包括热点法、应变能模型、连续损伤力学(Continuum damage mechanics,CDM)法。对于热点法,将最大应力点处的应变幅度引入基于总应变的模型;对于应变能模型,分别计算损伤参数并将其引入应变能模型;对于CDM方法,在CDM方法中使用了最大应力幅度。此外,定义了热腐蚀-疲劳情况下的有效应变幅,有效应变幅可以通过将归一化应力梯度和权函数的乘积积分来计算,表达式为

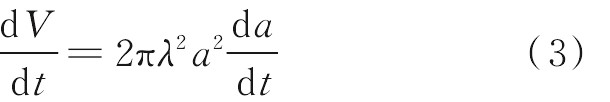
式中εa-eff和εa-max分别为缺口试样的有效应变幅和最大应变幅。通过将定义的有效应变幅引入Manson-CoffinBasquin、Morrow、SWT和Walker模型,估算了从腐蚀坑形成到最终断裂的疲劳寿命,并将实验寿命与基于修改模型的预测结果进行了比较。结果表明,引入有效应变来考虑热腐蚀坑引起的非均匀应力场的影响,有助于提高热腐蚀-疲劳寿命预测精度,当临界距离分别为0.1、0.2和0.3 mm时,大多数疲劳寿命预测结构在2倍误差带内,相同载荷下的预测寿命彼此接近,与实验结果吻合良好。文献[81]基于连续损伤力学和断裂力学,针对表面热腐蚀损伤引起的DZ125合金低周疲劳寿命退化,提出了一种新的寿命预测方法,如图11(a)所示。通过Nf EA表面损伤区域的裂纹萌生和扩展的总寿命表征DZ125合金在不同热腐蚀环境下的强度退化,Nf表达式为

式中Nf EA为表面损伤区域内裂纹萌生寿命(Ni)与扩展寿命(Np EA)之和,等同于此区域裂纹萌生寿命与裂纹扩展寿命之和,Nf EA通过用基体中的裂纹剩余扩展寿命Nf DS计算,有

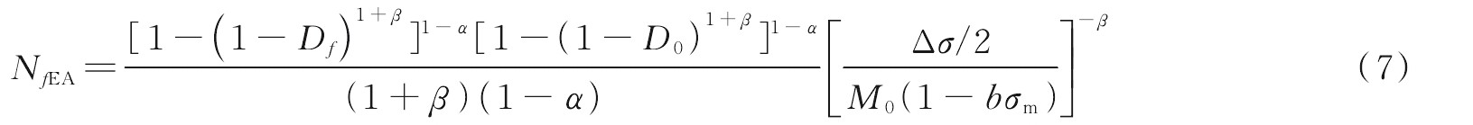
式中:D表示损伤,M0、β和b为材料常数,α为载荷相关指数,Δσ为应力幅,σm为平均应力。通过Paris定律与Chaboche的疲劳损伤模型获得NfEA,并通过实验获得的基体裂纹剩余扩展寿命Nf DS预测总的裂纹寿命模型。模型中热腐蚀只在试样表面进行,而不影响基体的开裂行为,在不同腐蚀环境下的裂纹萌生试验修正模型系数,即可忽略环境和裂纹扩展的综合影响进行寿命预测。通过一系列实验数据,该模型在包括热腐蚀、静态空气和湿H2S环境中都有较高的准确性,预测结果如图11(b,c)所示。

图1 1 基于断裂力学的热腐蚀-疲劳寿命预测方法[81]Fig.11 Fracture mechanics based hot-corrosion fatigue life prediction[81]总的来说,目前基于唯象模型、损伤力学模型、断裂力学模型的热腐蚀-疲劳寿命预测精度在3倍分散带之内。这些模型预测精度的提高一方面取决于对热腐蚀损伤(如热腐蚀坑形貌、尺寸等)的精确表征,以期更好地考虑热腐蚀损伤所带来的应力/应变梯度,另一方面取决于先进的材料本构模型,尤其是对于力学性能各向异性的单晶高温合金,以更好地刻画涡轮材料的应力应变响应,建立起更为准确的疲劳参量与疲劳寿命之前的量化关系。对于涡轮材料,由于其服役条件严苛,现阶段仍较缺乏热腐蚀-疲劳实验数据。基于统计理论的机器学习可以在小样本的条件下获得较好的预测结果,且泛化能力强,对具有相同分布特征的样本具有较好的预测能力。因此,近年来基于数据驱动的机器学习疲劳寿命预测模型/方法引起了人们的广泛关注[82],比如Yang等[83]开发了结合临界平面法和神经网络的混合寿命预测模型,利用领域知识和机器学习在寿命预测中的作用,研究聚合物材料聚酰胺-6(PA6)的速率相关多轴疲劳寿命预测,预测结果基本在试验结果的1.5倍误差带内。因此,建立基于人工智能(Artificial intelligence,AI)和大数据的热腐蚀-疲劳损伤演化模型以及数据驱动和物理混合模型对于实现燃气-海洋大气耦合环境下航空发动机涡轮部件疲劳寿命精准预测具有重要意义,也是未来重要的发展方向。此外,为了满足涡轮部件在燃气-海洋环境耦合作用下的损伤容限设计需求,一方面要有大量的在燃气-海洋环境耦合作用下的疲劳裂纹扩展数据,另一方面需要高精度的疲劳裂纹扩展模型和寿命预测方法。在腐蚀疲劳裂纹扩展模型方面,Larrosa等[76]对腐蚀-疲劳裂纹扩展宏观唯象模型进行了较为全面的综述,但这些模型对于热腐蚀-疲劳的适用性仍需实验数据的检验,同时,基于实验数据的高精度宏观唯象热腐蚀-疲劳裂纹扩展模型仍亟待发展。此外,热腐蚀-疲劳裂纹扩展过程复杂,为提高裂纹扩展速率预测精度,需考虑裂尖复杂的力学、化学的耦合作用。比如,Kashinga等[84,85]尝试通过模拟裂尖变形和氧元素扩散,建立耦合裂尖非弹性塑性应变和氧浓度的裂纹扩展准则,结合扩展有限元模拟疲劳-氧化裂纹扩展。Pañeda等[86,87,88,89]尝试将相场法和多物理场建模方法相结合,开展氢致裂纹扩展的数值模拟。通过对裂尖力学、化学耦合过程的准确模拟,以考虑环境/热腐蚀对裂纹扩展的促进作用,以期实现高精度的疲劳裂纹扩展速率预测。目前,这些基于裂尖变形和热腐蚀/氧化/环境损伤机理的高精度疲劳裂纹扩展速率预测方法仍需进一步发展,解决好精度与计算效率的匹配,从而推动其在工程中的应用。本文针对航空发动机和燃气轮机热端部件材料热腐蚀机理、热腐蚀-疲劳失效机理以及热腐蚀-疲劳寿命预测进行了总结和综述,并对航空发动机和燃气轮机热端部件热腐蚀-疲劳试验研究和寿命评估方法的发展趋势进行了展望,主要有以下结论:(1)涡轮叶片常发生高温热腐蚀,形成均匀厚度的热腐蚀层,单晶高温合金相对于铸造与定向凝固高温合金具有较低的腐蚀速率。在叶片表面涂敷热障涂层能够形成氧、硫元素向基体扩散的屏障,起到对热腐蚀的防护作用。涡轮盘服役温度较叶片低,常常发生低温热腐蚀而形成局部点蚀坑,同时腐蚀也易于在点蚀坑内的晶界处继续渗透腐蚀。点蚀坑不仅造成高温合金表面力学性能退化,而且进一步影响部件的整体力学性能,具有相比普通氧化行为更为严重的影响。(2)热腐蚀可使涡轮盘、涡轮叶片高温合金疲劳寿命显著降低(60%~98%),疲劳寿命降低程度与载荷条件有关,载荷水平越低,热腐蚀对疲劳寿命的影响更为明显。热腐蚀加速涡轮盘、涡轮叶片高温合金疲劳裂纹萌生过程,使疲劳裂纹萌生位置由亚表面缺陷向表面热腐蚀坑过渡,疲劳寿命的降低与腐蚀坑的大小和间距以及晶界性能的退化密切相关。喷丸强化对抑制热腐蚀-疲劳破坏的效果不明显,但涂层能较好地提高高温合金热腐蚀-疲劳性能。(3)涡轮盘、涡轮叶片高温合金热腐蚀-疲劳寿命预测模型需要考虑温度、载荷水平、介质浓度等许多方面的因素,常用的疲劳寿命预测模型主要包括唯象模型、损伤力学模型和断裂力学模型,模型预测精度在3倍分散带之内。然而,所采用的热腐蚀-疲劳寿命预测和分析方法均未考虑高温合金的微结构特征和热腐蚀-疲劳失效机理。(4)为更准确表征涡轮盘、涡轮叶片高温合金热腐蚀-疲劳性能,亟需发展燃气-海洋环境耦合作用下的疲劳测试装备,开展机械载荷和海洋环境耦合的低周疲劳、高周振动疲劳以及疲劳裂纹扩展行为和机理研究,为涡轮盘、涡轮叶片疲劳寿命/强度设计以及损伤容限设计提供试验数据支撑。在热腐蚀-疲劳寿命预测方面,需发展基于高温合金微结构和热腐蚀-疲劳失效机理的预测方法、基于数据驱动和物理混合模型的预测方法以及考虑裂尖力、化耦合作用的热腐蚀-疲劳裂纹扩展模型,提高热腐蚀-疲劳寿命预测精度,建立燃气-海洋环境耦合作用下的热端部件结构完整性评定方法。