仿生超疏水材料耐受性研究进展
2023-02-14 18:17:21 作者:靖雪山,辛燕 来源:胶体与聚合物 分享至:

 

在生活中人们经常会遇到覆冰、腐蚀、石油污染、机械摩擦磨损等破坏现象,这些问题的存在都与界面润湿行为有关。所以,我们需要深入研究材料表界面作用原理及其存在的科学问题,以制备具有特殊润湿性材料[1]。受自然界生物体系中的润湿现象和构效特征启发,人们仿生其表面结构或化学物质制备了具有特殊性能的复合材料。例如,通过仿生荷叶乳凸状的微纳结构[2]和水黾腿上的刚毛结构[3]成功得到了超疏水材料(图1a,b);通过分析并仿生弹尾虫特殊的化学成分和多级结构制备了具有疏水、疏油的超双疏材料(图1c)[4,5]。另外,一些动植物为了适应恶劣的生活环境进而衍生出了具有特殊功能的结构,如仙人掌簇状的锥状刺和毛状体在茎表面形成分布良好的阵列结构;沙漠甲虫亲疏水相间的结构启发人们开发制备雾水收集装置(图1d)[6,7];猪笼草通过缘口处的液膜捕获昆虫启发人们制备疏水、疏油的液体灌注表面(图1e)[8,9],其表面具有良好的斥液性、即能够有效降低包括低表面张力液体和复杂液体(如:血液或细胞介质)在内的各种液体流动性的功能[10,11,12]。进一步对特殊超润湿性深入探索,不仅加深了人们对自然界生物特殊行为的认识,也激发了对超越自然的新功能的创新。与此同时,这些超润湿材料也伴随一些问题。例如,超疏水材料只疏水,不疏其他低表面能液体,普适性差等;超双疏材料在磨损、划伤、高压、高温等极端恶劣的工作条件下,液体较容易渗透到其基底表面;超滑移材料制备过程复杂,锁油能力差等问题进一步限制了其发展。所以,本文基于对破坏机理和构筑稳定的超润湿表面的研究,从提高超润湿表面机械耐久性、化学稳定性、疏液性、多功能性以及功能稳定性出发,从结构设计、材料选取和稳定涂层构建等多方面详细地总结制备机械耐久性超疏水表面的基本方法和策略,对相关仿生超疏水表面的研究发展进行展望。

图1 自然界中具有特殊超润湿现象的动植物光学照片及其SEM图
(a)荷叶[13];(b)水黾[14];(c)弹尾虫[4];(d)沙漠甲虫[6];(e)猪笼草[9]。

1 超疏水表面润湿性转化

1.1 超疏水表面基础润湿性理论

图2 固体表面润湿状态示意图
(a)液滴平衡状态下的表面张力;(b) Wenzel状态;(c) Cassie状态[15]。

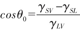
润湿现象是固体表面的重要特征之一,其本质是不同物质分子之间的相互作用。若液体分子与固体分子之间的相互作用强于液体分子与液体分子之间的相互作用,液体就会在固体表面扩散(润湿)。所以,在润湿过程中,液体分子会以一种降低表面张力的方式在固体表面运动。这种表面张力是存在于液体表面的力,即使液体的表面积减小的趋势。若发生非浸润现象,则液体会在固体表面凝结成球形液滴[16,17]。因此,在对固体润湿性进行深入研究之前,研究人员系统理解和建立能够表征其表面几何参数的几个理论模型。早在十九世纪,Thomas Young就从固、液、气三相界面的表面张力出发,揭示了液体在光滑表面上的表面张力和接触角之间的关系(图2a)[18]:

 
其中θ0为本征接触角,γSV、γSL、γLV分别定义为固-气、固-液、气-液之间的表面张力。但是Young式方程也具有一定的局限性,在实际中,固体表面都具有一定可以强化本征接触角的粗糙度和化学各向异性。所以,在此基础上Wenzel将粗糙度(r为粗糙表面实际面积与几何投影面积之比)引入该方程中,建立了表观接触角(θW)与本征接触角(θ0)的关系,即Wenzel模型(图2b)[19]:

 
从此方程可以看出,当θ0<π/2,即θW<θ0时,粗糙度将增强液体进一步润湿的趋势;若θ0>π/2,即θW>θ0,则疏液性将增强。然而,Wenzel模型仅适用于热力学稳定的平衡状态,只能描述具有均相粗糙度、化学成分均一的表面润湿行为。当液滴在多孔表面或具有不同化学组成的表面上时,Wenzel模型就不再适用。基于此,Cassie和Baxter在1944年引入了新系数,提出了更加完善的模型,Cassie-Baxter方程(图2c)[20]:

 
其中fSL,fLV分别是固-液界面和气-液界面所占的单位表观面积分数(fSL+fLV=1)。相对于Wenzel模型,Cassie模型将表面化学组成和结构联合起来,更加准确地描述了材料表面的润湿状态。与Wenzel状态在宏观上最主要的区别是,Cassie状态下液滴可以悬浮在基底表面,θCB大于150°,滚动角小于10°,液滴可以轻易的从固体表面滚落。而在Wenzel状态下,液滴钉扎在固体表面产生较大的粘附力,不易滚落和滑动。基于对固体表面液滴润湿行为的基础理论研究,为进一步研究液滴润湿性转化提供了较大的方便。


1.2 超疏水润湿性转化机理

润湿性的转化不仅受压力、弹跳等外界动态因素的影响,自身的蒸发和重力也可以影响疏水表面润湿性的转化。因此,了解润湿性在多种环境下的转变机理对于微观结构表面的设计和制造具有重要意义,也对表面耐受性的改善具有促进作用。

图3 液滴在微/纳米纹理表面上蒸发过程的形状和润湿状态示意图
(a)初始状态下液滴的示意图;(b)液滴的蒸发时两种蒸发模式的变化以及蒸发过程中两种模式额转换过程,即恒定接触线(CCL)和恒定接触角(CCA),混合模式(MM)[24]。

1.2.1 静态润湿性转化

液滴蒸发的研究对于水彩画、液滴的微流体操控、DNA提取、喷墨打印,以及通过自组装制造生物材料和光子晶体等方面都有巨大的价值[21,22]。但是,液滴蒸发是一个非常复杂的问题,不仅涉及到表面与界面、新材料、流体、传热传质等方面,并且在超润湿表面、液滴蒸发过程中是否发生润湿转化对保持材料的自清洁性能至关重要。当润湿态转变为Wenzel状态时,超疏水性能将消失。Picknett和Bexon研究发现液滴在蒸发过程中存在两种不同的模式:第一种是恒接触线(CCL)模式,即当接触线固定时,接触角逐渐减小;第二种是恒定接触角(CCA)模式,即接触角恒定不变时,接触半径随接触角的增大而减小。基于这两种模式,许多模型得到建立进而研究超疏水表面液滴的蒸发状态[23]。例如,Li等人通过分析液滴三相接触线(TPCL)上的驱动力和阻力,建立了液滴在超疏水表面蒸发过程中形状演变和润湿转变的模型(图3)[24]。由于TPCL沿半径相反方向的驱动力小于阻力,所以液滴蒸发的初始阶段一般为CCL模式。然后,随着接触角的不断减小,TPCL上的驱动力逐渐增大而阻力不变,当驱动力大于阻力时,TPCL开始沿半径相反方向运动,即蒸发过渡到CCA模型。此时液滴体积继续减小到临界值,驱动力大于阻力,液滴TPCL向结构内部移动,直至液滴下方的微织构完全湿润,转化为Wenzel状态。另外,Aldhaleai等人从不同体积讨论了液滴的蒸发转变过程,据实验数据表明,所有的液滴沉积初期都会形成一个气阱,即Cassie-Baxter状态[25]。小液滴随后以恒定接触角模式蒸发,在液滴寿命结束时以混合模式蒸发。相反,对于较大的液滴,则存在两种不同的蒸发模式。一些较大的液滴开始蒸发时处于恒定的接触角模式,随后开始混合模式的蒸发。另一些较大的蒸发液滴开始时就处于直径和接触角逐渐减小的混合模式逐渐蒸发。实验结果表明,在不同液滴尺寸和初始接触角条件下,液滴蒸发质量通量与接触角的关系几乎趋于统一。

图4 Cassie-to-Wenzel转变的能量壁垒
(a)基底模型;(b)液体渗入基板上的凹槽。S1是最大的能量势垒,W1是最小的润湿态;(c)液体横向逐层扩展。W2是中间亚稳态,S2和S3是其他的能垒;(d)从W1到W3的能量变化;(e)B-W1在不同柱高和液滴体积下的能量壁垒,h从0.12变化到0.18,液滴体积从0.18变化到0.28[26]。

从能量的角度来看,固体表面液滴从Cassie状态到Wenzel状态的转换是一个克服能量壁垒的过程[27,28]。因此,进一步研究最大能量壁垒与润湿状态转换直接的关系十分必要。最初,润湿转变在固体表面的单个空腔中形成,然后液体开始到达底部表面(图4 a,b)[26]。当克服能量的极大值时,液滴很容易达到相邻的极小值。因此,当克服S1状态的极值点达到S2状态时,液滴开始从柱顶与凹槽向相反方向扩散并慢慢渗入到新的一层(S2-W3),如图4c。如此重复,一层一层的渗透,直到全部润湿基底。如图4d所示,能量沿着MEP从W1到W3,其中S1、S2是两个极值点。这是液滴在静态下克服能量壁垒润湿基底的过程。而且,液滴的大小、表面结构对润湿性转化也有着重要的影响。如图4e所示,能量壁垒随柱高或液滴大小的增大而增大。因此,根据上述分析合理地设计和制造超润湿表面的结构对润湿性转化至关重要。

图5 在外界条件影响下,液滴润湿性转化过程
(a)液滴以不同速度撞击超疏水表面的光学照片图,左边速度为0.27 m/s,右边速度为0.6 m/s;(b)液滴撞击后两种润湿性转化模式,左边是液滴(“Touch down”)以降落模式实现润湿性转化的示意图,右边是滑动(“Sliding”)以降落模式实现润湿性转化的过程描述;(c)在超声波的影响下液滴从Cassie状态转化为Wenzel状态的示意图;(d)液滴在超声波的影响下实现润湿性转化的光学照片[29-31]。

1.2.2 动态润湿性转化

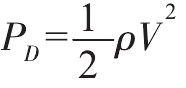
在液滴冲击、超声波振动、电、热刺激等外部条件的影响下,液滴在材料表面较容易转化为Wenzel状态,影响表面疏水性能。液滴撞击超疏水表面结构的冲击动力学和扩散行为与液滴初始条件和表面纹理有关[32,33]。因此在此种情况下,润湿性转化的研究重点是润湿性转化现象、所需的条件和随之产生的效果。其中,润湿压力Pwet和抗湿压力Pantiwet的等效性是确定液滴在接触和扩散阶段状态的关键因素。所以,在超疏水表面上,深入研究这种影响过程的相关实验结果充分揭示了液滴状态与表面的抗湿压力以及冲击液滴的润湿压力的相关性[30,34,35]。在此,毛细管压力PC是主要的抗润湿因素,除了与液气表面张力(γlg)有关外,还与表面性质和微柱结构有关:[36]

 
在此,LC和AC分别为毛细管周长和面积。碰撞液滴的初始润湿压力为动态压力PD可表示为


其中ρ是液滴的密度,V是液滴的移动速度。另外,在接触阶段,液滴在平面上的初始冲击由于冲击波影响液体压缩而产生水锤压力(PWH)可以表示为[37]:

 
其中k是基于冲击条件的常数,C是声速。对于水滴,压力脉冲穿过液滴C=1497 ms-1。值得注意的是,水锤压力在接触阶段尤其突出,并随着时间的推移而下降至动态压力。这些压力都是以特征速度V为基础而产生相应的变化,此速度是液滴撞击前的初始速度。所以,液滴速度不同,润湿性转化也不相同。如图5a所示,不同速度下的液滴撞击表面,部分液滴会弹起来、另一部分则粘附在表面。基于一个反润湿压力和两个润湿压力分析,所以当PC>PWH>PD时,液滴撞击表面时会表现出Cassie状态;PWH>PC>PD时为液滴部分刺穿状态;PWH>PD>PC时液滴全部润湿基底(Wenzel状态)。

另外,从临界接触角的角度来看,液滴将在液-气界面存在两种刺穿情况(图5b)[30]。第一个是降落(“Touch down”)情况,随着液滴压力的增加,界面曲率增大。这意味着分离液体界面和基底表面的最小高度减小。如果这个最小高度趋于零,Cassie状态就不能稳定存在而转化为Wenzel状态(图5b左图)。第二个是滑动(“sliding”)情况,对于较高的微柱,过渡到临界刺穿压力的过程与矿柱长径比h/r无关。此时,接触角θ还有一个上限,即局部推进接触角θa。当θ超过θa时,接触线会沿着柱状结构自发向下滑动,直至微观结构的底部(图5b右图)。除此之外,Jung等人[38]认为当液滴以一定速度撞击表面,且动压力小于拉氏压力时,液滴下方会形成液-气界面。然而,如果液滴的最大落差大于基底微观结构的柱高,液滴就会接触柱子之间的空隙底部,将液滴下方柱间空腔中被困的空气排出,从而导致固体-液体的表面积在动态撞击下突然增大,引起润湿性的转化。

当对Cassie状态下的液滴施加一定频率的振动时,基底结构的水平和垂直方向的振动会引起液滴从Cassie向Wenzel润湿转变,从而使液体渗透到孔隙中。这主要是液滴振动引起压力跳变给这一转变提供了驱动力[39]。另外从能量的角度来说,当表面声波提供给液滴的惯性能量(Eac)足以克服填充纳米孔产生的毛细管能垒(Eb)时,表面也会发生有Cassie状态到Wenzel状态转化(图5c)[31]。但是,由于液滴已经达到了最小的能量态,即Wenzel状态,所以当声波停止后这种转变过程是不可逆的,始终保持着润湿状态。除了碰撞、声波外,利用电场[40]、热场[41]、机械压力[42]等外在因素,都可以导致疏水表面液滴从Cassie状态到Wenzel状态的快速转化。当然,还可以通过施加热、磁场、电场等外部条件来实现润湿性的可逆转化,即Wenzel-Cassie状态的转化,维持疏水性[43,44]。但是,通过外力维持疏水性只适用于特殊场合,而且会导致额外的能量消耗。因此,通过研究润湿转变的机理,探索最佳的微观结构几何尺寸和形状,以获得更稳定的超疏水表面十分必要。

目前,研究人员基于润湿跃迁相关的结构和表面能设计和制造出了一系列超疏水表面。例如,Sbragaglia等人[45]报道了具有硅微锥和纳米微柱组成的分层粗糙度结构进一步提高疏水材料的稳定性。Kim等[46]提出力学性能与孔隙率的幂律成反比,可以利用较高的固体含量直接增加密度,促进颗粒颈缩,以平衡空隙和孔隙度,来提高材料表面服役寿命。因此,可以从结构参数来设计制备更稳定的超疏水表面。

2 稳定超疏水表面制备方法

传统超疏水材料由于其优异的疏水性在实验室研究中无所不在,但与此同时也存在很多缺点,例如,仅对表面张力高的液体具有排斥作用、机械稳定性低、透明度低、压力稳定性弱、以及由于Cassie-to-Wenzel不可逆而产生的短期水下稳定性。随着不断地深入研究,超疏水表面的制备方法更加多样、快速、性能更加丰富。但是在苛刻的工况下,如:摩擦、液滴冲击、紫外线照射、酸碱腐蚀等条件下超疏水表面的结构和低表面能物质会遭到严重的破坏,加速液滴渗入基底润湿表面。到目前为止,这个问题依然困扰着众多科研工作者。因此,制备具有机械耐久性和化学稳定性的超疏水表面具有十分重要的意义。基于上述对超润湿破坏机理的研究,可以了解到超润湿表面的破坏主要是是由于表面结构破坏或低表面能物质失效引起的。这些破坏主要集中在机械磨损(摩擦、冲击、按压)和化学破坏(酸碱、光照)两个方面,为了提高超疏水表面的稳定性,接下来将从以下两个方面进行论述。

2.1 机械耐久性超疏水表面制备

图6 从结构和材料方面提高机械持久性的方法
(a)微纳结构[47];(b)纳米氧化氮化铝表面制备微纳米结构[48];(c)可快速修复表面[49];(d)金属基底通过浸泡在超疏水溶液中可快速修复已受损的金属基底[50];(e)弹性材料[51];(f)利用聚氨酯材料制备机械稳定性材料[52];(g)单体材料[53];(h)在木头表面制备超疏水单体材料[54]。

对于材料的机械稳定性来说,主要是提高其结构的稳定性,在摩擦、划损、液体或固体撞击、垂直压力等外力破坏下,其表面依然保持超疏水特性。通常会采用如下几种方法来提高超疏水表面的稳定性。

2.1.1 表面结构构筑

从表面结构出发,一方面可以制备具有微纳复合结构的超疏水表面。这是由于当尺寸较高的微米级结构被破坏后,涂层底部的纳米结构仍然保持完整,疏水性也几乎不会发生变化(图6a)。例如,Boinovich等人[48]报道了一种超疏水铝镁合金,在适当的处理机制下,通过结合功能性纳米工程和纳秒激光变形技术,使纳米氮氧化铝在多孔表面上生长形成微纳复合结构,此方法增强了材料表面的硬度,足以抵抗固体颗粒和液滴的冲击和侵蚀(图6b)。Wang等人[55]利用聚甲基丙烯酸甲酯(PMMA)与二氧化硅(SiO2)纳米颗粒制备了微纳复合结构以应对喷砂、水滴溅射、砂纸磨损、酸/碱溶液腐蚀的破坏。另一方面,可以通过喷涂、浸泡的方法快速修复超疏水性,即当表面结构被破坏后,通过重新喷涂超疏水纳米复合物或者将受损的样件浸泡在超疏水溶液中,从而达到快速修复疏水性的目的(图6c)。Zhang等人[56]采用简单的喷涂工艺和短时间自组装表面改性方法制备了具有可修复性的铜基超疏水滤膜(图6a)。Wu等人[50]采用一步浸液法分别在铜和铝合金表面制备了机械耐久性超疏水表面和化学稳定性超疏水表面。当超疏水表面被破坏后,重新浸泡后又恢复成超疏水状态(图6d)。

2.1.2 多功能材料选取

从材料的角度出发,可以利用软弹性材料制备疏水结构。当受到外界破坏时疏水表面通过变形分散能量,提高了材料的抗多种损伤能力(图6e)。其中,聚氨酯(PU)、聚二甲基硅氧烷(PDMS)、环氧树脂等软弹性材料都可以被用来制备超疏水表面。Li等人[52]就通过将聚氨酯(PU)水溶液和十六烷基聚硅氧烷改性的SiO2(SiO2@HDPOS)水性悬浮液喷涂到基材上获得超疏水涂层,该涂层即可以在9.8 kPa条件下的200个磨损循环中表现出优异的机械稳定性,也可在90.5 kPa的条件下表现出200循环的胶带剥离性能(图6f)。Si等人[57]通过简单的一锅法制备了一种稳定的纳米级P25(纳米TiO2)/MgO/环氧树脂(ER)超疏水涂层,该涂层可通过多种方法应用于任意基底。P25/MgO/ER涂层不仅表现出优异的机械稳定性,而且在低温、强酸、强碱等极端环境下,仍表现出独特的超疏水性恢复能力,而且这种修复过程可以重复多次。另外,制备超疏水块体材料也可以提高抗机械磨损破坏,这是因为块体材料具有良好的内外一致性,能够承受各种程度的磨损而不丧失其超疏水性。当表层结构被破坏后,新的具有低表面能的结构重新暴露出来(图6g)。Wang等人[54]制备的超疏水木头(图6h)、Liu[58]制备的聚合物块体材料和Zhu等人[59]制备的水泥材料,其内外都具有相似的结构和低表面能物质,在遭受到破坏后,内部出现超疏水结构,并始终保持原有超疏水状态。


图7 从连接方式和自修复模式提高机械持久性。
(a)化学键连接的示意图[60];(b)在纤维表面以化学键的形式连接高分子疏水剂[61];(c)修饰剂的迁移实现超疏水自修复的示意图[47];(d)在高温加热的条件下,十六烷基三甲氧基硅烷迁移到受损表面,恢复疏水性[62];(e)结构的自修复[63];(f)利用环氧树脂和ACNTB-Si O2-KH570材料制备自修复表面[64];(g)在300℃加热下,环氧树脂超疏水表面实现结构的自修复[64]。

2.1.3 界面结合性设计

增强涂层与基板或纳米颗粒与聚合物之间的附着力是实现增强界面作用力的有效途径。通常情况下,纳米粒子通过范德华力或者静电力与基底结合形成超疏水表面,但是这些涂层很容易从表面脱落。所以,只有增强粒子与基底的粘附力才能提高其服役寿命。通过化学键合的方法将粒子与基底键合一起将会提高表面的抗冲击能力和抗化学腐蚀能力(图7a)。通常要求基材(织物、玻璃、石材等)和改性的微/纳米粒子(主要是无机的,如二氧化钛、二氧化硅等)都有化学反应基团,才能快速地键合。对于玻璃、金属和其他合成织物,其表面固有的活性基团较少,必须通过化学或等离子体蚀刻进行预处理才能实现[65]。例如,Lai等人[61]采用绿色的酶刻蚀法制备了超疏水纤维素基织物(丝绸、棉花和羊毛织物),其在周期性磨损和洗涤试验中表现出良好的机械耐久性(图7b)。Zhao等人[66]提出了一种利用超疏水纳米粒子和亲水粘合剂结合进而构建坚硬的超疏水和水下超疏油性表面。亲水性无机磷酸铝(AP)作为粘结剂可以直接与超疏水性二氧化钛(TiO2、P25)纳米颗粒结合,即使在100次砂砾冲击循环后仍然具有良好的油水分离效率。

2.1.4 自修复材料构筑

自愈合是指单体自愈合剂原位聚合修复损伤部位,通常储存在纳米多孔氧化铝、纳米二氧化硅、网状纤维、微胶囊等多孔材料中[67,68,69]。当超疏水材料被破坏后,在外界的刺激下(紫外光、热、湿度等)或自发实现低表面能物质的迁移和结构的愈合以恢复疏水性(图7c,e)。对于低表面能物质的自修复,Zhang等人[62]采用沸水处理和聚多巴胺@十六烷基三甲氧基硅烷(PDA@HDTMS)纳米胶囊沉积的方法,在铝合金表面制备了具有良好自修复性能的超疏水表面。当该表面经过等离子体处理后变成亲水性表面时,通过加热使PDA@HDTMS纳米胶囊中的烷基链低表面物质成功迁移到PDA@HDTMS纳米胶囊的表面,恢复疏水性,且可以实现多次循环(图7d)。对于结构的修复来说,Wang等人[64]以硅烷偶联剂γ-(2,3-环氧丙氧)丙基三甲氧基硅烷(KH570)修饰的纳米SiO2和排列的碳纳米管束(ACNTB)为材料,制备了稳定的分层结构粒子(ACNTB-SiO2-KH570),并且以环氧树脂(EP)胶粘剂前驱体和ACNTB-SiO2-KH570为原料,在不使用任何含氟化合物的情况下采用滴注法,研制出机械耐久性的超疏水复合涂料(图7f)。当受损的复合涂层在加热到300℃后,由于部分EP聚合物的分解和SiO2的迁移,复合涂层可以恢复其超疏水性,实现自修复(图7g)。由此可见,制备微纳米结构和增强涂层与表面的附着力可以有效地提高超疏水表面的耐久性,并且添加弹性材料、制备超疏水单体和可自修复材料也均可提高材料普适性以增加疏水性的稳定性。

2.2 化学稳定性超疏水表面制备

通过上述研究实例分析可知,研究人员可以从材料和结构出发制备具有机械稳定性的超疏水表面。但是,在实际应用中还应该考虑到化学破坏(酸碱盐腐蚀、紫外辐射、高温等),其不仅可以破坏表面粗糙结构,还可能耗尽低表面能物质,从而导致超疏水性的消失。所以,材料结构的化学性质和空气层的稳定性是影响超疏水表面化学稳定性的主要因素。接下来,我们将从耐腐蚀性、抗紫外性和抗高温性等几个方面进行阐述。

图8 提高超疏水表面化学稳定性的方法
(a)超疏水表面抗腐蚀溶液破坏示意图[70];(b)超疏水织物耐盐溶液的腐蚀,以及接触角随时间变化而变化的趋势图[71];(c) Zn AlLDH-La薄膜的防紫外线破坏机理示意图[72];(d)利用Zn O-PDMS制备超疏水纤维抗紫外示意图,以及随照射时间改变接触角值的变化,原始和Zn O-PDMS涂层织物的紫外透射光谱[73];(e)可耐高温超疏水和超疏油的聚偏氟乙烯涂层的制备方法[74];(f)利用羟基磷灰石纳米线制备耐火的超疏水纸[75]。

2.2.1 抗腐蚀能力

超疏水表面的抗腐蚀性主要取决于储存在微纳米结构中的空气层,其发挥着十分重要的保护作用(图8a)。所以,超疏水表面被腐蚀破坏主要是空气层消失引起的,主要有以下两个因素:一是暴露的疏水分子链直接附着在溶液中的水或组分上,通过某些反应使其很容易从基质中分解,如界面层化学键的水解:

 
另一种是水分子穿透疏水层到达基底处,使微纳米结构分离[76]。基于这两点原因,可以通过提高化学物质的稳定性与表面材料键合能力来提高超疏水表面抗腐蚀能力。例如,Guo等人[71]采用H2SO4和H2O2的化学蚀刻方法,并对材料进行了1H、1H、2H、2H-全氟烷基三乙氧基硅烷(FAS-13)改性,制备了具有良好机械耐久性、化学稳定性的超疏水金属表面。此材料在不同溶液的电化学腐蚀试验中,都表现出较高的正腐蚀电位(Ecorr)和较低的腐蚀电流密度(Icorr)(图8a)。Wang等人[77]采用简单的水热法制备了Mg-Al层状双氢氧根(LDH)超疏水铝合金。与裸铝合金试样(1.584×10-4A/cm2)相比,超疏水铝合金表面的计算腐蚀电流密度为1.585×10-5A/cm2,可见其耐蚀性明显提高。除了在金属基底上提高超疏水表面的抗腐蚀性外。除了盐溶液外,酸碱溶液对超疏水表面的腐蚀性也非常严重。Xiang等人[78]以微纳米镍涂层为模板,通过简便的方法制备了一种超疏水双层涂层,可以抵抗盐酸、硝酸和强碱溶液的腐蚀。

2.2.2 抗紫外能力

随着运动纺织品向休闲和户外领域的扩展,对超疏水织物的需求大大增加,加速了多种纺织品表面超疏水化的发展。当暴露在阳光下时,纺织品和其他超疏水材料上的涂层通常会失去其超疏水性。研究者们通常采用紫外惰性物质(如氟硅烷和二氧化硅)和钝化感光物质(如SiO2、TiO2、和Zn O)来抵抗紫外线的辐射。因为这些颗粒具有很强的紫外线吸收能力,使长链分子与底物之间具有较高的键能,不易被破坏[79]。Ren等人[73]将原始织物浸入含有ZnO纳米颗粒和PDMS(聚二甲基硅氧烷)的混合液中,在110°C热处理30 min后,纤维表面均匀地覆盖有ZnO-PDMS层,以此制备超疏水织物(图8d)。由于ZnO具有较高的吸光度,所以制备的ZnO-PDMS涂层织物的抗紫外线性能会明显优于原始织物,可以抵抗约75 h的紫外照射。Wan等人[80]利用低表面性能的蜂蜡和TiO2结合制备了可抗紫外辐射和耐高温的超疏水生物纤维复合材料。至于其他非纳米钝化光敏颗粒,基于高键合能,Cao等人[72]通过水热法制备了超疏水性Zn-Al层状双氢氧化物(LDH)-La膜,并通过月桂酸根阴离子进一步修饰成超疏水,可在40 W紫外灯(λ=254 nm)的紫外室中保持7天的超疏水性(图8c)。Zhi等人[81]基于功能化二氧化硅纳米粒子和无氟PU聚合物制备了可修复超疏水表面。由于二氧化硅的非光活性和PU和环氧树脂的稳定性,其暴露在紫外线辐射下175 h后仍然保持其超疏水性。

2.2.3 抗高温能力

在高温或者明火条件下,超疏水表面的结构和化学物质会被破坏,使其表面较容易失去超疏水性能。因此,研究开发耐高温性能的超润湿材料对满足特定需求的超润湿表面十分必要。其中,石墨烯、蒙脱土和羟基磷灰石等多种新型材料逐渐被应用于制造抗高温超疏水产品中。基于疏水分子的键合以及材料的热稳定性,Li等人[74]报道了利用3-氨基丙基三乙氧基硅烷(APS)和氟硅烷改性SiO2颗粒成功制备了一种持久的超疏水和超疏油涂层(图8e)。由于聚偏氟乙烯(PVDF-HFP)涂层优异的粘附性和共价交联结构的合理设计以及修饰剂耐高温性能,改性材料在150°C高温处理1 h后,材料表面仍然保持良好的疏液性,水滴和原油可以容易从倾斜表面滚落。Guo等人[82]通过共聚反应和三甲基硅烷改性工艺,在室温下设计了一种坚固、耐沸水的超疏水聚多巴胺@SiO2(PDA@SiO2)涂层棉织物,使其浸泡在沸水中和在200℃高温下加热2 h,仍可保持优异的疏水性以实现高效的油水分离。对于明火的阻燃,Wen等人[75]基于氧化锌合成羟基磷灰石(HAP)纳米线的制备,进一步利用低表面能材料PFDS(1H,1H,2H,2H)进行改性,制备出了一种坚硬、耐火、可修复的超疏水纸以用于油水分离,即使在火焰中燃烧5 min也可以保证不会燃烧殆尽(图8f)。另外,Li等人[83]也基于超长羟基磷灰石纳米线(HAPNWs)的凯夫拉纤维(KF)制备了超疏水环保纸,表现出了良好的阻燃性。总之,稳定的修饰剂和抗高温基底材料对高温条件下维持疏水性具有很大的作用。

一般来说,恶劣的外部条件通过破坏表面形貌或表面疏水物质来限制超疏水材料的应用。许多研究者已经探索出了各种抗酸/碱溶液、NaCl溶液、紫外线、高温等的方法,对制备抗化学破坏和机械磨损的可长效服役的超疏水表面起到了极大的促进作用。

3 结论与展望

随着对自然界生物的表面结构和性能的探索,生物仿生材料是制造环境友好型和多功能材料的重要组成部分。由于超疏水表面具有多功能性,如防结冰、抗腐蚀、自洁、抗生物粘附等,已被广泛应用于工业和生命科学领域。然而,实际应用中所遇到的恶劣工况条件又严重影响其服役寿命。本文基于Cassie-to-Wenzel转变机理的分析,详细分析了润湿性转化的原因,了解到表面结构设计和材料的选择也极大地影响着超疏水材料的使用寿命。因此,从机械磨损和化学破坏两个方面出发,总结了提高超疏水使用寿命的方法。对于机械稳定性,通过增强纳米颗粒与基片之间的粘附性,以及在基片上制备微纳米级结构,增强了超疏水表面抗磨损、刮擦、接触等物理损伤的能力。与此同时,在超疏水涂层中加入弹性等材料可以通过变形分散能量来延长涂层的使用寿命。此外,制备拥有内外一体化结构的超疏水块体材料和简化制备过程以实现涂层的快速制备和修复都可以极大的提高其使用寿命并扩大应用范围。通过结构和低表面能物质的自修复也可以达到延长服役寿命的效果。对于化学稳定性来说,其破坏的根本原因是表面化学物质、结构的破坏和涂层的分离使液体快速润湿基底。因此,通过化学键合的连接方式和特殊材料的选取以形成稳定空气层对提高化学稳定性起着重要作用。制备机械持久性和化学稳定性的超疏水涂层对扩大其应用范围具有重要的意义。

虽然在制备稳定超疏水表面已经取得了巨大的进步,但是依然还存在许多问题。通常制备超疏水涂料会使用含氟修饰剂修饰,而且会采用有机溶剂湿化学法合成,这对人体有毒有害。在自修复过程中,如何提升低表面能物质在损伤表面的迁移速度仍然是一个很大的挑战。另外,传统的稳定超疏水材料的制备方法太过于局限,不利于大规模生产,难以满足工业生产要求。所以,将超疏水材料大规模应用仍然是我们未来研究的主要方向。

参考文献:略

免责声明:本网站所转载的文字、图片与视频资料版权归原创作者所有,如果涉及侵权,请第一时间联系本网删除。