摘要
通过青岛大气暴露实验,对比了未处理和经硫硼酸阳极化处理的7050铝合金在典型工业海洋大气环境中的腐蚀行为。采用失重法获得腐蚀速率;使用扫描电镜对腐蚀产物进行微观形貌观察;使用EDS和XRD对腐蚀产物进行元素分析和相组成分析;运用电化学阻抗法对腐蚀产物层及氧化膜层的保护作用进行分析。结果表明:未处理的7050铝合金暴露2 a后,产生了大面积的剥蚀,腐蚀产物主要为Al(HSO4)36H2O,Al4SO4 (OH)105H2O和NaAlSi3O8。硫硼酸阳极化处理的7050铝合金在青岛大气中暴露2 a后,局部出现点蚀,氧化膜对基体仍有良好的保护作用。硫硼酸阳极氧化预处理可以大幅度提高7050铝合金的耐蚀性。
关键词: 大气腐蚀 ; 阳极化铝合金 ; 工业海洋大气 ; 7050铝合金
1 前言
7050铝合金属Al-Zn-Mg-Cu系高强度铝合金,常被用于航空航天工业中的各种结构件,具有高强度、高韧性、低密度和抗应力腐蚀等优点,在军事工业和国民经济中扮演着重要角色[1,2]。在铝合金的实际使用中,常对其进行阳极化处理,以获得更好的耐蚀性。任建军等[3]研究表明:在0.5 mol/L的NaCl溶液中,经阳极化处理的L2铝合金相比于未经阳极化处理的铝合金具有更高的点蚀电位。硫硼酸阳极化作为铝合金阳极化处理的常用工艺,相比于传统的铬酸-硫酸法具有污染小、易于染色和力学性能优异等优点,可广泛应用于航空航天领域 [4,5]。
铝合金的大气腐蚀过程属于薄液膜下的电化学腐蚀过程,受到多种环境因素的影响,如相对湿度、污染物、气溶胶、pH值和暴露时间等[6]。铝合金的腐蚀主要以点蚀、晶间腐蚀、剥蚀和应力腐蚀等形式的局部腐蚀为主,Cl-是加速铝合金点蚀的首要因素,而点蚀又可以进一步诱发晶间腐蚀、剥蚀和应力腐蚀等,导致铝合金力学性能下降,严重危害铝合金的使用安全[7,8]。Zhou等[2]研究表明:在Cl-浓度相同的条件下,SO2的存在可以加重铝合金的腐蚀。因此,在潮湿大气、高Cl-沉积和高SO2排放的环境中,铝合金更容易腐蚀。然而,对于阳极化铝合金大气腐蚀行为的研究则开展得相对较少,曾有学者对阳极化铝合金在西班牙不同地区的大气腐蚀行为进行过相关报道[9-11],结果表明Cl-仍然是加速点蚀的主要因素。
本文选择我国典型工业海洋环境的青岛试验站开展硫硼酸阳极化处理的7050铝合金腐蚀行为的研究。采用腐蚀速率测试、腐蚀产物分析和电化学特征分析等手段,对比分析了7050铝合金与硫硼酸阳极化7050铝合金的腐蚀行为与机理,对于在海洋环境中铝合金腐蚀防护技术的发展具有重要意义。
2 实验方法
采用7050铝合金作为基材,其主要成分 (质量分数,%) 为:Zn 6.06,Mg 2.20,Cu 2.12,Zr 0.11,Si 0.04,Al余量。经过除油和清洗后进行硫硼酸阳极化表面处理,阳极化溶液 (质量分数) 为:(3%~5%) H2SO4+(0.5%~1%) H3BO3,室温下阳极化处理18~22 min,最大电流不超过1 A/dm3,阳极化结束后用稀铬酸进行封闭处理。暴露试样尺寸为100 mm×50 mm×3 mm。
大气暴露实验地点为青岛大气试验站。青岛为沿海工业城市,属温带季风和海洋性气候。表1所列为青岛大气相关环境参数及污染物含量年平均值。青岛大气全年平均湿度为73.3%,属于潮湿大气,且具有较高的硫酸盐化速率和海盐粒子沉积速率。青岛雨水pH值呈弱酸性,且Cl-和SO42-含量较高。暴露实验参照GB/T 6464-1997中的相关条例,暴露周期分别为1和2 a,每个周期取4个平行样,分为未处理7050铝合金和经硫硼酸阳极化7050铝合金两组。
表1 青岛环境参数及污染物含量

暴露实验结束后,参照GB/T 16545-1996中的铝合金除锈标准去除腐蚀产物,采用失重法计算腐蚀速率;使用Quanta 250型环境扫描电镜 (SEM) 及附带能谱仪 (EDS) 对除锈前后的试样进行形貌和成分分析;使用DMAX-RB12kw型X射线衍射仪 (XRD) 对腐蚀产物相组成进行分析,衍射角 (2θ) 为10°~90°;使用PARSTAT 2273型电化学工作站进行电化学阻抗谱 (EIS) 测试,测设采用三电极体系:饱和甘汞电极做参比电极,Pt片做辅助电极,铝合金试样做工作电极,工作电极面积3.14 cm2。测试溶液采用0.1 molL-1的Na2SO4溶液,测试前将试样在其中浸泡1 h,所得数据用ZSimpWin 3.5软件进行分析。
3 结果与讨论
3.1 腐蚀速率分析
表2给出未处理与经硫硼酸阳极化7050铝合金在青岛大气暴露实验1和2 a的年均腐蚀速率 (单位,μma-1)。腐蚀速率的计算方法如下:
式中,V代表腐蚀速率 (单位,μma-1),W0代表试样初始质量 (单位,g),W1代表试样除锈后质量 (单位,g),t代表暴晒时间 (单位:a);X,Y和Z分别代表初始试样的长、宽和高(单位,cm);ρ=2.82 gcm-3。
表2 未处理与经硫硼酸阳极化处理的7050铝合金在青岛大气暴露不同时间后的腐蚀速率
未处理7050铝合金的腐蚀速率从1 a的11.70 μma-1降至2 a的5.92 μma-1,降幅较大;硫硼酸阳极化7050铝合金暴露1 a的腐蚀速率为0.82 μma-1,2 a的为0.58 μma-1,也呈下降趋势。通过腐蚀速率的计算可知,硫硼酸阳极化7050铝合金的腐蚀速率远低于未处理7050铝合金的。说明7050铝合金经硫硼酸阳极化处理生成的氧化膜在工业海洋大气环境下对基体有良好的保护作用。
3.2 腐蚀表面宏观形貌
图1为未处理和经硫硼酸阳极化7050铝合金在不同暴露周期下的腐蚀表面宏观形貌。由图1c可见,暴露1 a后的未处理7050铝合金已完全失去银白色的金属光泽,表面完全被棕色和白色的腐蚀产物覆盖;由图1d可见,阳极化7050铝合金暴露1 a后,其表面加工痕迹仍清晰可见,没有发生明显的腐蚀。由图1e可见,未处理7050铝合金暴露2 a后,试样表面腐蚀产物颜色加深,形成了明显的腐蚀产物层;由图1f可见,暴露2 a的阳极化7050铝合金腐蚀程度仍然较轻,仅在部分位置生成了点状或丝状的腐蚀产物,呈局部腐蚀特征。
图1 未处理与经硫硼酸阳极化7050铝合金不同暴露实验周期的腐蚀表面宏观形貌
3.3腐蚀产物微观形貌
图2为未处理和经硫硼酸阳极化7050铝合金除锈前的腐蚀产物微观形貌。由图2a和c可见,经2 a 的暴露后,未处理7050铝合金的表面已完全被龟裂状的腐蚀产物层覆盖,在部分区域出现大块的腐蚀产物,腐蚀产物在铝合金表面不规则堆积,呈山峦起伏状;由图2b和d可见,阳极化7050铝合金在局部表面也产生了龟裂状的腐蚀产物,但相比于未处理7050铝合金,腐蚀产物数量更少,产物层更薄。对比可见,经硫硼酸阳极化7050铝合金的腐蚀程度更轻。
图2 未处理与硫硼酸阳极化7050铝合金的腐蚀产物微观形貌
图3为未处理和经硫硼酸阳极化7050铝合金除锈后的表面微观形貌。由图3a可见,在未处理7050铝合金的表面,部分点蚀坑融合成了一个大而深的腐蚀坑,在大腐蚀坑的周围,基体出现片层状脱落痕迹,发生剥蚀,剥蚀现象的出现说明未处理7050铝合金的腐蚀程度较重;由图3b可见,在阳极化7050铝合金的表面出现了由点蚀坑融合而成的圆弧状深坑,在圆弧状深坑周围,基体相对完好,说明硫硼酸阳极化处理中形成的氧化膜对基体起到了保护作用,点蚀主要在氧化膜的局部缺陷处发生。
图3 除锈后未处理与硫硼酸阳极化7050铝合金的表面微观形貌
3.4 腐蚀产物分析
图2中A和B两点的EDS结果列于表3中 (A为未处理,B为经硫硼酸阳极化)。可见,二者腐蚀产物的元素组成和比例大致相同。Al,O和S的含量较高,主要来源于大气腐蚀产物;C可能来源于工业环境中的C排放;Si来源于灰尘和腐蚀产物;Zn和Mg主要来源于铝合金二次相析出;Cl主要来自于海盐。二者的元素组成和比例大致相同,说明腐蚀产物的主要成分可能相同,硫硼酸阳极化只改变腐蚀速率与腐蚀程度。
表3 未处理与硫硼酸阳极化7050铝合金腐蚀产物的EDS分析
图4为未处理7050铝合金经2 a暴露的大气腐蚀产物XRD分析结果。结果表明:7050铝合金在青岛暴露2 a的腐蚀产物主要有Al(HSO4)36H2O,Al4SO4(OH)105H2O和NaAlSi3O8。XRD中的Al来源于铝合金基体,SiO2来源于浮尘。NaAlSi3O8的生成与工业海洋环境有关,在中东沙特阿拉伯和南美智利的工业海洋环境中,铝合金的大气腐蚀产物中均含有NaAlSi3O8[12,13]。在青岛大气中,由于SO2的酸化作用,腐蚀产物中含有较多的Al(HSO4)36H2O和Al4SO4(OH)105H2O。
图4 未处理7050铝合金暴露2 a的腐蚀产物XRD谱
研究[14]表明,7050铝合金为了获得高强度的力学性能,常在热处理中引入二次相颗粒,二次相颗粒与铝合金基体之间会形成电偶对,发生阳极溶解,造成点蚀。在海洋大气环境中,Cl-对铝合金点蚀的加速作用主要体现在其对氧化膜的破坏上:暴露在空气中的铝合金会在表面迅速形成一层致密的Al2O3氧化膜,之后在氧化膜的表面逐渐生成AlO(OH) 或Al(OH)3。但是,大气中的Cl-会在氧化膜的缺陷处发生吸附,逐渐取代Al(OH)3中的OH-,生成可溶于水的AlCl3,造成氧化膜的溶解,最终加速铝合金的点蚀[7]。相关方程式如下:
有关研究[14,15]表明:当大气中SO2浓度较低时,铝合金腐蚀产物中S含量较低,而SO2浓度较高时,腐蚀产物含有大量硫酸铝化合物。同时,高浓度的SO2会酸化环境,使氧化膜更容易溶解、破裂。因此,工业环境中的SO2排放会加重铝合金的腐蚀。
3.5 EIS分析
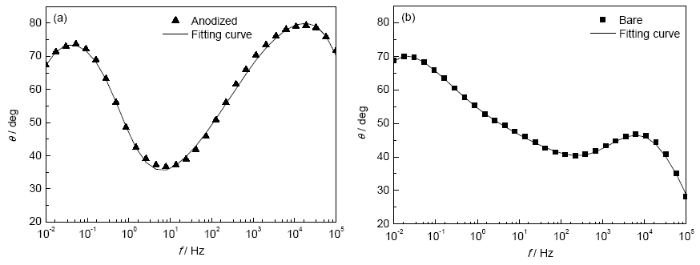
图5为未处理和经硫硼酸阳极化7050铝合金经青岛大气暴露2 a后的EIS测试结果。图6为未处理和经硫硼酸阳极化7050铝合金EIS测试的等效电路图,相关拟合结果列于表4中。
图5 未处理与硫硼酸阳极化7050铝合金的Bode图及其拟合曲线
图6 未处理和经硫硼酸阳极化7050铝合金的等效电路图
表4 未处理和经硫硼酸阳极化铝合金的电化学拟合参数
从图5a中的Bode图可以看到,未处理7050铝合金具有两个时间常数和一个扩散阻抗。高频出现的时间常数来自于外层,包括腐蚀产物层及氧化膜层,低频出现的时间常数来自于腐蚀反应的双电层。其中,Rs代表溶液电阻,Rr代表外层的电阻,CPEr代表外层的电容,W代表Warburg扩散阻抗,CPEdl和Rct分别代表腐蚀反应双电层的电容和转移电阻,等效电路使用常相位角原件CPE来代替C,定义CPE=Yo-1(jω)-n,当n=1时,Yo相当于电容C,j为虚数,ω为角频率,n值体现各向异性的大小。
7050铝合金经硫硼酸阳极化处理形成的氧化膜层由外层的多孔层和内层的阻挡层组成,在多孔层存在垂直于基材表面方向的多边形孔洞,孔洞之间存在孔壁[11]。图5b中的Bode图,其高频端的信息来自于多孔层,低频端的信息来自于阻挡层。Rs代表溶液电阻、Cpw代表孔壁的电容、CPEp和Rp分别代表多孔层的电容和电阻、CPEb和Rb分别代表阻挡层的电容和电阻。
未处理7050铝合金中扩散阻抗的出现说明腐蚀产物层阻碍了外界离子与基体之间的扩散,对基体起到了保护作用。同时,由于腐蚀产物层的保护作用,腐蚀速率下降。阳极氧化膜区域的Rp和Rb的值较大,说明暴露2 a的阳极化氧化膜的双层结构保存得相对较好。
未处理和经硫硼酸阳极化处理的7050铝合金腐蚀程度差异较大,主要由氧化膜的结构不同所致:未经表面处理的7050铝合金暴露于大气中,会在表面迅速形成一层致密的Al2O3氧化膜,起到耐蚀作用。然而,由于7050铝合金力学性能的需要,会在热处理中引入第二相颗粒,结果造成表面氧化膜的缺陷[14]。因此,未处理7050铝合金在海洋大气下发生的腐蚀较为严重。与之不同的是,经阳极化处理生成的Al2O3氧化膜为双层结构,由外层的多孔层和内层的阻挡层组成,相比于自然氧化生成的Al2O3氧化膜更加致密、厚实,因此对基体的保护作用更好。结合SEM和EIS的结果可知:青岛大气暴露2 a的硫硼酸阳极化7050铝合金的腐蚀主要在氧化膜的局部缺陷处产生、阳极化氧化膜的结构保存得相对较好,对基体仍然具有良好的保护作用;而未处理7050铝合金的自然氧化膜已经基本被侵蚀,引起铝合金的大面积腐蚀。
4 结论
(1) 未处理和经硫硼酸阳极化7050铝合金在青岛大气环境下暴露2 a的年均腐蚀速率分别为5.92和0.58 μma-1,说明经硫硼酸阳极化处理可以提高7050铝合金的耐蚀性。
(2) 未处理7050铝合金在青岛大气暴露过程中发生了严重腐蚀,生成的腐蚀产物主要为Al(HSO4)36H2O,Al4SO4(OH)105H2O和NaAlSi3O8,说明在典型工业海洋大气环境中,Cl-和SO2的协同作用会加速7050铝合金的腐蚀。
(3) 青岛大气暴露2 a后,硫硼酸阳极化7050铝合金发生较轻的点蚀,说明硫硼酸阳极化处理生成的Al2O3氧化膜相比于自然氧化生成的Al2O3氧化膜,对7050铝合金基体的保护作用更好。
The authors have declared that no competing interests exist.
免责声明:本网站所转载的文字、图片与视频资料版权归原创作者所有,如果涉及侵权,请第一时间联系本网删除。
官方微信
《腐蚀与防护网电子期刊》征订启事
- 投稿联系:编辑部
- 电话:010-62316606-806
- 邮箱:fsfhzy666@163.com
- 腐蚀与防护网官方QQ群:140808414














